• 文献检索
  • 文档翻译
  • 深度研究
  • 学术资讯
  • Suppr Zotero 插件Zotero 插件
  • 邀请有礼
  • 套餐&价格
  • 历史记录
应用&插件
Suppr Zotero 插件Zotero 插件浏览器插件Mac 客户端Windows 客户端微信小程序
定价
高级版会员购买积分包购买API积分包
服务
文献检索文档翻译深度研究API 文档MCP 服务
关于我们
关于 Suppr公司介绍联系我们用户协议隐私条款
关注我们

Suppr 超能文献

核心技术专利:CN118964589B侵权必究
粤ICP备2023148730 号-1Suppr @ 2026

文献检索

告别复杂PubMed语法,用中文像聊天一样搜索,搜遍4000万医学文献。AI智能推荐,让科研检索更轻松。

立即免费搜索

文件翻译

保留排版,准确专业,支持PDF/Word/PPT等文件格式,支持 12+语言互译。

免费翻译文档

深度研究

AI帮你快速写综述,25分钟生成高质量综述,智能提取关键信息,辅助科研写作。

立即免费体验

带反峰的加权尖峰神经网络系统的图灵泛化性。

Turing Universality of Weighted Spiking Neural P Systems with Anti-spikes.

机构信息

Academy of Management Science, Business School, Shandong Normal University, Jinan, China.

College of Business, The University of Texas at San Antonio, San Antonio, TX, USA.

出版信息

Comput Intell Neurosci. 2020 Sep 17;2020:8892240. doi: 10.1155/2020/8892240. eCollection 2020.

DOI:10.1155/2020/8892240
PMID:33014033
原文链接:https://pmc.ncbi.nlm.nih.gov/articles/PMC7519440/
Abstract

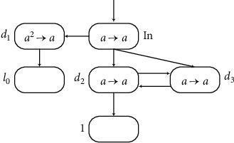
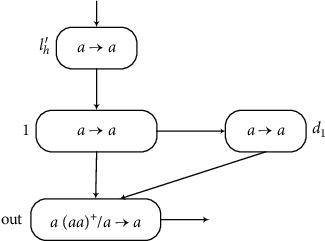
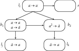
Weighted spiking neural P systems with anti-spikes (AWSN P systems) are proposed by adding anti-spikes to spiking neural P systems with weighted synapses. Anti-spikes behave like spikes of inhibition of communication between neurons. Both spikes and anti-spikes are used in the rule expressions. An illustrative example is given to show the working process of the proposed AWSN P systems. The Turing universality of the proposed P systems as number generating and accepting devices is proved. Finally, a universal AWSN P system having 34 neurons is proved to work as a function computing device by using standard rules, and one having 30 neurons is proved to work as a number generator.

摘要

带反峰的加权尖峰神经网络 P 系统(AWSN P 系统)通过在带加权突触的尖峰神经网络 P 系统中添加反峰而提出。反峰的行为类似于神经元之间通信的抑制尖峰。尖峰和反峰都用于规则表达式中。给出了一个说明性的例子来说明所提出的 AWSN P 系统的工作过程。证明了所提出的 P 系统作为数字生成和接收设备的图灵通用性。最后,通过使用标准规则,证明了一个具有 34 个神经元的通用 AWSN P 系统可以作为函数计算设备工作,并且证明了一个具有 30 个神经元的通用 AWSN P 系统可以作为数字生成器工作。

https://cdn.ncbi.nlm.nih.gov/pmc/blobs/0b45/7519440/9944a4de3bc5/CIN2020-8892240.015.jpg
https://cdn.ncbi.nlm.nih.gov/pmc/blobs/0b45/7519440/3e102e7e9446/CIN2020-8892240.001.jpg
https://cdn.ncbi.nlm.nih.gov/pmc/blobs/0b45/7519440/ae5e8cc50796/CIN2020-8892240.002.jpg
https://cdn.ncbi.nlm.nih.gov/pmc/blobs/0b45/7519440/9954bc8f6944/CIN2020-8892240.003.jpg
https://cdn.ncbi.nlm.nih.gov/pmc/blobs/0b45/7519440/6dd6a3f01373/CIN2020-8892240.004.jpg
https://cdn.ncbi.nlm.nih.gov/pmc/blobs/0b45/7519440/9d3225a13bda/CIN2020-8892240.005.jpg
https://cdn.ncbi.nlm.nih.gov/pmc/blobs/0b45/7519440/61e285604c19/CIN2020-8892240.006.jpg
https://cdn.ncbi.nlm.nih.gov/pmc/blobs/0b45/7519440/1a00b0d8dab0/CIN2020-8892240.007.jpg
https://cdn.ncbi.nlm.nih.gov/pmc/blobs/0b45/7519440/0746b8189a5a/CIN2020-8892240.008.jpg
https://cdn.ncbi.nlm.nih.gov/pmc/blobs/0b45/7519440/dff925087b06/CIN2020-8892240.009.jpg
https://cdn.ncbi.nlm.nih.gov/pmc/blobs/0b45/7519440/7d1ad3398474/CIN2020-8892240.010.jpg
https://cdn.ncbi.nlm.nih.gov/pmc/blobs/0b45/7519440/575500c263b4/CIN2020-8892240.011.jpg
https://cdn.ncbi.nlm.nih.gov/pmc/blobs/0b45/7519440/0e4d03f37234/CIN2020-8892240.012.jpg
https://cdn.ncbi.nlm.nih.gov/pmc/blobs/0b45/7519440/fe8c18144081/CIN2020-8892240.013.jpg
https://cdn.ncbi.nlm.nih.gov/pmc/blobs/0b45/7519440/7a1bc9d92430/CIN2020-8892240.014.jpg
https://cdn.ncbi.nlm.nih.gov/pmc/blobs/0b45/7519440/9944a4de3bc5/CIN2020-8892240.015.jpg
https://cdn.ncbi.nlm.nih.gov/pmc/blobs/0b45/7519440/3e102e7e9446/CIN2020-8892240.001.jpg
https://cdn.ncbi.nlm.nih.gov/pmc/blobs/0b45/7519440/ae5e8cc50796/CIN2020-8892240.002.jpg
https://cdn.ncbi.nlm.nih.gov/pmc/blobs/0b45/7519440/9954bc8f6944/CIN2020-8892240.003.jpg
https://cdn.ncbi.nlm.nih.gov/pmc/blobs/0b45/7519440/6dd6a3f01373/CIN2020-8892240.004.jpg
https://cdn.ncbi.nlm.nih.gov/pmc/blobs/0b45/7519440/9d3225a13bda/CIN2020-8892240.005.jpg
https://cdn.ncbi.nlm.nih.gov/pmc/blobs/0b45/7519440/61e285604c19/CIN2020-8892240.006.jpg
https://cdn.ncbi.nlm.nih.gov/pmc/blobs/0b45/7519440/1a00b0d8dab0/CIN2020-8892240.007.jpg
https://cdn.ncbi.nlm.nih.gov/pmc/blobs/0b45/7519440/0746b8189a5a/CIN2020-8892240.008.jpg
https://cdn.ncbi.nlm.nih.gov/pmc/blobs/0b45/7519440/dff925087b06/CIN2020-8892240.009.jpg
https://cdn.ncbi.nlm.nih.gov/pmc/blobs/0b45/7519440/7d1ad3398474/CIN2020-8892240.010.jpg
https://cdn.ncbi.nlm.nih.gov/pmc/blobs/0b45/7519440/575500c263b4/CIN2020-8892240.011.jpg
https://cdn.ncbi.nlm.nih.gov/pmc/blobs/0b45/7519440/0e4d03f37234/CIN2020-8892240.012.jpg
https://cdn.ncbi.nlm.nih.gov/pmc/blobs/0b45/7519440/fe8c18144081/CIN2020-8892240.013.jpg
https://cdn.ncbi.nlm.nih.gov/pmc/blobs/0b45/7519440/7a1bc9d92430/CIN2020-8892240.014.jpg
https://cdn.ncbi.nlm.nih.gov/pmc/blobs/0b45/7519440/9944a4de3bc5/CIN2020-8892240.015.jpg

相似文献

1
Turing Universality of Weighted Spiking Neural P Systems with Anti-spikes.带反峰的加权尖峰神经网络系统的图灵泛化性。
Comput Intell Neurosci. 2020 Sep 17;2020:8892240. doi: 10.1155/2020/8892240. eCollection 2020.
2
Spiking neural P systems with multiple channels and anti-spikes.具有多通道和反脉冲的脉冲神经P系统
Biosystems. 2018 Jul;169-170:13-19. doi: 10.1016/j.biosystems.2018.05.004. Epub 2018 May 24.
3
Spiking Neural P Systems with Extended Channel Rules.具有扩展通道规则的脉冲神经P系统
Int J Neural Syst. 2021 Jan;31(1):2050049. doi: 10.1142/S0129065720500495. Epub 2020 Aug 18.
4
On the Universality and Non-Universality of Spiking Neural P Systems With Rules on Synapses.关于具有突触规则的脉冲神经P系统的通用性和非通用性
IEEE Trans Nanobioscience. 2015 Dec;14(8):960-6. doi: 10.1109/TNB.2015.2503603. Epub 2015 Nov 25.
5
Nonlinear Spiking Neural P Systems.非线性尖峰神经网络系统。
Int J Neural Syst. 2020 Oct;30(10):2050008. doi: 10.1142/S0129065720500082. Epub 2020 Mar 12.
6
Universal Nonlinear Spiking Neural P Systems with Delays and Weights on Synapses.具有突触延迟和权重的通用非线性尖峰神经网络系统。
Comput Intell Neurosci. 2021 Aug 25;2021:3285719. doi: 10.1155/2021/3285719. eCollection 2021.
7
Competitive Spiking Neural P Systems With Rules on Synapses.具有突触规则的竞争尖峰神经网络系统。
IEEE Trans Nanobioscience. 2017 Dec;16(8):888-895. doi: 10.1109/TNB.2017.2783890.
8
Spiking Neural P Systems with Delay on Synapses.突触具有时滞的尖峰神经网络系统。
Int J Neural Syst. 2021 Jan;31(1):2050042. doi: 10.1142/S0129065720500422. Epub 2020 Jul 23.
9
Spiking neural P systems with multiple channels and polarizations.具有多通道和极化的脉冲神经P系统。
Biosystems. 2019 Nov;185:104020. doi: 10.1016/j.biosystems.2019.104020. Epub 2019 Aug 19.
10
Simplified and Yet Turing Universal Spiking Neural P Systems with Communication on Request.基于请求通信的简化且通用的类脑脉冲神经网络系统
Int J Neural Syst. 2018 Oct;28(8):1850013. doi: 10.1142/S0129065718500132. Epub 2018 Apr 2.

引用本文的文献

1
Multiview Clustering of Adaptive Sparse Representation Based on Coupled P Systems.基于耦合P系统的自适应稀疏表示多视图聚类
Entropy (Basel). 2022 Apr 18;24(4):568. doi: 10.3390/e24040568.

本文引用的文献

1
Dendrite P systems.树突 P 系统。
Neural Netw. 2020 Jul;127:110-120. doi: 10.1016/j.neunet.2020.04.014. Epub 2020 Apr 18.
2
Spiking Neural P Systems With Learning Functions.具有学习功能的尖峰神经网络系统。
IEEE Trans Nanobioscience. 2019 Apr;18(2):176-190. doi: 10.1109/TNB.2019.2896981. Epub 2019 Feb 1.
3
Coupled Neural P Systems.耦合神经P系统
IEEE Trans Neural Netw Learn Syst. 2019 Jun;30(6):1672-1682. doi: 10.1109/TNNLS.2018.2872999. Epub 2018 Oct 23.
4
A Parallel Workflow Pattern Modeling Using Spiking Neural P Systems With Colored Spikes.使用带颜色 spikes 的尖峰神经网络系统进行并行工作流模式建模。
IEEE Trans Nanobioscience. 2018 Oct;17(4):474-484. doi: 10.1109/TNB.2018.2873221. Epub 2018 Oct 1.
5
Spiking neural P systems with multiple channels and anti-spikes.具有多通道和反脉冲的脉冲神经P系统
Biosystems. 2018 Jul;169-170:13-19. doi: 10.1016/j.biosystems.2018.05.004. Epub 2018 May 24.
6
Extended spiking neural P systems with white hole rules and their red-green variants.具有白洞规则的扩展脉冲神经P系统及其红绿色变体
Nat Comput. 2018;17(2):297-310. doi: 10.1007/s11047-017-9649-7. Epub 2017 Nov 13.
7
Simplified and Yet Turing Universal Spiking Neural P Systems with Communication on Request.基于请求通信的简化且通用的类脑脉冲神经网络系统
Int J Neural Syst. 2018 Oct;28(8):1850013. doi: 10.1142/S0129065718500132. Epub 2018 Apr 2.
8
Spiking Neural P Systems with Communication on Request.基于请求的通信尖峰神经网络系统。
Int J Neural Syst. 2017 Dec;27(8):1750042. doi: 10.1142/S0129065717500423. Epub 2017 Aug 16.
9
Spiking neural P systems with multiple channels.具有多个通道的尖峰神经网络 P 系统。
Neural Netw. 2017 Nov;95:66-71. doi: 10.1016/j.neunet.2017.08.003. Epub 2017 Aug 24.
10
Spiking Neural P Systems With Polarizations.带极化的脉冲神经P系统
IEEE Trans Neural Netw Learn Syst. 2018 Aug;29(8):3349-3360. doi: 10.1109/TNNLS.2017.2726119. Epub 2017 Aug 1.