Suppr超能文献

基于耦合P系统的自适应稀疏表示多视图聚类

Multiview Clustering of Adaptive Sparse Representation Based on Coupled P Systems.

作者信息

Zhang Xiaoling, Liu Xiyu

机构信息

Academy of Management Science, Business School, Shandong Normal University, Jinan 250014, China.

出版信息

Entropy (Basel). 2022 Apr 18;24(4):568. doi: 10.3390/e24040568.

Abstract

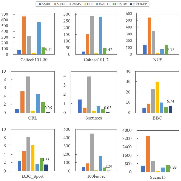
A multiview clustering (MVC) has been a significant technique to dispose data mining issues. Most of the existing studies on this topic adopt a fixed number of neighbors when constructing the similarity matrix of each view, like single-view clustering. However, this may reduce the clustering effect due to the diversity of multiview data sources. Moreover, most MVC utilizes iterative optimization to obtain clustering results, which consumes a significant amount of time. Therefore, this paper proposes a multiview clustering of adaptive sparse representation based on coupled P system (MVCS-CP) without iteration. The whole algorithm flow runs in the coupled P system. Firstly, the natural neighbor search algorithm without parameters automatically determines the number of neighbors of each view. In turn, manifold learning and sparse representation are employed to construct the similarity matrix, which preserves the internal geometry of the views. Next, a soft thresholding operator is introduced to form the unified graph to gain the clustering results. The experimental results on nine real datasets indicate that the MVCS-CP outperforms other state-of-the-art comparison algorithms.

摘要

多视图聚类(MVC)一直是处理数据挖掘问题的一项重要技术。关于该主题的大多数现有研究在构建每个视图的相似性矩阵时,都像单视图聚类一样采用固定数量的邻居。然而,由于多视图数据源的多样性,这可能会降低聚类效果。此外,大多数MVC利用迭代优化来获得聚类结果,这会消耗大量时间。因此,本文提出了一种基于耦合P系统的无迭代自适应稀疏表示多视图聚类算法(MVCS-CP)。整个算法流程在耦合P系统中运行。首先,无参数的自然邻域搜索算法自动确定每个视图的邻居数量。接着,采用流形学习和稀疏表示来构建相似性矩阵,以保留视图的内部几何结构。然后,引入软阈值算子形成统一的图以获得聚类结果。在九个真实数据集上的实验结果表明,MVCS-CP优于其他当前最先进的比较算法。

https://cdn.ncbi.nlm.nih.gov/pmc/blobs/36d1/9028410/5305164a473b/entropy-24-00568-g001.jpg

文献检索

告别复杂PubMed语法,用中文像聊天一样搜索,搜遍4000万医学文献。AI智能推荐,让科研检索更轻松。

立即免费搜索

文件翻译

保留排版,准确专业,支持PDF/Word/PPT等文件格式,支持 12+语言互译。

免费翻译文档

深度研究

AI帮你快速写综述,25分钟生成高质量综述,智能提取关键信息,辅助科研写作。

立即免费体验