Hypertension Center of People's Hospital of Xinjiang Uygur Autonomous Region; Xinjiang Hypertension Institute; National Health Committee Key Laboratory of Hypertension Clinical Research, Urumqi, Xinjiang 830001, China.
Biomed Res Int. 2020 Sep 27;2020:9108216. doi: 10.1155/2020/9108216. eCollection 2020.
Hypertension is now common in China. Patients with hypertension and type 2 diabetes are prone to severe cardiovascular complications and poor prognosis. Therefore, this study is aimed at establishing an effective risk prediction model to provide early prediction of the risk of new-onset diabetes for patients with a history of hypertension.
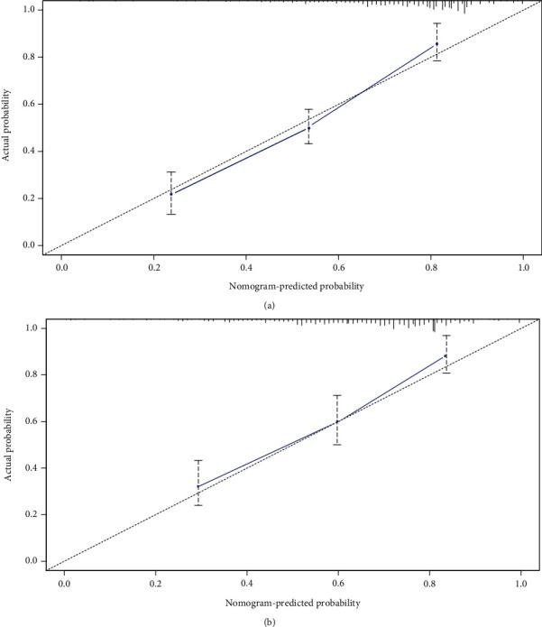
A LASSO regression model was used to select potentially relevant features. Univariate and multivariate Cox regression analyses were used to determine independent predictors. Based on the results of multivariate analysis, a nomogram of the 5-year incidence of T2D in patients with hypertension in mainland China was established. The discriminative capacity was assessed by Harrell's -index, AUC value, calibration plot, and clinical utility.
After random sampling, 1273 and 415 patients with hypertension were included in the derivation and validation cohorts, respectively. The prediction model included age, body mass index, FPG, and TC as predictors. In the derivation cohort, the AUC value and -index of the prediction model are 0.878 (95% CI, 0.861-0.895) and 0.862 (95% CI, 0.830-0.894), respectively. In the validation cohort, the AUC value and -index of the prediction model were 0.855 (95% CI, 0.836-0.874) and 0.841 (95% CI, 0.817-0.865), respectively. The calibration plots demonstrated good agreement between the estimated probability and the actual observation. Decision curve analysis shows that nomograms are clinically useful.
Our nomogram can be used as a simple, affordable, reasonable, and widely implemented tool to predict the 5-year T2D risk of hypertension patients in mainland China. This application helps timely intervention to reduce the incidence of T2D in patients with hypertension in mainland China.
高血压在中国现在很常见。高血压和 2 型糖尿病患者易发生严重心血管并发症和预后不良。因此,本研究旨在建立一种有效的风险预测模型,为高血压患者新发糖尿病的风险提供早期预测。
使用 LASSO 回归模型选择潜在相关特征。采用单因素和多因素 Cox 回归分析确定独立预测因素。基于多因素分析的结果,建立了中国大陆高血压患者 5 年 T2D 发生率的列线图。通过 Harrell's -指数、AUC 值、校准图和临床实用性来评估判别能力。
经过随机抽样,纳入了 1273 例和 415 例高血压患者分别进入推导队列和验证队列。预测模型包括年龄、体重指数、FPG 和 TC 作为预测因素。在推导队列中,预测模型的 AUC 值和 -指数分别为 0.878(95%CI,0.861-0.895)和 0.862(95%CI,0.830-0.894)。在验证队列中,预测模型的 AUC 值和 -指数分别为 0.855(95%CI,0.836-0.874)和 0.841(95%CI,0.817-0.865)。校准图显示了估计概率与实际观察之间的良好一致性。决策曲线分析表明,列线图具有临床实用性。
我们的列线图可作为一种简单、经济、合理且广泛应用的工具,用于预测中国大陆高血压患者的 5 年 T2D 风险。这种应用有助于及时干预,降低中国大陆高血压患者的 T2D 发生率。