Suppr超能文献

用于预测新发转移性乳腺癌患者生存的列线图:一项基于人群的研究。

A nomogram for predicting survival in patients with de novo metastatic breast cancer: a population-based study.

机构信息

Department of Oncology, the First Affiliated Hospital of Xi'an Jiaotong University, No 277 Yenta West Road, Xi'an, Shaanxi, 710061, People's Republic of China.

出版信息

BMC Cancer. 2020 Oct 12;20(1):982. doi: 10.1186/s12885-020-07449-1.

Abstract

BACKGROUND

5-10% of patients are diagnosed with metastatic breast cancer (MBC) at the initial diagnosis. This study aimed to develop a nomogram to predict the overall survival (OS) of these patients.

METHODS

de novo MBC patients diagnosed in 2010-2016 were identified from the Surveillance, Epidemiology, and End Results (SEER) database. They were randomly divided into a training and a validation cohort with a ratio of 2:1. The best subsets of covariates were identified to develop a nomogram predicting OS based on the smallest Akaike Information Criterion (AIC) value in the multivariate Cox models. The discrimination and calibration of the nomogram were evaluated using the Concordance index, the area under the time-dependent receiver operating characteristic curve (AUC) and calibration curves.

RESULTS

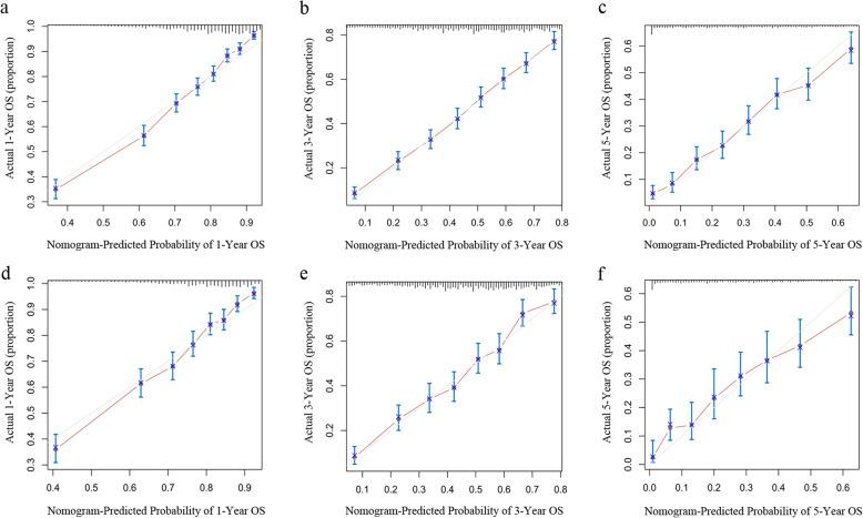
In this study, we included 7986 patients with de novo MBC. The median follow-up time was 36 months (range: 0-83 months). Five thousand three-hundred twenty four patients were allocated into the training cohort while 2662 were allocated into the validation cohort. In the training cohort, age at diagnosis, race, marital status, differentiation grade, subtype, T stage, bone metastasis, brain metastasis, liver metastasis, lung metastasis, surgery and chemotherapy were selected to create the nomogram estimating the 1-, 3- and 5- year OS based on the smallest AIC value in the multivariate Cox models. The nomogram achieved a Concordance index of 0.723 (95% CI, 0.713-0.733) in the training cohort and 0.719 (95% CI, 0.705-0.734) in the validation cohort. AUC values of the nomogram indicated good specificity and sensitivity in the training and validation cohort. Calibration curves showed a favorable consistency between the predicted and actual survival probabilities.

CONCLUSION

The developed nomogram reliably predicted OS in patients with de novo MBC and presented a favorable discrimination ability. While further validation is needed, this may be a useful tool in clinical practice.

摘要

背景

5-10%的患者在初始诊断时被诊断为转移性乳腺癌(MBC)。本研究旨在开发一个列线图来预测这些患者的总生存期(OS)。

方法

从监测、流行病学和最终结果(SEER)数据库中确定 2010-2016 年诊断的新发 MBC 患者。他们被随机分为训练队列和验证队列,比例为 2:1。根据多变量 Cox 模型中最小的 Akaike 信息准则(AIC)值,确定预测 OS 的最佳协变量子集,以开发列线图。使用一致性指数、时间依赖性接受者操作特征曲线(AUC)下的面积和校准曲线来评估列线图的区分度和校准度。

结果

本研究纳入了 7986 例新发 MBC 患者。中位随访时间为 36 个月(范围:0-83 个月)。5324 例患者被分配到训练队列,2662 例患者被分配到验证队列。在训练队列中,根据多变量 Cox 模型中最小的 AIC 值,选择年龄、种族、婚姻状况、分化程度、亚型、T 分期、骨转移、脑转移、肝转移、肺转移、手术和化疗来创建估计 1 年、3 年和 5 年 OS 的列线图。该列线图在训练队列中的一致性指数为 0.723(95%CI,0.713-0.733),在验证队列中的一致性指数为 0.719(95%CI,0.705-0.734)。列线图的 AUC 值表明在训练和验证队列中具有良好的特异性和敏感性。校准曲线显示预测和实际生存概率之间具有良好的一致性。

结论

该列线图可可靠地预测新发 MBC 患者的 OS,具有良好的区分能力。虽然需要进一步验证,但这可能是临床实践中的有用工具。

https://cdn.ncbi.nlm.nih.gov/pmc/blobs/b3da/7549197/16150c0b9142/12885_2020_7449_Fig1_HTML.jpg

文献检索

告别复杂PubMed语法,用中文像聊天一样搜索,搜遍4000万医学文献。AI智能推荐,让科研检索更轻松。

立即免费搜索

文件翻译

保留排版,准确专业,支持PDF/Word/PPT等文件格式,支持 12+语言互译。

免费翻译文档

深度研究

AI帮你快速写综述,25分钟生成高质量综述,智能提取关键信息,辅助科研写作。

立即免费体验