Suppr超能文献

<em>TMPRSS6</em> 变体(SNP rs855791)影响铁代谢和口服铁吸收 - 台湾女性的稳定铁同位素研究。

The <em>TMPRSS6</em> variant (SNP rs855791) affects iron metabolism and oral iron absorption - a stable iron isotope study in Taiwanese women.

机构信息

Laboratory of Human Nutrition, Institute of Food Nutrition and Health, Department of Health Science and Technology, Swiss Federal Institute of Technology (ETH Zurich), Zurich, Switzerland.

Department of Internal Medicine, Kaohsiung Chang Gung Memorial Hospital, Chang Gung University College of Medicine, Kaohsiung, Taiwan; Department of Hematology Oncology, E-Da Cancer Hospital, Taiwan; College of Medicine, I-Shou University, Kaohsiung, Taiwan.

出版信息

Haematologica. 2021 Nov 1;106(11):2897-2905. doi: 10.3324/haematol.2020.264556.

Abstract

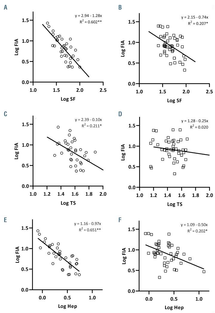
Genome wide studies have associated TMPRSS6 rs855791 (2321 C>T) with iron status and hepcidin. It is unclear whether this polymorphism affects iron absorption. In nonanemic Taiwanese women (n=79, 44 TT variant, 35 CC variant), we administered standardized rice-based test meals containing 4 mg of labeled 57Fe or 58Fe as FeSO4 on alternate days. Fractional iron absorption was measured by erythrocyte incorporation of the tracers 14 days after administration. Compared to the CC variant, in the TT variant serum iron and transferrin saturation were lower (P=0.001; P<0.001, respectively) and serum hepcidin/transferrin saturation and serum hepcidin/serum iron ratios were higher (P=0.042; P=0.088, respectively). Serum hepcidin did not differ between groups (P=0.862). Geometric mean (95% CI) fractional iron absorption, corrected to a serum ferritin of 15 μg/L, was 26.6% (24.0, 29.5) in the CC variant and 18.5% (16.2, 21.1) in the TT variant (P=0.002). Overall, predictors of iron absorption were: serum ferritin (P<0.001); genetic variant (P=0.032); and hepcidin (P<0.001). In the models by variant, in the CC variant the model explained 67-71% of variability in absorption and serum ferritin was the only significant predictor (P<0.001); in the TT variant, the model explained only 35-43% of variability, and hemoglobin (P=0.032), soluble transferrin receptor (P=0.004) and hepcidin (P<0.001) were significant predictors. Women with the TMPRSS6 rs855791 (2321 C>T) polymorphism show altered iron homeostasis which affects oral iron absorption and may increase their risk for iron deficiency. The trial was registered at www.clinicaltrials.gov as NCT03317873, and funded by the Kaohsiung Chang-Gung Memorial Hospital, Kaohsiung, Taiwan, (grant CMRPG8F0721) and ETH Zurich, Switzerland.

摘要

全基因组研究将 TMPRSS6 rs855791(2321 C>T)与铁状态和铁调素联系起来。目前尚不清楚这种多态性是否会影响铁的吸收。在非贫血的台湾女性(n=79,44 例 TT 变异,35 例 CC 变异)中,我们在隔日用含有 4mg 标记的 57Fe 或 58Fe 的标准化米制试验餐。给药 14 天后,通过示踪剂在红细胞中的掺入来测量铁的分数吸收。与 CC 变异相比,TT 变异的血清铁和转铁蛋白饱和度较低(P=0.001;P<0.001),血清铁调素/转铁蛋白饱和度和血清铁调素/血清铁比值较高(P=0.042;P=0.088)。两组之间的血清铁调素没有差异(P=0.862)。CC 变异组和 TT 变异组校正至血清铁蛋白为 15μg/L 的铁分数吸收的几何平均值(95%CI)分别为 26.6%(24.0,29.5)和 18.5%(16.2,21.1)(P=0.002)。总的来说,铁吸收的预测因素有:血清铁蛋白(P<0.001);遗传变异(P=0.032);和铁调素(P<0.001)。在按变异的模型中,在 CC 变异中,模型解释了吸收变异性的 67-71%,血清铁蛋白是唯一显著的预测因素(P<0.001);在 TT 变异中,模型仅解释了 35-43%的变异性,血红蛋白(P=0.032)、可溶性转铁蛋白受体(P=0.004)和铁调素(P<0.001)是显著的预测因素。携带 TMPRSS6 rs855791(2321 C>T)多态性的女性表现出铁稳态的改变,这会影响口服铁的吸收,并可能增加其缺铁的风险。该试验在 www.clinicaltrials.gov 上注册为 NCT03317873,由台湾高雄长庚纪念医院(Kaohsiung Chang-Gung Memorial Hospital)和瑞士苏黎世 ETH 大学资助(CMRPG8F0721 号赠款)。

https://cdn.ncbi.nlm.nih.gov/pmc/blobs/e92e/8561285/9d50c43bfb05/1062897.fig1.jpg

文献检索

告别复杂PubMed语法,用中文像聊天一样搜索,搜遍4000万医学文献。AI智能推荐,让科研检索更轻松。

立即免费搜索

文件翻译

保留排版,准确专业,支持PDF/Word/PPT等文件格式,支持 12+语言互译。

免费翻译文档

深度研究

AI帮你快速写综述,25分钟生成高质量综述,智能提取关键信息,辅助科研写作。

立即免费体验