• 文献检索
  • 文档翻译
  • 深度研究
  • 学术资讯
  • Suppr Zotero 插件Zotero 插件
  • 邀请有礼
  • 套餐&价格
  • 历史记录
应用&插件
Suppr Zotero 插件Zotero 插件浏览器插件Mac 客户端Windows 客户端微信小程序
定价
高级版会员购买积分包购买API积分包
服务
文献检索文档翻译深度研究API 文档MCP 服务
关于我们
关于 Suppr公司介绍联系我们用户协议隐私条款
关注我们

Suppr 超能文献

核心技术专利:CN118964589B侵权必究
粤ICP备2023148730 号-1Suppr @ 2026

文献检索

告别复杂PubMed语法,用中文像聊天一样搜索,搜遍4000万医学文献。AI智能推荐,让科研检索更轻松。

立即免费搜索

文件翻译

保留排版,准确专业,支持PDF/Word/PPT等文件格式,支持 12+语言互译。

免费翻译文档

深度研究

AI帮你快速写综述,25分钟生成高质量综述,智能提取关键信息,辅助科研写作。

立即免费体验

罗尔夫提取物治疗痛风的效果及机制研究

Investigation of the Effects and Mechanisms of Rolfe Extract on the Treatment of Gout.

作者信息

Zhang Kai-Hui, Wang Mei-Qi, Wei Lu-Ling, Feng Cheng-Jing, Zhang Yu-Si, Teng Jian-Bei

机构信息

College of Pharmaceutical Science, Guangxi University of Chinese Medicine, Nanning 530200, China.

出版信息

Evid Based Complement Alternat Med. 2020 Sep 30;2020:4367347. doi: 10.1155/2020/4367347. eCollection 2020.

DOI:10.1155/2020/4367347
PMID:33062010
原文链接:https://pmc.ncbi.nlm.nih.gov/articles/PMC7547349/
Abstract

OBJECTIVE

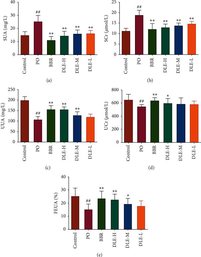
Gout is a chronic disease that causes inflammatory arthritis, which is closely related to urate accumulation induced by a disorder of uric acid metabolism and the consequent deposition of monosodium urate crystals. Rolfe is an herbal medicine that has been used in some traditional Chinese medicine formulae in the treatment of gout. This study aimed to explore and verify the antigout activity of extract (DLE) on alleviating the hyperuricaemia of mice and the acute gouty arthritis of rats.

METHODS

An animal model of hyperuricaemia was established using potassium oxonate (PO). We analysed the expression of uric acid transporter mRNA in the kidney in the hyperuricaemic mice after treatment with DLE. Simultaneously, a monosodium urate crystal-induced acute gouty arthritis rat model was used to evaluate the effects of DLE, according to the level of ankle swelling, as well as the protein levels of inflammatory receptors and cytokines, as assayed by WB and ELISA.

RESULTS

DLE alleviated hyperuricaemia in mice and inhibited acute gouty arthritis in rats ( < 0.05). Meanwhile, DLE regulated the levels of uric acid transporters mRNA transcripts, including mouse organic anion transporter 1 (mOAT1), organic anion transporter 3 (mOAT3), urate transporter 1 (mURAT1), and glucose transporter 9 (mGLUT9) in the kidney ( < 0.05), suggesting that DLE promoted uric acid metabolism. Furthermore, DLE significantly suppressed the protein levels of TLRs, MyD88, and NF-B in the ankle joint's synovium ( < 0.05), and the serum levels of IL-1, IL-6, and TNF- were also reduced, which demonstrated the anti-inflammatory effects of DLE.

CONCLUSION

DLE alleviates hyperuricaemia by regulating the transcription level of uric acid transporters in the kidney. It also inhibits acute gouty arthritis by inhibiting the pathway of TLRs/MyD88/NF-B in the ankle joint's synovium. The findings of the present study imply that DLE alleviates gout by promoting uric acid metabolism and inhibiting inflammation related to the TLRs/MyD88/NF-B pathway.

摘要

目的

痛风是一种导致炎性关节炎的慢性疾病,与尿酸代谢紊乱引起的尿酸盐积聚以及随后的尿酸钠晶体沉积密切相关。萝芙木是一种已被用于一些中药配方中治疗痛风的草药。本研究旨在探索并验证萝芙木提取物(DLE)对减轻小鼠高尿酸血症和大鼠急性痛风性关节炎的抗痛风活性。

方法

使用氧嗪酸钾(PO)建立高尿酸血症动物模型。我们分析了DLE处理后高尿酸血症小鼠肾脏中尿酸转运蛋白mRNA的表达。同时,使用尿酸钠晶体诱导的急性痛风性关节炎大鼠模型,根据踝关节肿胀程度以及通过蛋白质免疫印迹法(WB)和酶联免疫吸附测定法(ELISA)检测的炎性受体和细胞因子的蛋白质水平来评估DLE的作用。

结果

DLE减轻了小鼠的高尿酸血症并抑制了大鼠的急性痛风性关节炎(P<0.05)。同时,DLE调节了肾脏中尿酸转运蛋白mRNA转录本的水平,包括小鼠有机阴离子转运体1(mOAT1)、有机阴离子转运体3(mOAT3)、尿酸转运体1(mURAT1)和葡萄糖转运体9(mGLUT9)(P<0.05),表明DLE促进了尿酸代谢。此外,DLE显著抑制了踝关节滑膜中Toll样受体(TLRs)、髓样分化因子88(MyD88)和核因子κB(NF-κB)的蛋白质水平(P<0.05),并且血清中白细胞介素-1(IL-1)、白细胞介素-6(IL-6)和肿瘤坏死因子-α(TNF-α)的水平也降低了,这证明了DLE的抗炎作用。

结论

DLE通过调节肾脏中尿酸转运蛋白的转录水平来减轻高尿酸血症。它还通过抑制踝关节滑膜中TLRs/MyD88/NF-κB通路来抑制急性痛风性关节炎。本研究结果表明,DLE通过促进尿酸代谢和抑制与TLRs/MyD88/NF-κB通路相关的炎症来减轻痛风。

https://cdn.ncbi.nlm.nih.gov/pmc/blobs/00f7/7547349/cccc1f46c465/ECAM2020-4367347.006.jpg
https://cdn.ncbi.nlm.nih.gov/pmc/blobs/00f7/7547349/00117f0a62ab/ECAM2020-4367347.001.jpg
https://cdn.ncbi.nlm.nih.gov/pmc/blobs/00f7/7547349/318a2c410da6/ECAM2020-4367347.002.jpg
https://cdn.ncbi.nlm.nih.gov/pmc/blobs/00f7/7547349/7dc11639156e/ECAM2020-4367347.003.jpg
https://cdn.ncbi.nlm.nih.gov/pmc/blobs/00f7/7547349/c8bdbba90477/ECAM2020-4367347.004.jpg
https://cdn.ncbi.nlm.nih.gov/pmc/blobs/00f7/7547349/b46c38ed12e5/ECAM2020-4367347.005.jpg
https://cdn.ncbi.nlm.nih.gov/pmc/blobs/00f7/7547349/cccc1f46c465/ECAM2020-4367347.006.jpg
https://cdn.ncbi.nlm.nih.gov/pmc/blobs/00f7/7547349/00117f0a62ab/ECAM2020-4367347.001.jpg
https://cdn.ncbi.nlm.nih.gov/pmc/blobs/00f7/7547349/318a2c410da6/ECAM2020-4367347.002.jpg
https://cdn.ncbi.nlm.nih.gov/pmc/blobs/00f7/7547349/7dc11639156e/ECAM2020-4367347.003.jpg
https://cdn.ncbi.nlm.nih.gov/pmc/blobs/00f7/7547349/c8bdbba90477/ECAM2020-4367347.004.jpg
https://cdn.ncbi.nlm.nih.gov/pmc/blobs/00f7/7547349/b46c38ed12e5/ECAM2020-4367347.005.jpg
https://cdn.ncbi.nlm.nih.gov/pmc/blobs/00f7/7547349/cccc1f46c465/ECAM2020-4367347.006.jpg

相似文献

1
Investigation of the Effects and Mechanisms of Rolfe Extract on the Treatment of Gout.罗尔夫提取物治疗痛风的效果及机制研究
Evid Based Complement Alternat Med. 2020 Sep 30;2020:4367347. doi: 10.1155/2020/4367347. eCollection 2020.
2
Luteolin-4'-O-glucoside and its aglycone, two major flavones of Gnaphalium affine D. Don, resist hyperuricemia and acute gouty arthritis activity in animal models.蒙花苷及其苷元,两种蒙花属植物的主要黄酮类化合物,可抵抗动物模型中的高尿酸血症和急性痛风性关节炎活性。
Phytomedicine. 2018 Mar 1;41:54-61. doi: 10.1016/j.phymed.2018.02.002. Epub 2018 Feb 6.
3
Anti-Gout Effects of the Medicinal Fungus in Hyperuricaemia and Acute Gouty Arthritis Rat Models.药用真菌对高尿酸血症和急性痛风性关节炎大鼠模型的抗痛风作用
Front Pharmacol. 2022 Jan 11;12:801910. doi: 10.3389/fphar.2021.801910. eCollection 2021.
4
Protective effects of Rhizoma smilacis glabrae extracts on potassium oxonate- and monosodium urate-induced hyperuricemia and gout in mice.菝葜提取物对氧嗪酸钾和尿酸单钠诱导的小鼠高尿酸血症和痛风的保护作用。
Phytomedicine. 2019 Jun;59:152772. doi: 10.1016/j.phymed.2018.11.032. Epub 2018 Nov 24.
5
Mechanism of Biqi capsules in the treatment of gout based on network pharmacology and experimental verification.基于网络药理学和实验验证的痹祺胶囊治疗痛风的作用机制。
J Ethnopharmacol. 2025 Jan 30;337(Pt 1):118817. doi: 10.1016/j.jep.2024.118817. Epub 2024 Sep 14.
6
Extracts of (Burm.f.) Nees Leaves Exert Anti-Gout Effects by Lowering Uric Acid Levels and Reducing Monosodium Urate Crystal-Induced Inflammation.(缅甸)腺背蓝叶提取物通过降低尿酸水平和减轻尿酸钠晶体诱导的炎症发挥抗痛风作用。
Front Pharmacol. 2022 Jan 10;12:787125. doi: 10.3389/fphar.2021.787125. eCollection 2021.
7
Extract Alleviates Monosodium Urate-Induced Acute Gouty Arthritis in Rats by Inhibiting Uric Acid and Inflammation.提取物通过抑制尿酸和炎症减轻大鼠尿酸钠诱导的急性痛风性关节炎。
Evid Based Complement Alternat Med. 2020 Apr 21;2020:3095624. doi: 10.1155/2020/3095624. eCollection 2020.
8
Dendrobium officinalis six nostrum ameliorates urate under-excretion and protects renal dysfunction in lipid emulsion-induced hyperuricemic rats.铁皮石斛六君汤可改善脂乳诱导高尿酸血症大鼠尿酸排泄不足和保护肾功能障碍。
Biomed Pharmacother. 2020 Dec;132:110765. doi: 10.1016/j.biopha.2020.110765. Epub 2020 Oct 28.
9
Curcumin attenuates MSU crystal-induced inflammation by inhibiting the degradation of IκBα and blocking mitochondrial damage.姜黄素通过抑制 IκBα 的降解和阻断线粒体损伤来减轻 MSU 晶体诱导的炎症。
Arthritis Res Ther. 2019 Aug 27;21(1):193. doi: 10.1186/s13075-019-1974-z.
10
Study on the anti-gout activity of chlorogenic acid: improvement on hyperuricemia and gouty inflammation.研究绿原酸的抗痛风活性:改善高尿酸血症和痛风炎症。
Am J Chin Med. 2014;42(6):1471-83. doi: 10.1142/S0192415X1450092X.

引用本文的文献

1
Transcriptomic, phenotypic and physiological analyses identify candidate regulators of Dendrobium stigma maturation and pollen-stigma interaction.转录组学、表型和生理学分析确定了石斛柱头成熟和花粉-柱头相互作用的候选调节因子。
BMC Plant Biol. 2025 Aug 18;25(1):1087. doi: 10.1186/s12870-025-07011-w.
2
Anti-inflammatory Properties of Tongfeng Li'an Granules in an Acute Gouty Arthritis Rat Model.痛风立安颗粒在急性痛风性关节炎大鼠模型中的抗炎特性
ACS Omega. 2024 Jul 31;9(32):34303-34313. doi: 10.1021/acsomega.4c00056. eCollection 2024 Aug 13.
3
The Whole Mitochondrial Genome Sequence of Rolfe, an Endangered Orchid Species in China, Reveals a Complex Multi-Chromosome Structure.

本文引用的文献

1
Extract Alleviates Monosodium Urate-Induced Acute Gouty Arthritis in Rats by Inhibiting Uric Acid and Inflammation.提取物通过抑制尿酸和炎症减轻大鼠尿酸钠诱导的急性痛风性关节炎。
Evid Based Complement Alternat Med. 2020 Apr 21;2020:3095624. doi: 10.1155/2020/3095624. eCollection 2020.
2
MiR-146a alleviates inflammation of acute gouty arthritis rats through TLR4/MyD88 signal transduction pathway.miR-146a 通过 TLR4/MyD88 信号转导通路缓解急性痛风性关节炎大鼠的炎症。
Eur Rev Med Pharmacol Sci. 2019 Nov;23(21):9230-9237. doi: 10.26355/eurrev_201911_19415.
3
Phenolic Constituents with Antioxidative, Tyrosinase Inhibitory and Anti-aging Activities from Dendrobium loddigesii Rolfe.
罗弗闭唇兰(Rolfe)全线粒体基因组序列揭示了一种复杂的多染色体结构,罗弗闭唇兰是中国的一种濒危兰花物种。
Genes (Basel). 2024 Jun 25;15(7):834. doi: 10.3390/genes15070834.
4
Research Methods and New Advances in Drug-Drug Interactions Mediated by Renal Transporters.药物-药物相互作用的研究方法及肾脏转运体介导的新进展。
Molecules. 2023 Jul 6;28(13):5252. doi: 10.3390/molecules28135252.
5
Drug Transporters in the Kidney: Perspectives on Species Differences, Disease Status, and Molecular Docking.肾脏中的药物转运体:物种差异、疾病状态及分子对接的研究视角
Front Pharmacol. 2021 Nov 29;12:746208. doi: 10.3389/fphar.2021.746208. eCollection 2021.
6
Hypouricemic Effects of L. and on Hyperuricemia-Induced HepG2 Cells, Renal Cells, and Mice.L. 对高尿酸血症诱导的 HepG2 细胞、肾细胞和小鼠的降尿酸作用。 (你提供的原文中“L. and ”表述不完整,这里是按照大致意思翻译的,完整准确的翻译需你补充完整原文信息。)
Plants (Basel). 2021 Aug 13;10(8):1668. doi: 10.3390/plants10081668.
7
MicroRNAs Involved in the Therapeutic Functions of Noni ( L.) Fruit Juice in the Treatment of Acute Gouty Arthritis in Mice Induced with Monosodium Urate.参与诺丽果汁治疗尿酸钠诱导的小鼠急性痛风性关节炎的治疗功能的微小RNA
Foods. 2021 Jul 15;10(7):1638. doi: 10.3390/foods10071638.
来自罗氏石斛的具有抗氧化、酪氨酸酶抑制和抗衰老活性的酚类成分
Nat Prod Bioprospect. 2019 Oct;9(5):329-336. doi: 10.1007/s13659-019-00219-y. Epub 2019 Oct 19.
4
Benzbromarone in the treatment of gout.苯溴马隆治疗痛风。
Adv Rheumatol. 2019 Aug 7;59(1):37. doi: 10.1186/s42358-019-0080-x.
5
Protective effects of Rhizoma smilacis glabrae extracts on potassium oxonate- and monosodium urate-induced hyperuricemia and gout in mice.菝葜提取物对氧嗪酸钾和尿酸单钠诱导的小鼠高尿酸血症和痛风的保护作用。
Phytomedicine. 2019 Jun;59:152772. doi: 10.1016/j.phymed.2018.11.032. Epub 2018 Nov 24.
6
Modified Chuanhu anti-gout mixture, a traditional Chinese medicine, protects against potassium oxonate-induced hyperuricemia and renal dysfunction in mice.改良川芎抗痛风合剂,一种中药,可预防氧嗪酸钾诱导的小鼠高尿酸血症和肾功能障碍。
J Int Med Res. 2019 May;47(5):1927-1935. doi: 10.1177/0300060519831182. Epub 2019 Mar 5.
7
Jia-Wei-Si-Miao-Wan alleviates acute gouty arthritis by targeting NLRP3 inflammasome.加味四妙丸通过靶向 NLRP3 炎性小体缓解急性痛风性关节炎。
J Biol Regul Homeost Agents. 2019;33(1):63-71.
8
Curcumin ameliorates monosodium urate-induced gouty arthritis through Nod-like receptor 3 inflammasome mediation via inhibiting nuclear factor-kappa B signaling.姜黄素通过抑制核因子-κB 信号通路介导 Nod 样受体 3 炎性小体减轻尿酸单钠诱导的痛风性关节炎。
J Cell Biochem. 2019 Apr;120(4):6718-6728. doi: 10.1002/jcb.27969. Epub 2018 Dec 28.
9
SGLT2 inhibition and renal urate excretion: role of luminal glucose, GLUT9, and URAT1.SGLT2 抑制和肾脏尿酸排泄:管腔葡萄糖、GLUT9 和 URAT1 的作用。
Am J Physiol Renal Physiol. 2019 Jan 1;316(1):F173-F185. doi: 10.1152/ajprenal.00462.2018. Epub 2018 Nov 14.
10
Physiology of Hyperuricemia and Urate-Lowering Treatments.高尿酸血症的生理学及降尿酸治疗
Front Med (Lausanne). 2018 May 31;5:160. doi: 10.3389/fmed.2018.00160. eCollection 2018.