Institute of Research and Development, Duy Tan University, Da Nang, 550000, Vietnam.
Faculty of Electrical - Electronic Engineering, Duy Tan University, Da Nang, 550000, Vietnam.
Sci Rep. 2020 Oct 20;10(1):17793. doi: 10.1038/s41598-020-74858-4.
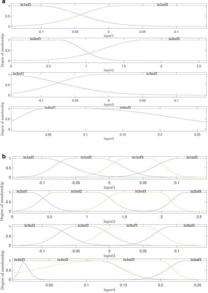
In the current study, Artificial Intelligence (AI) approach was used for the learning of a physical system. We applied four inputs and one output in the learning process of AI. In the learning process, the inputs are space locations of a BCR (bubble column reactor), which are x, y, and z coordinate as well as the amount of gas fraction in BCR. The liquid velocity is also considered as output. A variety of functions were used in learning, such as gbellmf and gaussmf functions, to examine which functions can give the best learning. At the end of the study, all of the results were compared to CFD (computational fluid dynamics). A three-dimensional (3D) BCR was used in this research, and we studied simulation by CFD as well as AI. The data from CFD in a 3D BCR was studied in the AI domain. In AI, we tuned for various parameters to achieve the best intelligence in the system. For instance, different inputs, different membership functions, different numbers of membership functions were used in the learning process. Moreover, the meshless prediction was used, meaning that some data in the BCR have not participated in the learning, and they were predicted in the prediction process, which gives us a special capability to compare the results with the CFD outcomes. The findings showed us that AI can predict the CFD results, and a great agreement was achieved between CFD computing nodes and AI elements. This novel methodology can suggest a meshless and multifunctional AI model to simulate the turbulence flow in the BCR. For further evaluation, the ANFIS method is compared with ACOFIS and PSOFIS methods with regards to model's accuracy. The results show that ANFIS method contains higher accuracy and prediction capability compared with ACOFIS and PSOFIS methods.
在当前的研究中,我们使用人工智能(AI)方法来学习物理系统。我们在 AI 的学习过程中使用了四个输入和一个输出。在学习过程中,输入是 BCR(鼓泡塔反应器)的空间位置,包括 x、y 和 z 坐标以及 BCR 中的气体分数。液体速度也被视为输出。在学习过程中使用了各种函数,例如 gbellmf 和 gaussmf 函数,以检查哪种函数可以提供最佳的学习效果。在研究结束时,将所有结果与 CFD(计算流体动力学)进行了比较。这项研究使用了一个三维(3D)BCR,我们同时研究了 CFD 和 AI 的模拟。在 AI 领域中研究了来自 3D BCR 的 CFD 数据。在 AI 中,我们调整了各种参数,以在系统中实现最佳智能。例如,在学习过程中使用了不同的输入、不同的隶属函数、不同数量的隶属函数。此外,还使用了无网格预测,这意味着 BCR 中的一些数据没有参与学习,而是在预测过程中进行了预测,这使我们能够将结果与 CFD 结果进行特殊比较。研究结果表明,AI 可以预测 CFD 结果,并且 CFD 计算节点和 AI 元素之间达成了很好的一致性。这种新方法可以提出一种无网格和多功能的 AI 模型来模拟 BCR 中的湍流流动。为了进一步评估,将 ANFIS 方法与 ACOFIS 和 PSOFIS 方法进行了比较,以评估模型的准确性。结果表明,与 ACOFIS 和 PSOFIS 方法相比,ANFIS 方法具有更高的准确性和预测能力。