Suppr超能文献

海洋来源的Chromomycins 的抗菌活性。

Antibacterial Activity of Chromomycins from a Marine-Derived .

机构信息

Department of Agricultural Biotechnology, College of Agriculture and Life Sciences, Seoul National University, Seoul 08826, Korea.

Natural Products Research Institute, College of Pharmacy, Seoul National University, Seoul 08826, Korea.

出版信息

Mar Drugs. 2020 Oct 21;18(10):522. doi: 10.3390/md18100522.

Abstract

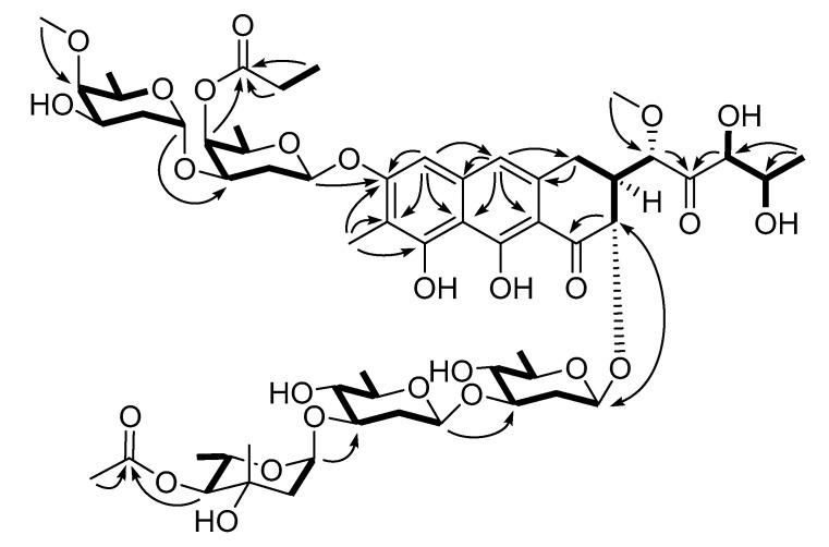
A marine-derived actinomycete ( sp. MBTI36) exhibiting antibacterial activities was investigated in the present study. The strain was identified using genetic techniques. The 16S rDNA sequence of the isolate indicated that it was most closely related to . Furthermore, a new chromomycin A (), along with chromomycin Ap (), chromomycin A (), and chromomycin A (), were isolated from the ethyl acetate extract. Their structures were determined using extensive spectroscopic methods including 1D and 2D NMR, and HRMS, as well as comparisons with previously reported data. Compounds - showed potent antibacterial activities against Gram-positive bacteria including methicillin-resistant (MRSA). During a passage experiment, minimum inhibitory concentration (MIC) values for compounds - showed no more than a 4-fold increase from the starting MIC value, indicating that no resistance was detected over the 21 passages.

摘要

本研究对一株具有抗菌活性的海洋来源放线菌(MBTI36)进行了研究。该菌株通过遗传技术进行了鉴定。分离株的 16S rDNA 序列表明,它与 最为密切相关。此外,从乙酸乙酯提取物中分离出了新型色霉素 A(),以及色霉素 Ap()、色霉素 A()和色霉素 A()。通过包括 1D 和 2D NMR 以及 HRMS 在内的广泛光谱方法以及与先前报道的数据进行比较,确定了它们的结构。化合物 - 对包括耐甲氧西林金黄色葡萄球菌(MRSA)在内的革兰氏阳性菌具有很强的抗菌活性。在传代实验中,化合物 - 的最小抑菌浓度(MIC)值与起始 MIC 值相比没有超过 4 倍的增加,表明在 21 次传代中没有检测到耐药性。

https://cdn.ncbi.nlm.nih.gov/pmc/blobs/0e80/7588889/0b62cf49ff35/marinedrugs-18-00522-g001.jpg

文献AI研究员

20分钟写一篇综述,助力文献阅读效率提升50倍。

立即体验

用中文搜PubMed

大模型驱动的PubMed中文搜索引擎

马上搜索

文档翻译

学术文献翻译模型,支持多种主流文档格式。

立即体验