Suppr超能文献

来自凉爽和温暖生境的七个物种种子萌发的热需求和水时需求比较

Comparison of Thermal and Hydrotime Requirements for Seed Germination of Seven Species From Cool and Warm Habitats.

作者信息

Zhang Rui, Luo Kai, Chen Dali, Baskin Jerry, Baskin Carol, Wang Yanrong, Hu Xiaowen

机构信息

College of Tropical Crops, Hainan University, Haikou, China.

State Key Laboratory of Grassland Agro-ecosystems, College of Pastoral Agriculture Science and Technology, Lanzhou University, Lanzhou, China.

出版信息

Front Plant Sci. 2020 Sep 30;11:560714. doi: 10.3389/fpls.2020.560714. eCollection 2020.

Abstract

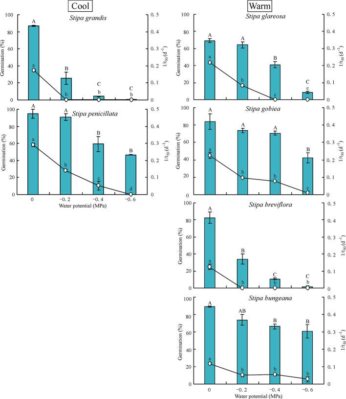
Temperature and water potential are two important environmental factors influencing germination and subsequent seedling establishment. Seed germination requirements vary with species and with the environment in which the seeds are produced. species dominate large areas of the Eurasian zonal vegetation, but comparisons of germination requirements between species from different habitats is limited. We investigated the effects of temperature and water potential on seed germination of , , and from habitats with low temperatures and relatively abundant rainfall (cool habitats) and , , , and from habitats with relatively high temperatures and low amount of rainfall (warm habitats). Seeds of species from cool habitats had a higher base ( ), optimal ( ), and maximum ( ) temperature than those of species from warm habitats, except for the base temperature of . Response of six tested species to water potential differed among species but not between habitats. Median water potential for germination was lowest for , , and . There was a negative correlation between hydrotime constant ( ) and base water potential for 50% of the seeds of all species to germinate ( ). Germination time of seven species in response to temperature and water was well predicted by thermal time and hydrotime models. Results of the present study on germination of these seven species of may provide useful suggestions for grassland restoration in different habitats.

摘要

温度和水势是影响种子萌发及后续幼苗定植的两个重要环境因素。种子的萌发需求因物种以及种子产生的环境而异。[某些]物种在欧亚大陆地带性植被的大片区域占主导地位,但来自不同栖息地的[这些]物种之间萌发需求的比较却很有限。我们研究了温度和水势对来自低温且降雨相对充沛栖息地(凉爽栖息地)的[某些物种]以及来自温度相对较高且降雨量少的栖息地(温暖栖息地)的[某些物种]种子萌发的影响。除了[某一物种]的基础温度外,来自凉爽栖息地的物种种子的基础([具体参数1])、最适([具体参数2])和最高([具体参数3])温度均高于来自温暖栖息地的物种种子。六个受试[某类]物种对水势的响应因物种而异,但在不同栖息地之间没有差异。[某些物种]种子萌发的中位水势最低。所有物种50%种子萌发的水时常数([具体参数4])与基础水势之间存在负相关。热时间模型和水时间模型能很好地预测七个[某类]物种对温度和水分响应的萌发时间。本研究关于这七种[某类]物种萌发的结果可能为不同栖息地的草地恢复提供有用的建议。

https://cdn.ncbi.nlm.nih.gov/pmc/blobs/b7a8/7554346/d079701a5252/fpls-11-560714-g001.jpg

文献检索

告别复杂PubMed语法,用中文像聊天一样搜索,搜遍4000万医学文献。AI智能推荐,让科研检索更轻松。

立即免费搜索

文件翻译

保留排版,准确专业,支持PDF/Word/PPT等文件格式,支持 12+语言互译。

免费翻译文档

深度研究

AI帮你快速写综述,25分钟生成高质量综述,智能提取关键信息,辅助科研写作。

立即免费体验