Suppr超能文献

对胃肠道线虫敏感和抗性的克里欧拉拉纳达绵羊的围产期现象

Peripartum Phenomenon in Crioula Lanada Sheep Susceptible and Resistant to Gastrointestinal Nematodes.

作者信息

Pereira Fabiellen Cristina, Longo Cibele, Castilho Caliê, Leme Denise Pereira, Seugling Jaqueline, Bassetto César Cristiano, Amarante Alessandro F T, Bricarello Patrizia Ana

机构信息

Department of Animal Science and Rural Development, Agricultural Sciences Center, Federal University of Santa Catarina, Florianópolis, Brazil.

Pro-Rectory Graduate Studies and Research, University of Oeste Paulista, São Paulo, Brazil.

出版信息

Front Vet Sci. 2020 Sep 8;7:598. doi: 10.3389/fvets.2020.00598. eCollection 2020.

Abstract

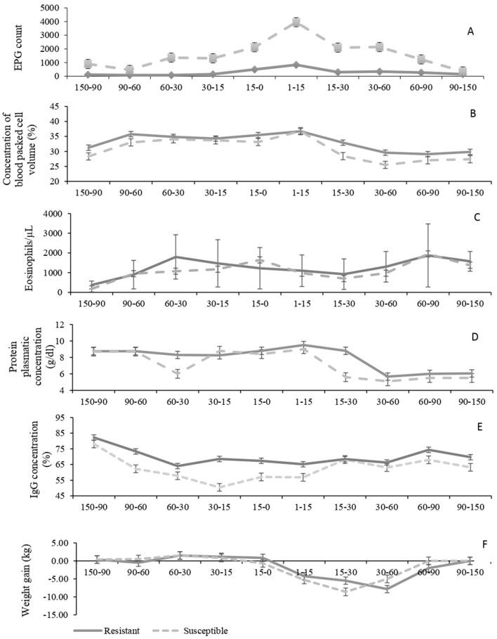
This study aimed at evaluating parasitological and blood variables in native breed Crioula Lanada sheep belonging to the same herd, to identify and compare susceptible or resistant individuals to gastrointestinal nematodes during gestation and lactation phases. For this purpose, 18 Crioula sheep were used within 2 years of evaluation, in which blood and feces samples and weight of the animals were taken from their 4th month of gestation until the weaning of their lambs, in the 4th month postpartum. Feces samples were used for counting eggs per gram of feces (EPG) and, thus, to identify 12 resistant ewes (EPG < 1,000) and 6 susceptible (EPG > 1,000) to gastrointestinal nematodes. The identification of infective larvae was also performed. Blood was used for analysis of packed cell volume (PCV), eosinophil count, total plasma protein, and immunoglobulin G level against infective larvae. The Kruskal-Wallis non-parametric comparison test was used to evaluate the differences between days of parturition and linear mixed-effects model using package lme4 in R to evaluate the groups. The main parasite species observed in the feces samples were , and in similar proportions in both groups. Susceptible ewes presented peaks of EPG at the beginning of lactation and lower PCV values throughout the study. No difference between groups was observed concerning other blood variables or body weight, but some changes were observed along with the gestation and lactation phases within each group. The physiological response of sheep to nematode infection is a useful tool to identify the most susceptible individuals within the same breed and herd and to select the most genetically resistant individuals.

摘要

本研究旨在评估同一畜群中本地品种克里奥拉·拉纳达绵羊的寄生虫学和血液变量,以识别和比较在妊娠和泌乳阶段对胃肠道线虫易感或抗性的个体。为此,在2年的评估期内使用了18只克里奥拉绵羊,从妊娠第4个月到产后第4个月羔羊断奶期间采集动物的血液、粪便样本及体重。粪便样本用于每克粪便虫卵计数(EPG),从而识别出12只对胃肠道线虫抗性的母羊(EPG<1000)和6只易感母羊(EPG>1000)。还进行了感染性幼虫的鉴定。血液用于分析红细胞压积(PCV)、嗜酸性粒细胞计数、总血浆蛋白以及针对感染性幼虫的免疫球蛋白G水平。使用Kruskal-Wallis非参数比较检验评估分娩天数之间的差异,并使用R语言中的lme4包通过线性混合效应模型评估各组。在粪便样本中观察到的主要寄生虫种类在两组中的比例相似。易感母羊在泌乳开始时出现EPG峰值,且在整个研究过程中PCV值较低。在其他血液变量或体重方面未观察到组间差异,但在每组内随着妊娠和泌乳阶段观察到了一些变化。绵羊对线虫感染的生理反应是识别同一品种和畜群中最易感个体以及选择最具遗传抗性个体的有用工具。

https://cdn.ncbi.nlm.nih.gov/pmc/blobs/6cc6/7505945/7264d3e27355/fvets-07-00598-g0001.jpg

相似文献

1
Peripartum Phenomenon in Crioula Lanada Sheep Susceptible and Resistant to Gastrointestinal Nematodes.
Front Vet Sci. 2020 Sep 8;7:598. doi: 10.3389/fvets.2020.00598. eCollection 2020.
2
Influence of the physiological stage of Blackbelly sheep on immunological behaviour against gastrointestinal nematodes.
Exp Parasitol. 2018 Oct;193:20-26. doi: 10.1016/j.exppara.2018.08.003. Epub 2018 Aug 25.
4
Variation in phenotypic resistance to gastrointestinal nematodes in hair sheep in the humid tropics of Mexico.
Parasitol Res. 2019 Feb;118(2):567-573. doi: 10.1007/s00436-018-06201-w. Epub 2019 Jan 9.
5
Resistance of Santa Ines and crossbred ewes to naturally acquired gastrointestinal nematode infections.
Vet Parasitol. 2009 Nov 12;165(3-4):273-80. doi: 10.1016/j.vetpar.2009.07.009. Epub 2009 Jul 15.
8
Evaluation of different models to segregate Pelibuey and Katahdin ewes into resistant or susceptible to gastrointestinal nematodes.
Trop Anim Health Prod. 2016 Dec;48(8):1517-1524. doi: 10.1007/s11250-016-1122-6. Epub 2016 Aug 15.
10
Role of the bovine immune system and genome in resistance to gastrointestinal nematodes.
Vet Parasitol. 2001 Jul 12;98(1-3):51-64. doi: 10.1016/s0304-4017(01)00423-x.

引用本文的文献

本文引用的文献

2
Multiple anthelmintic resistance in Southern Brazil sheep flocks.
Rev Bras Parasitol Vet. 2017 Oct-Dec;26(4):427-432. doi: 10.1590/S1984-29612017058. Epub 2017 Oct 23.
5
Selection for anthelmintic resistant Teladorsagia circumcincta in pre-weaned lambs by treating their dams with long-acting moxidectin injection.
Int J Parasitol Drugs Drug Resist. 2015 Dec;5(3):209-14. doi: 10.1016/j.ijpddr.2015.11.001. Epub 2015 Nov 10.
6
The host immune response to gastrointestinal nematode infection in sheep.
Parasite Immunol. 2015 Dec;37(12):605-13. doi: 10.1111/pim.12290.
8
Sugarcane and mulberry silage supplementation of sheep during the peripartum period.
Trop Anim Health Prod. 2015 Apr;47(4):765-72. doi: 10.1007/s11250-015-0791-x. Epub 2015 Mar 12.
9
St. Croix sheep produce a rapid and greater cellular immune response contributing to reduced establishment of Haemonchus contortus.
Vet Parasitol. 2015 Mar 15;208(3-4):204-10. doi: 10.1016/j.vetpar.2015.01.019. Epub 2015 Feb 4.
10
Immune response to Haemonchus contortus and Haemonchus placei in sheep and its role on parasite specificity.
Vet Parasitol. 2014 Jun 16;203(1-2):127-38. doi: 10.1016/j.vetpar.2014.02.048. Epub 2014 Mar 2.

文献AI研究员

20分钟写一篇综述,助力文献阅读效率提升50倍。

立即体验

用中文搜PubMed

大模型驱动的PubMed中文搜索引擎

马上搜索

文档翻译

学术文献翻译模型,支持多种主流文档格式。

立即体验