• 文献检索
  • 文档翻译
  • 深度研究
  • 学术资讯
  • Suppr Zotero 插件Zotero 插件
  • 邀请有礼
  • 套餐&价格
  • 历史记录
应用&插件
Suppr Zotero 插件Zotero 插件浏览器插件Mac 客户端Windows 客户端微信小程序
定价
高级版会员购买积分包购买API积分包
服务
文献检索文档翻译深度研究API 文档MCP 服务
关于我们
关于 Suppr公司介绍联系我们用户协议隐私条款
关注我们

Suppr 超能文献

核心技术专利:CN118964589B侵权必究
粤ICP备2023148730 号-1Suppr @ 2026

文献检索

告别复杂PubMed语法,用中文像聊天一样搜索,搜遍4000万医学文献。AI智能推荐,让科研检索更轻松。

立即免费搜索

文件翻译

保留排版,准确专业,支持PDF/Word/PPT等文件格式,支持 12+语言互译。

免费翻译文档

深度研究

AI帮你快速写综述,25分钟生成高质量综述,智能提取关键信息,辅助科研写作。

立即免费体验

评估大手术后血管内液体状态的颈总动脉直径与中心静脉压之间的关系:一项观察性研究。

The Relation Between Common Carotid Artery Diameter and Central Venous Pressure for Assessment of Intravascular Fluid Status after Major Surgeries; an Observational Study.

作者信息

Kasem Rashwan Samaa A, Bassiouny Ashraf Abd Elmawgood, Badawy Ahmed A, Mohammed Ahmed Rabea

机构信息

Faculty of Medicine, Beni-Suef University, Beni-Suef, Egypt.

Faculty of Medicine-Cairo University, Cairo, Egypt.

出版信息

Anesth Pain Med. 2020 Aug 12;10(4):e105138. doi: 10.5812/aapm.105138. eCollection 2020 Aug.

DOI:10.5812/aapm.105138
PMID:33134150
原文链接:https://pmc.ncbi.nlm.nih.gov/articles/PMC7539051/
Abstract

OBJECTIVES

The current study aimed to find the relation between the changes in the common carotid artery (CCA) diameter and the central venous pressure (CVP) in response to a fluid challenge in spontaneously breathing adult patients.

METHODS

This study included 65 adult patients aged 20 - 60 years who were admitted to the surgical ICU. The CCA diameter and CVP were measured before and after fluid challenge, and the percentage of increase in the CCA diameter and CVP were calculated. The correlation was assessed between changes in the CVP and CCA diameter.

RESULTS

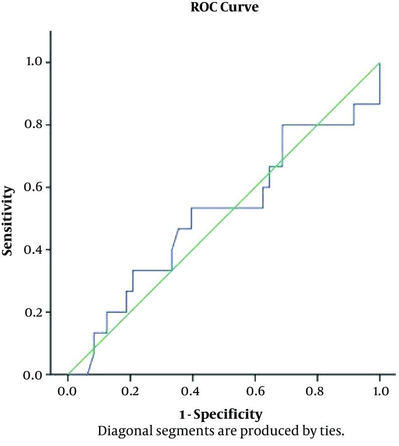
The CCA diameter before fluid administration had a significant strong positive correlation to the CVP (r = 0.8, P value < 0.001); the increase in the CCA diameter after fluid administration had a significant moderate positive correlation with the increase in the CVP (r = 0.4, P value < 0.001). The percentage of increase in CCA diameters was positively correlated to the percentage of increase in CVP (r = 0.589, P value = 0.001) following fluid administration. However, the Receiver Operating Characteristic (ROC) analysis was an invalid test (area under curve 0.513, P value = 0.885).

CONCLUSIONS

After major surgeries, the change in the CCA diameter was positively correlated with the change in the CVP values in response to fluid administration in the spontaneously breathing adult patients, but the cut-off limit cannot be reached.

摘要

目的

本研究旨在探寻自主呼吸的成年患者在接受液体冲击时,颈总动脉(CCA)直径变化与中心静脉压(CVP)之间的关系。

方法

本研究纳入了65名年龄在20至60岁之间入住外科重症监护病房的成年患者。在液体冲击前后测量CCA直径和CVP,并计算CCA直径和CVP的增加百分比。评估CVP变化与CCA直径变化之间的相关性。

结果

液体输注前CCA直径与CVP呈显著强正相关(r = 0.8,P值<0.001);液体输注后CCA直径的增加与CVP的增加呈显著中度正相关(r = 0.4,P值<0.001)。液体输注后,CCA直径增加百分比与CVP增加百分比呈正相关(r = 0.589,P值 = 0.001)。然而,受试者工作特征(ROC)分析是无效检验(曲线下面积0.513,P值 = 0.885)。

结论

在大手术后,自主呼吸的成年患者在接受液体输注时,CCA直径变化与CVP值变化呈正相关,但无法达到截断值。

https://cdn.ncbi.nlm.nih.gov/pmc/blobs/1b2a/7539051/eeaee7663e78/aapm-10-4-105138-i005.jpg
https://cdn.ncbi.nlm.nih.gov/pmc/blobs/1b2a/7539051/c85bd6601ce6/aapm-10-4-105138-i001.jpg
https://cdn.ncbi.nlm.nih.gov/pmc/blobs/1b2a/7539051/0495c5a2e622/aapm-10-4-105138-i002.jpg
https://cdn.ncbi.nlm.nih.gov/pmc/blobs/1b2a/7539051/737739819fbc/aapm-10-4-105138-i003.jpg
https://cdn.ncbi.nlm.nih.gov/pmc/blobs/1b2a/7539051/5bc1eeaf5dcf/aapm-10-4-105138-i004.jpg
https://cdn.ncbi.nlm.nih.gov/pmc/blobs/1b2a/7539051/eeaee7663e78/aapm-10-4-105138-i005.jpg
https://cdn.ncbi.nlm.nih.gov/pmc/blobs/1b2a/7539051/c85bd6601ce6/aapm-10-4-105138-i001.jpg
https://cdn.ncbi.nlm.nih.gov/pmc/blobs/1b2a/7539051/0495c5a2e622/aapm-10-4-105138-i002.jpg
https://cdn.ncbi.nlm.nih.gov/pmc/blobs/1b2a/7539051/737739819fbc/aapm-10-4-105138-i003.jpg
https://cdn.ncbi.nlm.nih.gov/pmc/blobs/1b2a/7539051/5bc1eeaf5dcf/aapm-10-4-105138-i004.jpg
https://cdn.ncbi.nlm.nih.gov/pmc/blobs/1b2a/7539051/eeaee7663e78/aapm-10-4-105138-i005.jpg

相似文献

1
The Relation Between Common Carotid Artery Diameter and Central Venous Pressure for Assessment of Intravascular Fluid Status after Major Surgeries; an Observational Study.评估大手术后血管内液体状态的颈总动脉直径与中心静脉压之间的关系:一项观察性研究。
Anesth Pain Med. 2020 Aug 12;10(4):e105138. doi: 10.5812/aapm.105138. eCollection 2020 Aug.
2
Measurement of Internal Jugular Vein and Common Carotid Artery Diameter Ratio by Ultrasound to Estimate Central Venous Pressure.超声测量颈内静脉与颈总动脉直径比以评估中心静脉压
Cureus. 2018 Mar 5;10(3):e2277. doi: 10.7759/cureus.2277.
3
Correlation of internal jugular vein, common carotid artery, femoral artery and femoral vein diameters with central venous pressure.颈内静脉、颈总动脉、股动脉和股静脉直径与中心静脉压的相关性。
Medicine (Baltimore). 2022 Oct 28;101(43):e31207. doi: 10.1097/MD.0000000000031207.
4
Non-invasive Assessment of Intravascular Volume Status for Postoperative Patients: The Correlation Between the Internal Jugular Vein/Common Carotid Artery Cross-sectional Area Ratio and the Inferior Vena Cava Diameter.术后患者血管内容量状态的无创评估:颈内静脉/颈总动脉横截面积比与下腔静脉直径之间的相关性
Anesth Pain Med. 2021 Jul 12;11(3):e114597. doi: 10.5812/aapm.114597. eCollection 2021 Jun.
5
Measuring the ratio of femoral vein diameter to femoral artery diameter by ultrasound to estimate volume status.超声测量股静脉直径与股动脉直径之比以估计容量状态。
BMC Cardiovasc Disord. 2021 Oct 20;21(1):506. doi: 10.1186/s12872-021-02309-7.
6
Internal jugular vein/common carotid artery cross-sectional area ratio and central venous pressure.颈内静脉/颈总动脉横截面积比值与中心静脉压
J Clin Ultrasound. 2016 Jun;44(5):312-8. doi: 10.1002/jcu.22339. Epub 2016 Mar 30.
7
[Variability of peripheral arterial peak velocity predicts fluid responsiveness in patients with septic shock].外周动脉峰值速度的变异性可预测感染性休克患者的液体反应性
Zhonghua Wei Zhong Bing Ji Jiu Yi Xue. 2018 Mar;30(3):224-229. doi: 10.3760/cma.j.issn.2095-4352.2018.03.007.
8
Common carotid artery diameter responds to intravenous volume expansion: an ultrasound observation.颈总动脉直径对静脉容量扩张有反应:一项超声观察
Springerplus. 2016 Jun 23;5(1):853. doi: 10.1186/s40064-016-2595-5. eCollection 2016.
9
Inferior vena cava diameter and collapsibility index: a practical non-invasive evaluation of intravascular fluid volume in critically-ill patients.下腔静脉直径和塌陷指数:对危重症患者血管内容量的一种实用无创评估方法
J Med Assoc Thai. 2013 Mar;96 Suppl 3:S14-22.
10
Inferior vena cava diameter as a guide in hypotensive patients for appropriate saline therapy: An observational study.下腔静脉直径作为低血压患者适当盐水治疗的指导:一项观察性研究。
Int J Crit Illn Inj Sci. 2018 Jul-Sep;8(3):160-164. doi: 10.4103/IJCIIS.IJCIIS_27_18.

引用本文的文献

1
Comparison of the Effect of Heparinized Normal Saline Solution Versus Saline Solutions in Arterial and Central Venous Catheters on Complete Blood Count After Cardiac Surgery.心脏手术后肝素化生理盐水溶液与普通生理盐水溶液对动脉及中心静脉导管全血细胞计数影响的比较
Anesth Pain Med. 2022 Aug 23;12(4):e113345. doi: 10.5812/aapm-113345. eCollection 2022 Aug.
2
Lung Ultrasound Assisted Comparison of Volume Effects of Fluid Replacement Regimens in Pediatric Patients Undergoing Penile Hypospadias Repair: A Randomized Controlled Trial.小儿阴茎尿道下裂修复术中液体补充方案容量效应的肺超声辅助比较:一项随机对照试验
Anesth Pain Med. 2021 Jul 3;11(3):e115152. doi: 10.5812/aapm.115152. eCollection 2021 Jun.
3

本文引用的文献

1
Measurement of Internal Jugular Vein and Common Carotid Artery Diameter Ratio by Ultrasound to Estimate Central Venous Pressure.超声测量颈内静脉与颈总动脉直径比以评估中心静脉压
Cureus. 2018 Mar 5;10(3):e2277. doi: 10.7759/cureus.2277.
2
[Point-of-Care Sonography in Emergency and Intensive Care Medicine].[急诊与重症医学中的床旁超声检查]
Dtsch Med Wochenschr. 2018 Feb;143(3):161-164. doi: 10.1055/s-0043-115604. Epub 2018 Feb 6.
3
Correlation of IVC Diameter and Collapsibility Index With Central Venous Pressure in the Assessment of Intravascular Volume in Critically Ill Patients.
Non-invasive Assessment of Intravascular Volume Status for Postoperative Patients: The Correlation Between the Internal Jugular Vein/Common Carotid Artery Cross-sectional Area Ratio and the Inferior Vena Cava Diameter.
术后患者血管内容量状态的无创评估:颈内静脉/颈总动脉横截面积比与下腔静脉直径之间的相关性
Anesth Pain Med. 2021 Jul 12;11(3):e114597. doi: 10.5812/aapm.114597. eCollection 2021 Jun.
在危重症患者血管内容量评估中,下腔静脉直径和塌陷指数与中心静脉压的相关性
Cureus. 2017 Feb 12;9(2):e1025. doi: 10.7759/cureus.1025.
4
Common carotid artery diameter responds to intravenous volume expansion: an ultrasound observation.颈总动脉直径对静脉容量扩张有反应:一项超声观察
Springerplus. 2016 Jun 23;5(1):853. doi: 10.1186/s40064-016-2595-5. eCollection 2016.
5
Ultrasound as a tool for fluid status assessment in the trauma and critically ill patient.超声作为评估创伤和危重症患者液体状态的工具。
Int J Surg. 2016 Sep;33(Pt B):190-195. doi: 10.1016/j.ijsu.2015.09.063. Epub 2015 Sep 30.
6
Sonographic evaluation of intravascular volume status: Can internal jugular or femoral vein collapsibility be used in the absence of IVC visualization?超声评估血管内容量状态:在无法观察 IVC 的情况下,是否可以使用颈内静脉或股静脉塌陷来评估?
Ann Thorac Med. 2015 Jan-Mar;10(1):44-9. doi: 10.4103/1817-1737.146872.
7
Jugular vein distensibility predicts fluid responsiveness in septic patients.颈静脉扩张性可预测脓毒症患者的液体反应性。
Crit Care. 2014 Dec 5;18(6):647. doi: 10.1186/s13054-014-0647-1.
8
Endothelial function testing and cardiovascular disease: focus on peripheral arterial tonometry.内皮功能检测与心血管疾病:聚焦于外周动脉张力测定法
Vasc Health Risk Manag. 2014 Sep 26;10:577-84. doi: 10.2147/VHRM.S44471. eCollection 2014.
9
Ultrasonographic measurement of the respiratory variation in the inferior vena cava diameter is predictive of fluid responsiveness in critically ill patients: systematic review and meta-analysis.超声测量下腔静脉直径的呼吸变异可预测危重症患者的液体反应性:系统评价与荟萃分析
Ultrasound Med Biol. 2014 May;40(5):845-53. doi: 10.1016/j.ultrasmedbio.2013.12.010. Epub 2014 Feb 2.
10
Does bedside sonographic measurement of the inferior vena cava diameter correlate with central venous pressure in the assessment of intravascular volume in children?在评估儿童血管内容量时,床旁超声测量下腔静脉直径与中心静脉压是否相关?
Pediatr Emerg Care. 2013 Mar;29(3):337-41. doi: 10.1097/PEC.0b013e31828512a5.