Suppr超能文献

番茄核心重测序群体的表型和基因型变异与植物生长及果实品质性状的关系研究。

Exploration of a Resequenced Tomato Core Collection for Phenotypic and Genotypic Variation in Plant Growth and Fruit Quality Traits.

机构信息

Plant Breeding, Wageningen University & Research, P.O. Box 386, 6700 AJ Wageningen, The Netherlands.

Graduate School Experimental Plant Sciences, Wageningen University & Research, Droevendaalsesteeg 1, 6708 PB Wageningen, The Netherlands.

出版信息

Genes (Basel). 2020 Oct 29;11(11):1278. doi: 10.3390/genes11111278.

Abstract

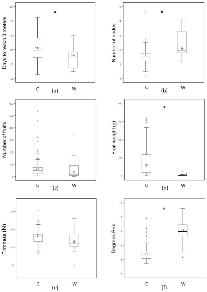
A tomato core collection consisting of 122 gene bank accessions, including landraces, old cultivars, and wild relatives, was explored for variation in several plant growth, yield and fruit quality traits. The resequenced accessions were also genotyped with respect to a number of mutations or variations in key genes known to underlie these traits. The yield-related traits fruit number and fruit weight were much higher in cultivated varieties when compared to wild accessions, while, in wild tomato accessions, Brix was higher than in cultivated varieties. Known mutations in fruit size and shape genes could well explain the fruit size variation, and fruit colour variation could be well explained by known mutations in key genes of the carotenoid and flavonoid pathway. The presence and phenotype of several plant architecture affecting mutations, such as (), ( (), and () were also confirmed. This study provides valuable phenotypic information on important plant growth- and quality-related traits in this collection. The allelic distribution of known genes that underlie these traits provides insight into the role and importance of these genes in tomato domestication and breeding. This resource can be used to support (precision) breeding strategies for tomato crop improvement.

摘要

一个由 122 个基因库访问序列组成的番茄核心收集品系,包括地方品种、老品种和野生近缘种,用于研究几个植物生长、产量和果实品质性状的变异。对重测序的访问序列还进行了与这些性状相关的一些关键基因的突变或变异有关的基因分型。与野生访问序列相比,栽培品种的果实数量和果实重量等与产量相关的性状要高得多,而在野生番茄访问序列中,Brix 比栽培品种高。果实大小和形状基因的已知突变可以很好地解释果实大小的变异,而果实颜色的变异可以很好地用类胡萝卜素和类黄酮途径关键基因的已知突变来解释。还证实了几个影响植物结构的突变的存在和表型,如 ()、()(())和 ()。这项研究为该收集品系中重要的植物生长和质量相关性状提供了有价值的表型信息。这些性状相关的已知基因的等位基因分布为这些基因在番茄驯化和育种中的作用和重要性提供了深入了解。该资源可用于支持番茄作物改良的(精准)育种策略。

https://cdn.ncbi.nlm.nih.gov/pmc/blobs/4de0/7692805/b24ba06c6ab4/genes-11-01278-g001.jpg

文献AI研究员

20分钟写一篇综述,助力文献阅读效率提升50倍。

立即体验

用中文搜PubMed

大模型驱动的PubMed中文搜索引擎

马上搜索

文档翻译

学术文献翻译模型,支持多种主流文档格式。

立即体验