Division of Epidemiology, Department of Public Health and Forensic Medicine, Tohoku University School of Medicine, Sendai, Miyagi, Japan.
Department of Nursing, Faculty of Nursing, Japanese Red Cross Akita College of Nursing, Akita, Japan.
BMJ Open. 2020 Nov 4;10(11):e037303. doi: 10.1136/bmjopen-2020-037303.
The aim of this study was to investigate the effect of a financial incentive on the number of daily walking steps among community-dwelling adults in Japan.
Two-arm, parallel-group randomised controlled trial.
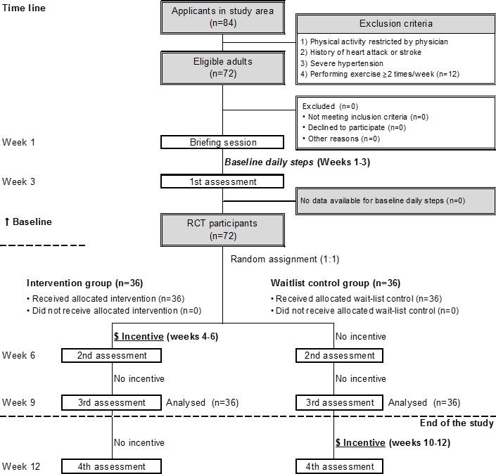
SETTING/PARTICIPANTS: We recruited physically inactive community-dwelling adults from Sendai city, Japan. Eligible participants were randomly allocated to an intervention or a wait list control group. Pedometers were used to assess the mean number of daily steps in three periods: baseline (weeks 1-3), intervention (weeks 4-6) and follow-up (weeks 7-9).
The intervention group was offered a financial incentive (shopping points) to meet the target number of increased daily steps in the intervention period.
The primary outcome was an increase in the mean number of daily steps in the intervention and follow-up periods compared with baseline.
Seventy-two participants (69.4% women; mean age, 61.2±16.2 years; mean number of daily steps at baseline, 6364±2804) were randomised to the intervention (n=36) and control groups (n=36). During the intervention period, the increase in mean daily steps was significantly higher in the intervention group (1650, 95% CI=1182 to 2119) than in the control group (514, 95% CI=136 to 891; p<0.001). However, the difference between groups was not significant at follow-up after the incentives were removed (p=0.311). In addition, compared with controls, a significantly higher proportion of participants in the intervention group showed an increase in mean daily steps of ≥1000 (69.4% vs 30.6%, respectively; OR=5.17, 95% CI=1.89 to 14.08). There were no adverse effects from the intervention.
The present results suggest that financial incentives are effective in promoting short-term increases in physical activity.
UMIN000033276.
本研究旨在探讨经济激励对日本社区居住成年人每日步数的影响。
双臂、平行组随机对照试验。
设置/参与者:我们从日本仙台市招募了身体不活跃的社区居住成年人。符合条件的参与者被随机分配到干预组或候补对照组。使用计步器评估三个时期的平均每日步数:基线期(第 1-3 周)、干预期(第 4-6 周)和随访期(第 7-9 周)。
干预组获得经济激励(购物积分),以在干预期达到增加每日步数的目标。
主要结局是与基线相比,干预期和随访期平均每日步数的增加。
72 名参与者(69.4%女性;平均年龄 61.2±16.2 岁;基线时平均每日步数 6364±2804)被随机分配至干预组(n=36)和对照组(n=36)。在干预期间,干预组平均每日步数的增加明显高于对照组(1650,95%置信区间=1182 至 2119)(p<0.001)。然而,在激励措施取消后的随访期间,两组之间的差异无统计学意义(p=0.311)。此外,与对照组相比,干预组中有更高比例的参与者平均每日步数增加≥1000,分别为 69.4%和 30.6%(分别;OR=5.17,95%置信区间=1.89 至 14.08)。干预没有不良影响。
本研究结果表明,经济激励措施可有效促进短期身体活动的增加。
UMIN000033276。