Center for Population Health Research, National Institute of Public Health, Cuernavaca, Mexico.
Research Unit, Spanish Society of Rheumatology, Madrid, Spain.
Public Health. 2020 Dec;189:66-72. doi: 10.1016/j.puhe.2020.09.014. Epub 2020 Sep 30.
This study aimed to evaluate the association of chronic diseases and indigenous ethnicity on the poor prognosis of outpatients with coronavirus disease 2019 (COVID-19) and hospitalised patients in Mexico.
The study design is an observational study of consecutive COVID-19 cases that were treated in Mexican healthcare units and hospitals between February 27 and April 27, 2020.
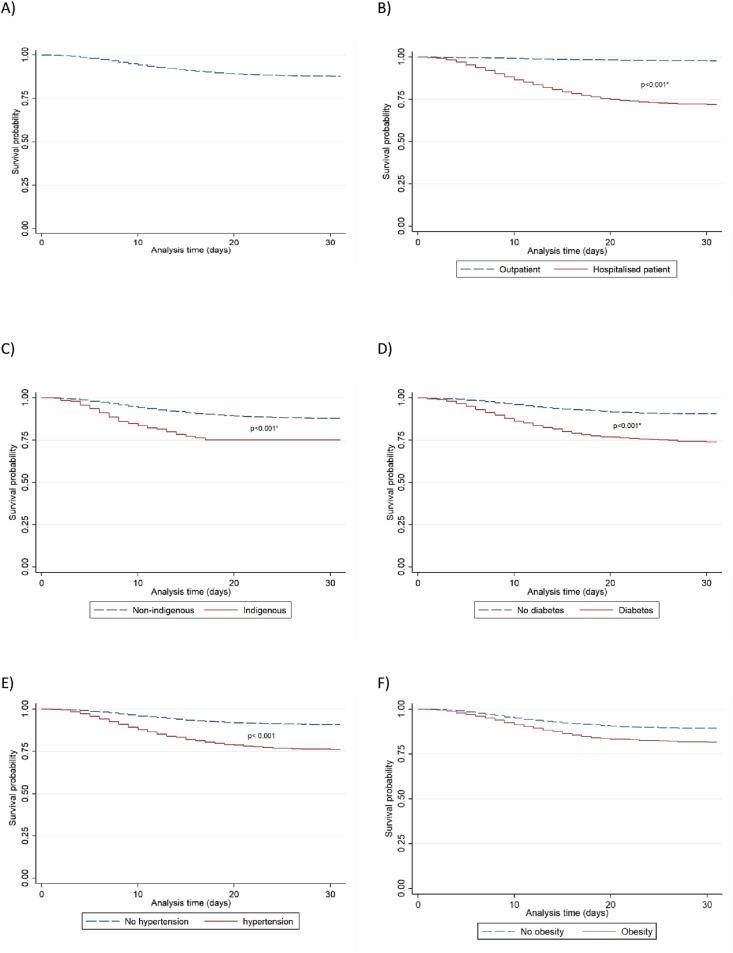
Epidemiological, clinical and sociodemographic data were analysed from outpatients and hospitalised patients. Cox regression models were used to analyse the risk of mortality after severe acute respiratory syndrome coronavirus 2 (SARS-CoV-2) infection.
In total, 15,529 patients with COVID-19 were characterised; 62.6% of patients were aged older than 40 years, 57.8% were men and 1.4% were of indigenous ethnicity. A high proportion had a history of diabetes (18.4%), hypertension (21.9%) and obesity (20.9%). Among hospitalised patients, 11.2% received health care in the intensive care unit. Advanced age, male sex, indigenous ethnicity and having a history of chronic diseases, such as hypertension, diabetes and obesity, were significantly associated with a high risk of death after SARS-CoV-2 infection. Diabetes and obesity were the comorbidities most highly associated with death through the models used in this study. Moreover, living in Mexico City and Mexico State (where there is easy access to medical services) and walking (rather than driving or getting public transport) were negatively associated with mortality after SARS-CoV-2 infection.
Diabetes, hypertension and obesity combined with older age, male sex and indigenous ethnicity increase the risk of death after SARS-CoV-2 infection in the Mexican population. It is recommended that the incidence of COVID-19 is monitored in indigenous communities, and access to health services is increased nationwide.
本研究旨在评估慢性病和土著民族与 2019 年冠状病毒病(COVID-19)门诊患者和墨西哥住院患者预后不良的关系。
这是一项对 2020 年 2 月 27 日至 4 月 27 日在墨西哥医疗机构和医院接受治疗的 COVID-19 连续病例进行的观察性研究。
分析门诊和住院患者的流行病学、临床和社会人口统计学数据。使用 Cox 回归模型分析严重急性呼吸综合征冠状病毒 2(SARS-CoV-2)感染后的死亡风险。
共对 15529 例 COVID-19 患者进行了特征描述;62.6%的患者年龄大于 40 岁,57.8%为男性,1.4%为土著民族。高比例的患者有糖尿病(18.4%)、高血压(21.9%)和肥胖(20.9%)病史。在住院患者中,11.2%在重症监护病房接受治疗。高龄、男性、土著民族以及患有高血压、糖尿病和肥胖等慢性病的患者,在 SARS-CoV-2 感染后死亡的风险显著增加。通过本研究中使用的模型,糖尿病和肥胖是与死亡相关性最高的合并症。此外,居住在墨西哥城和墨西哥州(那里可以方便地获得医疗服务)以及步行(而不是开车或乘坐公共交通工具)与 SARS-CoV-2 感染后的死亡率呈负相关。
在墨西哥人群中,糖尿病、高血压和肥胖症加上年龄较大、男性和土著民族会增加 SARS-CoV-2 感染后的死亡风险。建议在土著社区监测 COVID-19 的发病率,并在全国范围内增加获得卫生服务的机会。