Suppr超能文献

人类内源性逆转录病毒长末端重复序列甲基化、转录及在人类结肠癌中的蛋白质表达

Human Endogenous Retroviruses Long Terminal Repeat Methylation, Transcription, and Protein Expression in Human Colon Cancer.

作者信息

Dolci Maria, Favero Chiara, Toumi Wafa, Favi Evaldo, Tarantini Letizia, Signorini Lucia, Basile Giuseppe, Bollati Valentina, D'Alessandro Sarah, Bagnoli Pietro, Ferrante Pasquale, Delbue Serena

机构信息

Department of Biomedical, Surgical and Dental Sciences, University of Milan, Milan, Italy.

EPIGET-Epidemiology, Epigenetics and Toxicology Lab, Department of Clinical Sciences and Community Health, University of Milan, Milan, Italy.

出版信息

Front Oncol. 2020 Oct 27;10:569015. doi: 10.3389/fonc.2020.569015. eCollection 2020.

Abstract

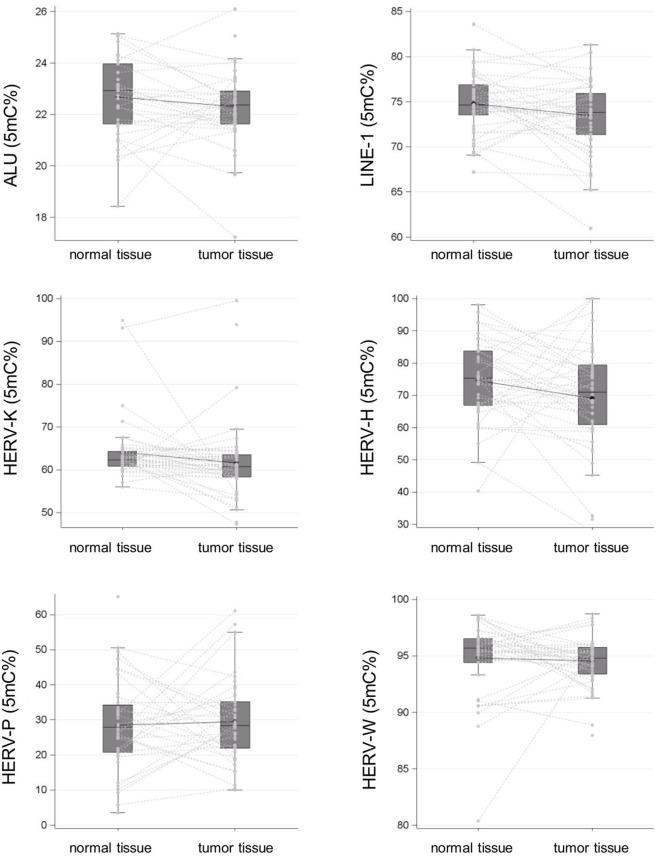
Colon cancer is the fourth most common malignancy in both incidence and mortality in developed countries. Infectious agents are among the risk factors for colon cancer. Variations in human endogenous retrovirus (HERV) transcript and protein levels are associated with several types of cancers, but few studies address HERV expression in colon cancer. Fifty-eight patients with advanced-stage colon cancer were enrolled in this study. HERV-H, -K (HML-2), -P LTRs, Alu, and LINE-1 methylation levels and transcription of HERV-H, -K (HML-2), and -P and HERV-K genes in normal adjacent and tumor tissues were investigated by pyrosequencing and RT-qPCR, respectively. Expression of the HERV-K (HML-2) Pol and Env proteins in selected tissues was examined by Western blotting. Associations between HERV transcript expression and methylation levels and between clinical characteristics and HERV expression were evaluated. Compared to adjacent normal tissues, LINE-1 was hypomethylated in tumor tissues ( < 0.05), whereas Alu, HERV-K (HML-2), and -H LTRs showed a decreasing trend in tumor tissue compared to normal tissue, though without a significant difference. The transcription levels of HERV and genes were similar. However, the HERV-K (HML-2) Pol protein was more highly expressed ( < 0.01) in surrounding normal tissues, but the HERV-K (HML-2) Env protein was only expressed in tumor tissues. Although HERV LTR methylation and gene expression did not show significant differences between tumor and normal tissues, HERV protein expression differed greatly. Pol protein expression in normal cells may induce reverse transcription and subsequent integration into the host genome, likely favoring cell transformation; in contrast, the Env protein in tumor tissue may contribute to cancer progression through cell-to-cell fusion.

摘要

在发达国家,结肠癌在发病率和死亡率方面都是第四大常见恶性肿瘤。感染因子是结肠癌的风险因素之一。人类内源性逆转录病毒(HERV)转录本和蛋白质水平的变化与多种癌症相关,但很少有研究探讨HERV在结肠癌中的表达情况。本研究纳入了58例晚期结肠癌患者。分别通过焦磷酸测序和RT-qPCR研究了正常相邻组织和肿瘤组织中HERV-H、-K(HML-2)、-P长末端重复序列(LTR)、Alu和LINE-1的甲基化水平以及HERV-H、-K(HML-2)和-P以及HERV-K基因的转录情况。通过蛋白质免疫印迹法检测了所选组织中HERV-K(HML-2)多聚酶(Pol)和包膜(Env)蛋白的表达。评估了HERV转录本表达与甲基化水平之间以及临床特征与HERV表达之间的关联。与相邻正常组织相比,肿瘤组织中LINE-1呈低甲基化(P<0.05),而Alu、HERV-K(HML-2)和-H LTRs在肿瘤组织中与正常组织相比呈下降趋势,尽管无显著差异。HERV-K和-P基因的转录水平相似。然而,HERV-K(HML-2)Pol蛋白在周围正常组织中表达更高(P<0.01),但HERV-K(HML-2)Env蛋白仅在肿瘤组织中表达。尽管HERV LTR甲基化和基因表达在肿瘤组织和正常组织之间没有显著差异,但HERV蛋白表达差异很大。正常细胞中的Pol蛋白表达可能诱导逆转录并随后整合到宿主基因组中,可能有利于细胞转化;相反,肿瘤组织中的Env蛋白可能通过细胞间融合促进癌症进展。

https://cdn.ncbi.nlm.nih.gov/pmc/blobs/375c/7653092/dbe611605a55/fonc-10-569015-g0001.jpg

文献检索

告别复杂PubMed语法,用中文像聊天一样搜索,搜遍4000万医学文献。AI智能推荐,让科研检索更轻松。

立即免费搜索

文件翻译

保留排版,准确专业,支持PDF/Word/PPT等文件格式,支持 12+语言互译。

免费翻译文档

深度研究

AI帮你快速写综述,25分钟生成高质量综述,智能提取关键信息,辅助科研写作。

立即免费体验