Shan Li-Shen, Zhou Qian-Lan, Shang Yun-Xiao
Department of Pediatrics, Shengjing Hospital of China Medical University, Shenyang, China.
Front Pediatr. 2020 Oct 29;8:576858. doi: 10.3389/fped.2020.576858. eCollection 2020.
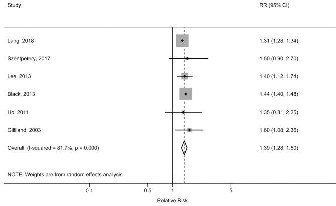
Co-occurrence of pediatric asthma and obesity has been widely reported, yet the causal directions between these two disorders are still not well-understood. The objective of this meta-analysis is to explore whether there is a possibility of a bidirectional association for these two disorders in children and adolescents. PubMed, Embase, Web of Science, and CENTRAL databases were searched up to August 2020. Cohort studies reporting the associations of obesity with risk of physician-diagnosed asthma or physician-diagnosed asthma with risk of obesity in children and adolescents were eligible for the review. A total of 3,091 records were identified from the four databases, with final inclusion of nine. Six studies reported the association between obesity and risk of asthma; three studies reported the association between asthma and risk of childhood obesity. As evaluated by the Newcastle-Ottawa quality assessment scale, all studies were assessed as high-quality studies. There was a statistically significant association between obesity and increased risk of physician-diagnosed asthma in children and adolescents. The pooled RR was 1.39 (95% CI: 1.28, 1.50; < 0.001), with significant heterogeneity across studies ( = 81.7%; < 0.001). The pooled RR in boys was 1.53 (95% CI: 1.17, 1.99; = 0.002), but such a significant association was not observed in girls (RR = 1.17, 95% CI: 0.79, 1.72; = 0.434). For the association of asthma with risk of childhood obesity, the pooled RR was 1.47 (95%CI: 1.25, 1.72; < 0.001) without statistical heterogeneity ( = 0%, = 0.652). There is a bidirectional association between obesity and asthma during childhood and adolescence, suggesting that childhood obesity drives an increase in the onset of asthma; meanwhile, childhood asthma may also increase risk of obesity for children and adolescents.
小儿哮喘与肥胖并存的情况已被广泛报道,但这两种疾病之间的因果关系仍未得到充分理解。本荟萃分析的目的是探讨儿童和青少年中这两种疾病是否存在双向关联。截至2020年8月,对PubMed、Embase、Web of Science和CENTRAL数据库进行了检索。报告肥胖与儿童和青少年医生诊断哮喘风险之间关联或医生诊断哮喘与肥胖风险之间关联的队列研究符合纳入本综述的条件。从这四个数据库中总共识别出3091条记录,最终纳入9项研究。6项研究报告了肥胖与哮喘风险之间的关联;3项研究报告了哮喘与儿童肥胖风险之间的关联。根据纽卡斯尔-渥太华质量评估量表评估,所有研究均被评定为高质量研究。在儿童和青少年中,肥胖与医生诊断哮喘风险增加之间存在统计学显著关联。合并相对危险度(RR)为1.39(95%置信区间:1.28, 1.50;P < 0.001),各研究之间存在显著异质性(I² = 81.7%;P < 0.001)。男孩的合并RR为1.53(95%置信区间:1.17, 1.99;P = 0.002),但在女孩中未观察到这种显著关联(RR = 1.17,95%置信区间:0.79, 1.72;P = 0.434)。对于哮喘与儿童肥胖风险的关联,合并RR为1.47(95%置信区间:1.25, 1.72;P < 0.001),无统计学异质性(I² = 0%,P = 0.652)。儿童和青少年时期肥胖与哮喘之间存在双向关联,表明儿童肥胖会促使哮喘发病率增加;同时,儿童哮喘也可能增加儿童和青少年肥胖的风险。