Department of Joint Disease, Traumatology and Orthopedics institute of Guangzhou University of Chinese Medicine, the third affiliated hospital of Guangzhou University of Chinese Medicine, Guangzhou.
Department of Orthopedics, Jinshazhou hospital of Guangzhou University of Chinese Medicine, Guangzhou.
Eur J Histochem. 2020 Nov 6;64(4):3155. doi: 10.4081/ejh.2020.3155.
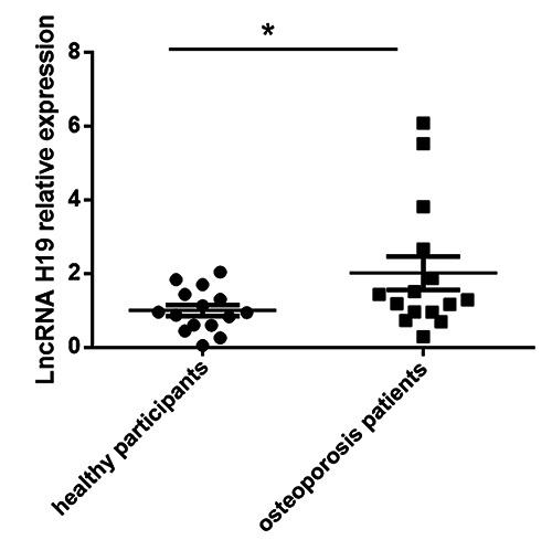
Osteoporosis (OP) is a complex systemic disease characterized by a loss of bone density, leading to bone fragility and an increase risk of fractures of the hip, spine and wrist. The clinical therapeutic effect is still far from satisfactory. Thus, further studies are urgently needed to explore the pathogenesis of OP. In this study, our aim is to explore the underlying molecular mechanism of lncRNA H19/miR-29a-3p axis for regulating of inflammation, proliferation and apoptosis in OP. The expression of lncRNA H19 was significantly upregulated in OP samples compared with the health control. Subsequently, we found that miR-29a-3p is the target of lncRNA H19 in OP. Furthermore, the knockdown of lncRNA H19 was validated to promote the expression of pro-inflammatory mediators, repress cell proliferation and inhibit cell apoptosis in vitro. Moreover, the modulating effects of lncRNA-H19 on the expressions of pro-inflammatory mediators, cell proliferation and apoptosis in vitro were diminished after co-transfecting with miR-29a-3p inhibitor and siRNA-H19. Thus, we concluded that lncRNA H19/miR-29a-3p axis was involved in the development of OP. This study might provide a better understanding of OP development and a potential therapeutic target for OP intervention.
骨质疏松症(OP)是一种复杂的系统性疾病,其特征是骨密度丧失,导致骨骼脆弱,髋部、脊柱和腕部骨折的风险增加。临床治疗效果仍远未令人满意。因此,迫切需要进一步研究来探索 OP 的发病机制。在这项研究中,我们的目的是探索 lncRNA H19/miR-29a-3p 轴调节 OP 中炎症、增殖和凋亡的潜在分子机制。与健康对照组相比,OP 样本中 lncRNA H19 的表达显著上调。随后,我们发现 miR-29a-3p 是 OP 中 lncRNA H19 的靶基因。此外,lncRNA H19 的敲低被验证可促进体外促炎介质的表达,抑制细胞增殖并抑制细胞凋亡。此外,在用 miR-29a-3p 抑制剂和 siRNA-H19 共转染后,lncRNA-H19 对体外促炎介质、细胞增殖和凋亡表达的调节作用减弱。因此,我们得出结论,lncRNA H19/miR-29a-3p 轴参与了 OP 的发生发展。本研究可能为 OP 的发展提供更好的理解,并为 OP 的干预提供潜在的治疗靶点。