Suppr超能文献

评估富含亮氨酸α-2 糖蛋白作为胎儿感染的生物标志物。

Evaluation of leucine-rich alpha-2 glycoprotein as a biomarker of fetal infection.

机构信息

Department of Obstetrics and Gynecology, Osaka University Graduate School of Medicine, Osaka, Japan.

Department of Obstetrics and Gynecology, Japan Community Health Care Organization Osaka Hospital, Osaka, Japan.

出版信息

PLoS One. 2020 Nov 19;15(11):e0242076. doi: 10.1371/journal.pone.0242076. eCollection 2020.

Abstract

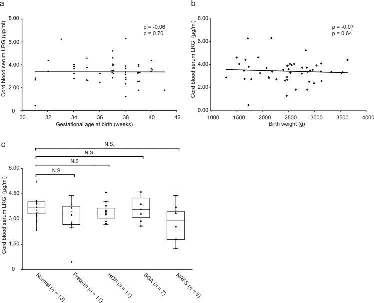
This study aimed to determine the association between umbilical cord leucine-rich alpha-2 glycoprotein (LRG) and fetal infection and investigate the underlying mechanism of LRG elevation in fetuses. We retrospectively reviewed the medical records of patients who delivered at Osaka University Hospital between 2012 and 2017 and selected those with histologically confirmed chorioamnionitis (CAM), which is a common pregnancy complication that may cause neonatal infection. The participants were divided into two groups: CAM with fetal infection (CAM-f[+] group, n = 14) and CAM without fetal infection (CAM-f[-] group, n = 31). Fetal infection was defined by the histological evidence of funisitis. We also selected 50 cases without clinical signs of CAM to serve as the control. LRG concentrations in sera obtained from the umbilical cord were unaffected by gestational age at delivery, neonatal birth weight, nor the presence of noninfectious obstetric complications (all, p > 0.05). Meanwhile, the LRG levels (median, Interquartile range [IQR]) were significantly higher in the CAM-f(+) group (10.37 [5.21-13.7] μg/ml) than in the CAM-f(-) (3.61 [2.71-4.65] μg/ml) or control group (3.39 [2.81-3.93] μg/ml; p < 0.01). The area under the receiver operating characteristic (ROC) curve of LRG for recognizing fetal infection was 0.92 (optimal cutoff, 5.08 μg/ml; sensitivity, 86%; specificity, 88%). In a mouse CAM model established by lipopolysaccharide administration, the fetal LRG protein in sera and LRG mRNA in the liver were significantly higher than those in phosphate-buffered saline (PBS)-administered control mice (p < 0.01). In vitro experiments using a fetal liver-derived cell line (WRL68) showed that the expression of LRG mRNA was significantly increased after interleukin (IL)-6, IL-1β, and tumor necrosis factor- alpha (TNF-α) stimulation (p < 0.01); the induction was considerably stronger following IL-6 and TNF-α stimulation (p < 0.01). In conclusion, LRG is an effective biomarker of fetal infection, and fetal hepatocytes stimulated with inflammatory cytokines may be the primary source of LRG production in utero.

摘要

本研究旨在探讨脐静脉亮氨酸丰富α-2 糖蛋白(LRG)与胎儿感染之间的关系,并探讨 LRG 在胎儿中升高的潜在机制。我们回顾性分析了 2012 年至 2017 年在大阪大学医院分娩的患者的病历,并选择了经组织学证实的绒毛膜羊膜炎(CAM)患者,CAM 是一种常见的妊娠并发症,可能导致新生儿感染。参与者被分为两组:伴有胎儿感染的 CAM(CAM-f[+]组,n=14)和不伴有胎儿感染的 CAM(CAM-f[-]组,n=31)。胎儿感染的定义为组织学证据表明脐带炎。我们还选择了 50 例无临床 CAM 征象的病例作为对照。脐带血清中 LRG 浓度不受分娩时胎龄、新生儿出生体重或无感染性产科并发症的影响(均 p>0.05)。同时,CAM-f(+)组(10.37[5.21-13.7]μg/ml)LRG 水平(中位数,四分位距[IQR])明显高于 CAM-f(-)组(3.61[2.71-4.65]μg/ml)和对照组(3.39[2.81-3.93]μg/ml;p<0.01)。LRG 用于识别胎儿感染的受试者工作特征(ROC)曲线下面积为 0.92(最佳截断值,5.08μg/ml;灵敏度,86%;特异性,88%)。在脂多糖给药建立的小鼠 CAM 模型中,血清中胎儿 LRG 蛋白和肝脏中 LRG mRNA 明显高于磷酸盐缓冲液(PBS)给药对照小鼠(p<0.01)。体外实验使用胎儿肝脏衍生细胞系(WRL68)显示,白细胞介素(IL)-6、IL-1β 和肿瘤坏死因子-α(TNF-α)刺激后 LRG mRNA 的表达明显增加(p<0.01);在 IL-6 和 TNF-α 刺激下,诱导作用更强(p<0.01)。总之,LRG 是胎儿感染的有效生物标志物,炎症细胞因子刺激的胎儿肝细胞可能是胎儿宫内 LRG 产生的主要来源。

https://cdn.ncbi.nlm.nih.gov/pmc/blobs/d11e/7676652/c922749d332d/pone.0242076.g001.jpg

文献AI研究员

20分钟写一篇综述,助力文献阅读效率提升50倍。

立即体验

用中文搜PubMed

大模型驱动的PubMed中文搜索引擎

马上搜索

文档翻译

学术文献翻译模型,支持多种主流文档格式。

立即体验