Etsassala Ninon G E R, Badmus Jelili A, Marnewick Jeanine L, Iwuoha Emmanuel I, Nchu Felix, Hussein Ahmed A
Department of Horticultural Sciences, Cape Peninsula University of Technology, Symphony Rd., Bellville 7535, South Africa.
Applied Microbial and Health Biotechnology Institute, Cape Peninsula University of Technology, Symphony Rd., Bellville 7535, South Africa.
Antioxidants (Basel). 2020 Nov 19;9(11):1149. doi: 10.3390/antiox9111149.
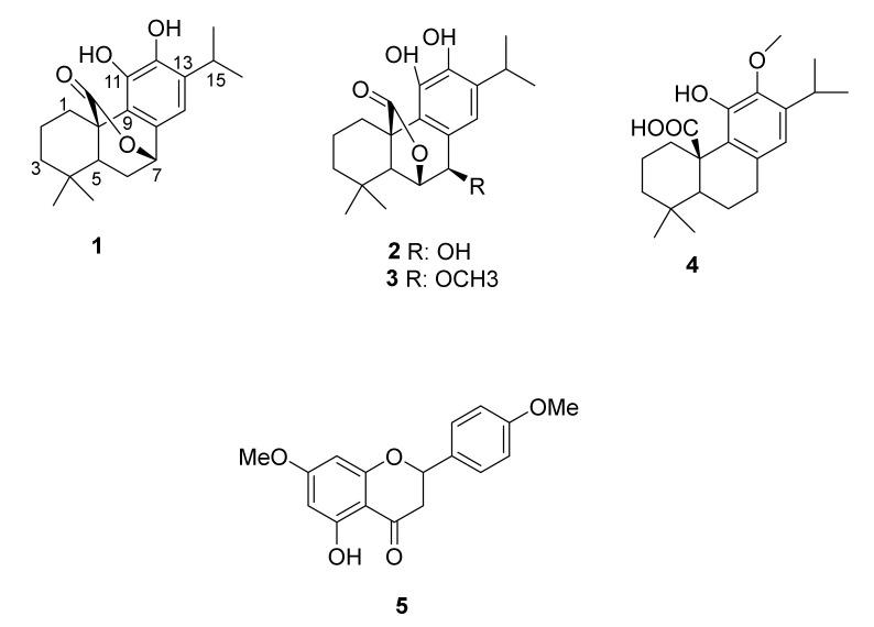
Diabetes mellitus (DM) is one of the most dangerous metabolic diseases with a high rate of mortality worldwide. It is well known that insulin resistance and deficiency in insulin production from pancreatic β-cells are the main characteristics of DM. Due to the detrimental side effects of the current treatment, there is a considerable need to develop new effective antidiabetic drugs, especially alpha-glucosidase and alpha-amylase inhibitors with lesser adverse effects. These inhibitors are known to be directly involved in the delay of carbohydrate digestion, resulting in a reduction of glucose absorption rate and, consequently, reducing the postprandial rise of plasma glucose, which can reduce the risk of long-term diabetes complications. Furthermore, natural products are well-known sources for the discovery of new bioactive compounds that can serve as scaffolds for drug discovery, including that of new antidiabetic drugs. The phytochemical investigation of collected from Hogobach Pass, Eastern Cape Province, South Africa (SA), yielded four known abietane diterpenes namely carnosol (), rosmanol (), 7-methoxyrosmanol (), 12-methoxycarnosic acid (), and one flavonoid named 4,7-dimethylapigenin (). Structural characterization of these isolated compounds was conducted using 1 and 2D NMR, in comparison with reported spectroscopic data. These compounds are reported for the first time from . The biological evaluation of the isolated compound against alpha-glucosidase exhibited strong inhibitory activities for and with the half maximal inhibitory concentration (IC) values of 4.2 ± 0.7 and 16.4 ± 1.1 µg/mL respectively, while and demonstrated strong alpha-amylase inhibitory activity amongst the isolated compounds with IC values of 16.2 ± 0.3 and 19.8 ± 1.4 µg/mL. Molecular docking analysis confirms the strong inhibitory activity of against alpha-glucosidase. Additionally, excellent antioxidant capacities were displayed by , and respectively, with oxygen radical absorbance capacity (ORAC) (25.79 ± 0.01; 23.96 ± 0.01; 23.94 ± 0.02) mM Trolox equivalent (TE)/g; and as ferric-ion reducing antioxidant power (FRAP) (3.92 ± 0.002; 1.52 ± 0.002) mM ascorbic acid equivalent (AAE)/g; and as Trolox equivalent absorbance capacity (TEAC) (3.19 ± 0.003; 2.06 ± 0.003) mM TE/g. The methanolic extract of is a rich source of abietane diterpenes with excellent antioxidant and antidiabetic activities that can be useful to modulate oxidative stress and might possibly be excellent candidates for the management of diabetes. This is the first scientific report on the phytochemical isolation and biological evaluation of the alpha-glucosidase and alpha-amylase inhibitory activities of .
糖尿病(DM)是全球死亡率极高的最危险代谢性疾病之一。众所周知,胰岛素抵抗和胰腺β细胞胰岛素分泌不足是糖尿病的主要特征。由于当前治疗存在有害副作用,因此迫切需要开发新的有效抗糖尿病药物,尤其是副作用较小的α-葡萄糖苷酶和α-淀粉酶抑制剂。已知这些抑制剂直接参与碳水化合物消化的延迟,导致葡萄糖吸收率降低,从而降低餐后血糖升高,这可以降低长期糖尿病并发症的风险。此外,天然产物是发现新生物活性化合物的重要来源,这些化合物可作为药物发现的支架,包括新型抗糖尿病药物。对从南非东开普省霍戈巴赫山口采集的[植物名称未给出]进行植物化学研究,得到了四种已知的松香烷二萜,即鼠尾草酚()、迷迭香酚()、7-甲氧基迷迭香酚()、12-甲氧基鼠尾草酸(),以及一种名为4,7-二甲基芹菜素的黄酮类化合物。与报道的光谱数据相比,使用一维和二维核磁共振对这些分离化合物进行了结构表征。这些化合物首次从[植物名称未给出]中报道。对分离化合物针对α-葡萄糖苷酶的生物学评价显示,[化合物名称未给出]和[化合物名称未给出]具有很强的抑制活性,其半数最大抑制浓度(IC)值分别为4.2±0.7和16.4±1.1μg/mL,而[化合物名称未给出]和[化合物名称未给出]在分离化合物中表现出很强的α-淀粉酶抑制活性,IC值分别为16.2±0.3和19.8±1.4μg/mL。分子对接分析证实了[化合物名称未给出]对α-葡萄糖苷酶具有很强的抑制活性。此外,[化合物名称未给出]、[化合物名称未给出]和[化合物名称未给出]分别表现出优异抗氧化能力,氧自由基吸收能力(ORAC)(25.79±0.01;23.96±0.01;23.94±0.02)mM Trolox当量(TE)/g;[化合物名称未给出]和[化合物名称未给出]的铁离子还原抗氧化能力(FRAP)(3.92±0.002;1.52±0.002)mM抗坏血酸当量(AAE)/g;[化合物名称未给出]和[化合物名称未给出]的Trolox当量吸光能力(TEAC)(3.19±0.003;2.06±0.003)mM TE/g。[植物名称未给出]的甲醇提取物是松香烷二萜的丰富来源,具有优异的抗氧化和抗糖尿病活性,可用于调节氧化应激,可能是糖尿病管理的优秀候选药物。这是关于[植物名称未给出]的植物化学分离以及α-葡萄糖苷酶和α-淀粉酶抑制活性生物学评价的第一份科学报告。