• 文献检索
  • 文档翻译
  • 深度研究
  • 学术资讯
  • Suppr Zotero 插件Zotero 插件
  • 邀请有礼
  • 套餐&价格
  • 历史记录
应用&插件
Suppr Zotero 插件Zotero 插件浏览器插件Mac 客户端Windows 客户端微信小程序
定价
高级版会员购买积分包购买API积分包
服务
文献检索文档翻译深度研究API 文档MCP 服务
关于我们
关于 Suppr公司介绍联系我们用户协议隐私条款
关注我们

Suppr 超能文献

核心技术专利:CN118964589B侵权必究
粤ICP备2023148730 号-1Suppr @ 2026

文献检索

告别复杂PubMed语法,用中文像聊天一样搜索,搜遍4000万医学文献。AI智能推荐,让科研检索更轻松。

立即免费搜索

文件翻译

保留排版,准确专业,支持PDF/Word/PPT等文件格式,支持 12+语言互译。

免费翻译文档

深度研究

AI帮你快速写综述,25分钟生成高质量综述,智能提取关键信息,辅助科研写作。

立即免费体验

患有自然发生的神经性疼痛的狗,用加巴喷丁单独或与美洛昔康联合治疗后的疼痛负担、感觉特征和炎症细胞因子。

Pain burden, sensory profile and inflammatory cytokines of dogs with naturally-occurring neuropathic pain treated with gabapentin alone or with meloxicam.

机构信息

Department of Clinical Sciences, Faculté de médecine vétérinaire, Université de Montréal, Saint-Hyacinthe, Québec, Canada.

Faculté de médecine vétérinaire, Université de Montréal, Saint-Hyacinthe, Québec, Canada.

出版信息

PLoS One. 2020 Nov 30;15(11):e0237121. doi: 10.1371/journal.pone.0237121. eCollection 2020.

DOI:10.1371/journal.pone.0237121
PMID:33253197
原文链接:https://pmc.ncbi.nlm.nih.gov/articles/PMC7703878/
Abstract

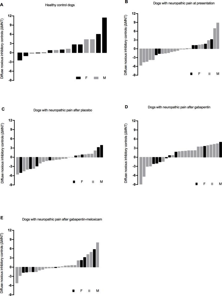
Canine neuropathic pain (NeuP) has been poorly investigated. This study aimed to evaluate the pain burden, sensory profile and inflammatory cytokines in dogs with naturally-occurring NeuP. Twenty-nine client-owned dogs with NeuP were included in a prospective, partially masked, randomized crossover clinical trial, and treated with gabapentin/placebo/gabapentin-meloxicam or gabapentin-meloxicam/placebo/gabapentin (each treatment block of 7 days; total 21 days). Pain scores, mechanical (MNT) and electrical (ENT) nociceptive thresholds and descending noxious inhibitory controls (DNIC) were assessed at baseline, days 7, 14, and 21. DNIC was evaluated using ΔMNT (after-before conditioning stimulus). Positive or negative ΔMNT corresponded to inhibitory or facilitatory pain profiles, respectively. Pain scores were recorded using the Client Specific Outcome Measures (CSOM), Canine Brief Pain Inventory (CBPI), and short-form Glasgow Composite Measure Pain Scale (CMPS-SF). Data from baseline were compared to those of sixteen healthy controls. ΔMNT, but not MNT and ENT, was significantly larger in controls (2.3 ± 0.9 N) than in NeuP (-0.2 ± 0.7 N). The percentage of dogs with facilitatory sensory profile was similar at baseline and after placebo (61.5-63%), and between controls and after gabapentin (33.3-34.6%). The CBPI scores were significantly different between gabapentin (CBPI pain and CBPI overall impression) and/or gabapentin-meloxicam (CBPI pain and interference) when compared with baseline, but not placebo. The CBPI scores were not significantly different between placebo and baseline. The concentration of cytokines was not different between groups or treatments. Dogs with NeuP have deficient inhibitory pain mechanisms. Pain burden was reduced after gabapentin and/or gabapentin-meloxicam when compared with baseline using CBPI and CMPS-SF scores. However, these scores were not superior than placebo, nor placebo was superior to baseline evaluations. A caregiver placebo effect may have biased the results.

摘要

犬神经病理性疼痛(NeuP)研究甚少。本研究旨在评估自然发生 NeuP 的犬的疼痛负担、感觉特征和炎症细胞因子。29 只 NeuP 犬纳入一项前瞻性、部分盲法、随机交叉临床试验,并接受加巴喷丁/安慰剂/加巴喷丁-美洛昔康或加巴喷丁-美洛昔康/安慰剂/加巴喷丁治疗(每治疗 7 天,共 21 天)。在基线、第 7、14 和 21 天评估疼痛评分、机械(MNT)和电(ENT)伤害感受阈值和下行抑制性伤害控制(DNIC)。使用 ΔMNT(条件刺激前后)评估 DNIC。正或负 ΔMNT 分别对应抑制或促进疼痛特征。使用特定于客户的结果测量(CSOM)、犬简要疼痛量表(CBPI)和简短格拉斯哥复合疼痛量表(CMPS-SF)记录疼痛评分。将基线数据与 16 名健康对照进行比较。与 NeuP 犬(-0.2±0.7 N)相比,对照组的 ΔMNT(2.3±0.9 N)显著更大,但 MNT 和 ENT 无差异。基线时和安慰剂后具有促发感觉特征的犬的百分比相似(61.5%-63%),且对照组与加巴喷丁后相似(33.3%-34.6%)。与基线相比,加巴喷丁(CBPI 疼痛和 CBPI 总体印象)和/或加巴喷丁-美洛昔康(CBPI 疼痛和干扰)时 CBPI 评分显著不同,但安慰剂时无差异。与基线相比,安慰剂时 CBPI 评分无显著差异。各组或各治疗之间细胞因子浓度无差异。NeuP 犬存在抑制性疼痛机制缺陷。与基线相比,使用 CBPI 和 CMPS-SF 评分,加巴喷丁和/或加巴喷丁-美洛昔康治疗后疼痛负担减轻。然而,这些评分并不优于安慰剂,安慰剂也不优于基线评估。照顾者安慰剂效应可能影响了结果。

https://cdn.ncbi.nlm.nih.gov/pmc/blobs/1048/7703878/f27767c51986/pone.0237121.g003.jpg
https://cdn.ncbi.nlm.nih.gov/pmc/blobs/1048/7703878/87675046753b/pone.0237121.g001.jpg
https://cdn.ncbi.nlm.nih.gov/pmc/blobs/1048/7703878/a9657aebd22d/pone.0237121.g002.jpg
https://cdn.ncbi.nlm.nih.gov/pmc/blobs/1048/7703878/f27767c51986/pone.0237121.g003.jpg
https://cdn.ncbi.nlm.nih.gov/pmc/blobs/1048/7703878/87675046753b/pone.0237121.g001.jpg
https://cdn.ncbi.nlm.nih.gov/pmc/blobs/1048/7703878/a9657aebd22d/pone.0237121.g002.jpg
https://cdn.ncbi.nlm.nih.gov/pmc/blobs/1048/7703878/f27767c51986/pone.0237121.g003.jpg

相似文献

1
Pain burden, sensory profile and inflammatory cytokines of dogs with naturally-occurring neuropathic pain treated with gabapentin alone or with meloxicam.患有自然发生的神经性疼痛的狗,用加巴喷丁单独或与美洛昔康联合治疗后的疼痛负担、感觉特征和炎症细胞因子。
PLoS One. 2020 Nov 30;15(11):e0237121. doi: 10.1371/journal.pone.0237121. eCollection 2020.
2
Comparison of grapiprant and meloxicam for management of postoperative joint pain in dogs: A randomized, double-blinded, prospective clinical trial.比较格拉昔布和美洛昔康治疗犬术后关节痛的效果:一项随机、双盲、前瞻性临床试验。
J Vet Intern Med. 2024 Jul-Aug;38(4):2324-2332. doi: 10.1111/jvim.17136. Epub 2024 Jun 29.
3
Multicenter randomized prospective clinical evaluation of meloxicam administered via transmucosal oral spray in client-owned dogs.美洛昔康经黏膜口腔喷雾剂给药在宠物犬中的多中心随机前瞻性临床评估
J Vet Pharmacol Ther. 2013 Dec;36(6):609-16. doi: 10.1111/jvp.12050. Epub 2013 Apr 3.
4
Ability of the canine brief pain inventory to detect response to treatment in dogs with osteoarthritis.犬类简短疼痛量表检测骨关节炎犬对治疗反应的能力。
J Am Vet Med Assoc. 2008 Oct 15;233(8):1278-83. doi: 10.2460/javma.233.8.1278.
5
Gabapentin for the treatment of postherpetic neuralgia: a randomized controlled trial.加巴喷丁治疗带状疱疹后神经痛:一项随机对照试验。
JAMA. 1998 Dec 2;280(21):1837-42. doi: 10.1001/jama.280.21.1837.
6
Meloxicam vs robenacoxib for postoperative pain management in dogs undergoing combined laparoscopic ovariectomy and laparoscopic-assisted gastropexy.美洛昔康与罗贝考昔用于接受腹腔镜卵巢切除术联合腹腔镜辅助胃固定术的犬术后疼痛管理的比较
Vet Surg. 2019 May;48(4):578-583. doi: 10.1111/vsu.13156. Epub 2019 Jan 13.
7
Comparison of force plate gait analysis and owner assessment of pain using the Canine Brief Pain Inventory in dogs with osteoarthritis.比较骨关节炎犬使用犬简明疼痛量表的测力板步态分析和主人对疼痛的评估。
J Vet Intern Med. 2013 Jan-Feb;27(1):22-30. doi: 10.1111/jvim.12004.
8
Evaluation of Clinical Metrology Instrument in Dogs with Osteoarthritis.骨关节炎犬临床计量仪器的评估
J Vet Intern Med. 2016 May;30(3):836-46. doi: 10.1111/jvim.13923. Epub 2016 Mar 13.
9
Palmitoyl-glucosamine co-micronized with curcumin for maintenance of meloxicam-induced pain relief in dogs with osteoarthritis pain.棕榈酰葡萄糖胺与姜黄素共微粉化用于维持骨关节炎疼痛犬美洛昔康诱导的疼痛缓解。
BMC Vet Res. 2023 Feb 7;19(1):37. doi: 10.1186/s12917-023-03594-4.
10
A prospective, randomized, double-blind, placebo-controlled multisite, parallel-group field study in dogs with osteoarthritis conducted in the United States of America evaluating bedinvetmab, a canine anti-nerve growth factor monoclonal antibody.一项在美国进行的、针对骨关节炎犬的前瞻性、随机、双盲、安慰剂对照、多中心、平行分组的现场研究,评估了一种犬用抗神经生长因子单克隆抗体 bedinvetmab。
Vet Anaesth Analg. 2023 Sep;50(5):446-458. doi: 10.1016/j.vaa.2023.06.003. Epub 2023 Jun 19.

引用本文的文献

1
The Effect of Gabapentin on the Efficiency of a Desensitization-Counter-Conditioning Claw-Trimming Protocol for Cats with Healthcare Phobias: A Double-Blind, Placebo-Controlled Crossover Trial.加巴喷丁对患有医疗恐惧症的猫的脱敏-对抗条件反射式爪子修剪方案效果的影响:一项双盲、安慰剂对照交叉试验。
Animals (Basel). 2025 May 3;15(9):1326. doi: 10.3390/ani15091326.
2
Development and Validation of an LC-MS/MS Method for Quantifying Gabapentin in Plasma: Application to a Pharmacokinetic Study in Cats.一种用于定量血浆中加巴喷丁的液相色谱-串联质谱法的开发与验证:在猫体内药代动力学研究中的应用
Animals (Basel). 2025 Mar 26;15(7):950. doi: 10.3390/ani15070950.
3

本文引用的文献

1
Determination of acute tolerance and hyperalgesia to remifentanil constant rate infusion in dogs undergoing sevoflurane anaesthesia.在接受七氟醚麻醉的犬中确定瑞芬太尼恒速输注的急性耐受和痛觉过敏。
Vet Anaesth Analg. 2020 Mar;47(2):183-190. doi: 10.1016/j.vaa.2019.09.005. Epub 2019 Nov 12.
2
Role of the immune system in neuropathic pain.免疫系统在神经性疼痛中的作用。
Scand J Pain. 2019 Dec 18;20(1):33-37. doi: 10.1515/sjpain-2019-0138.
3
Pregabalin for the treatment of syringomyelia-associated neuropathic pain in dogs: A randomised, placebo-controlled, double-masked clinical trial.
Transcutaneous electrical nerve stimulation as an adjuvant treatment for thoracolumbar acute hyperesthesia in chondrodystrophic dogs: a prospective blinded controlled clinical study.
经皮电刺激神经作为治疗软骨发育不良犬胸腰椎急性感觉过敏的辅助疗法:一项前瞻性双盲对照临床研究。
Front Pain Res (Lausanne). 2025 Mar 21;6:1496607. doi: 10.3389/fpain.2025.1496607. eCollection 2025.
4
Ice water immersion does not activate diffuse noxious inhibitory controls of spinal reflexes in sedated or anaesthetised dogs (): a pilot study.冰水冷敷不能激活镇静或麻醉犬脊髓反射的弥散性伤害性抑制控制:一项初步研究。
Front Pain Res (Lausanne). 2025 Mar 10;6:1505064. doi: 10.3389/fpain.2025.1505064. eCollection 2025.
5
Comparative analysis of chronic neuropathic pain and pain assessment in companion animals and humans.伴侣动物与人类慢性神经性疼痛及疼痛评估的比较分析
Front Vet Sci. 2024 Dec 10;11:1520043. doi: 10.3389/fvets.2024.1520043. eCollection 2024.
6
Effects of Gabapentin on the Treatment of Behavioral Disorders in Dogs: A Retrospective Evaluation.加巴喷丁对犬类行为障碍治疗的效果:一项回顾性评估
Animals (Basel). 2024 May 14;14(10):1462. doi: 10.3390/ani14101462.
7
Mapping the neuroethological signatures of pain, analgesia, and recovery in mice.绘制小鼠疼痛、镇痛和恢复的神经行为特征图谱。
Neuron. 2023 Sep 20;111(18):2811-2830.e8. doi: 10.1016/j.neuron.2023.06.008. Epub 2023 Jul 12.
8
Gabapentin: Clinical Use and Pharmacokinetics in Dogs, Cats, and Horses.加巴喷丁:犬、猫和马的临床应用及药代动力学
Animals (Basel). 2023 Jun 20;13(12):2045. doi: 10.3390/ani13122045.
9
Proposed Canadian Consensus Guidelines on Osteoarthritis Treatment Based on OA-COAST Stages 1-4.基于骨关节炎临床阶段1-4期的加拿大骨关节炎治疗共识指南提案。
Front Vet Sci. 2022 Apr 26;9:830098. doi: 10.3389/fvets.2022.830098. eCollection 2022.
普瑞巴林治疗犬脊髓空洞症相关神经病理性疼痛的随机、安慰剂对照、双盲临床试验。
Vet J. 2019 Aug;250:55-62. doi: 10.1016/j.tvjl.2019.06.006. Epub 2019 Jul 5.
4
Initial psychometric testing and validation of the French version of the Canine Brief Pain Inventory.犬类简明疼痛量表法语版的初始心理测量测试与验证
Vet Anaesth Analg. 2019 Sep;46(5):667-672. doi: 10.1016/j.vaa.2019.04.001. Epub 2019 Apr 6.
5
Pain characterization and response to palliative care in dogs with naturally-occurring appendicular osteosarcoma: An open label clinical trial.自然发生附肢骨肉瘤犬的疼痛特征和对姑息治疗的反应:一项开放标签临床试验。
PLoS One. 2018 Dec 6;13(12):e0207200. doi: 10.1371/journal.pone.0207200. eCollection 2018.
6
Feasibility and reliability of electrical, mechanical and thermal nociceptive testing and assessment of diffuse noxious inhibitory control in dogs.犬类电、机械和热伤害性测试及弥漫性伤害性抑制控制评估的可行性与可靠性
J Pain Res. 2018 Oct 23;11:2491-2496. doi: 10.2147/JPR.S164483. eCollection 2018.
7
A pilot study investigating whether quantitative sensory testing alters after treatment in patients with fibromyalgia.一项初步研究,旨在调查纤维肌痛患者接受治疗后定量感觉测试是否会发生变化。
Br J Pain. 2018 Nov;12(4):250-256. doi: 10.1177/2049463718776336. Epub 2018 May 15.
8
Descending Noradrenergic Inhibition: An Important Mechanism of Gabapentin Analgesia in Neuropathic Pain.下行去甲肾上腺素抑制:加巴喷丁治疗神经病理性疼痛的重要机制。
Adv Exp Med Biol. 2018;1099:93-100. doi: 10.1007/978-981-13-1756-9_8.
9
Stratification of neuropathic pain patients: the road to mechanism-based therapy?神经病理性疼痛患者的分层:通往基于机制治疗的道路?
Curr Opin Anaesthesiol. 2018 Oct;31(5):562-568. doi: 10.1097/ACO.0000000000000642.
10
Electrophysiological characterisation of central sensitisation in canine spontaneous osteoarthritis.犬自发性骨关节炎中中枢敏化的电生理学特征。
Pain. 2018 Nov;159(11):2318-2330. doi: 10.1097/j.pain.0000000000001336.