Suppr超能文献

患有既往或活动性登革热的新冠肺炎患者的临床和生化参数。

Clinical and biochemical parameters of COVID-19 patients with prior or active dengue fever.

作者信息

Teotônio Isabella Márcia Soares Nogueira, de Carvalho Juliana Lott, Castro Luiz Cláudio, Nitz Nadjar, Hagström Luciana, Rios Geraldo Gonçalves, de Fátima Rodrigues de Oliveira Maria, Dallago Bruno Stéfano Lima, Hecht Mariana

机构信息

Interdisciplinary Laboratory of Biosciences, Faculty of Medicine, University of Brasília, Brasília, Brazil; Nucleus of clinical pathology of Planaltina Regional Hospital, DF.

Interdisciplinary Laboratory of Biosciences, Faculty of Medicine, University of Brasília, Brasília, Brazil; Genomic Sciences and Biotechnology Program, Catholic University of Brasília, Brasília, Brazil.

出版信息

Acta Trop. 2021 Feb;214:105782. doi: 10.1016/j.actatropica.2020.105782. Epub 2020 Nov 28.

Abstract

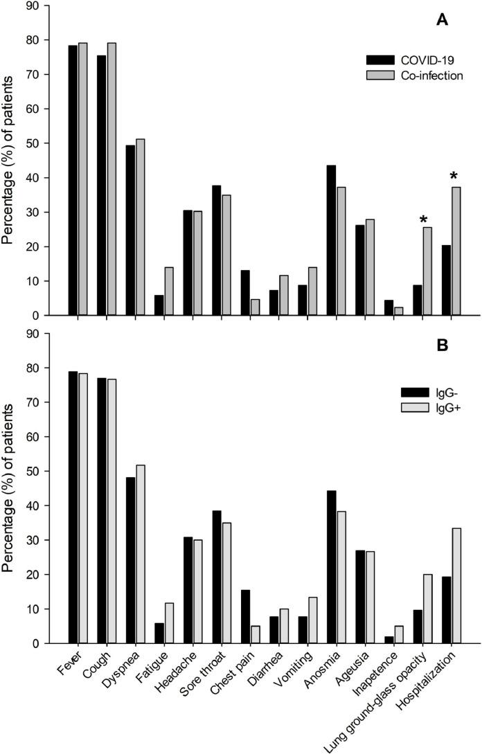
Originated in Wuhan, China, the coronavirus 19 disease (COVID-19) has quickly spread worldwide, reaching countries that already faced other endemics and epidemics. In Brazil, such a concerning situation includes arboviruses, among which the dengue virus stands out. Here, we determined the rate of SARS-CoV-2/dengue virus co-infection in a total of 178 patients with COVID-19 symtoms admitted into a large public hospital of the Federal District of Brazil. Furthermore, we evaluated whether prior or active dengue virus infection influenced hematological, biochemical, and clinical parameters of such patients. One hundred and twelve (63%) individuals tested positive for COVID-19, of which 43 (38.4%) were co-infected with dengue virus, and 50 (44.6%) had antibodies indicative of previous dengue infection. Co-infected patients showed lower numbers of circulating lymphocytes and monocytes, higher glucose rates, and a worse pulmonary condition. Of note, prior infections with dengue virus did not influence clinical parameters, but active dengue fever resulted in higher hospitalization rate. In conclusion, amid the current complex epidemiological scenario in Brazil, our data support the notion that SARS-CoV-2 and dengue co-infection affects an important percentage of COVID-19 patients and leads to worse clinical parameters, requiring greater attention from health authorities.

摘要

新型冠状病毒肺炎(COVID-19)起源于中国武汉,迅速在全球传播,波及那些已经面临其他地方病和流行病的国家。在巴西,这种令人担忧的情况包括虫媒病毒,其中登革热病毒尤为突出。在此,我们确定了巴西联邦区一家大型公立医院收治的178例有COVID-19症状患者中SARS-CoV-2/登革热病毒合并感染率。此外,我们评估了既往或现发登革热病毒感染是否会影响这些患者的血液学、生化和临床参数。112例(63%)个体COVID-19检测呈阳性,其中43例(38.4%)合并感染登革热病毒,50例(44.6%)有既往登革热感染的抗体。合并感染患者的循环淋巴细胞和单核细胞数量较低,血糖水平较高,肺部状况较差。值得注意的是,既往登革热病毒感染不影响临床参数,但现发登革热导致更高的住院率。总之,在巴西当前复杂的流行病学情况下,我们的数据支持以下观点:SARS-CoV-2与登革热合并感染影响相当比例的COVID-19患者,并导致更差的临床参数,需要卫生当局给予更多关注。

https://cdn.ncbi.nlm.nih.gov/pmc/blobs/214f/7698682/4c819dad061c/fx1_lrg.jpg

文献AI研究员

20分钟写一篇综述,助力文献阅读效率提升50倍。

立即体验

用中文搜PubMed

大模型驱动的PubMed中文搜索引擎

马上搜索

文档翻译

学术文献翻译模型,支持多种主流文档格式。

立即体验