Suppr超能文献

广义半逻辑分布的一种新扩展及其在实际数据中的应用

A New Extension of the Generalized Half Logistic Distribution with Applications to Real Data.

作者信息

Muhammad Mustapha, Liu Lixia

机构信息

College of Mathematics and Information Sciences, Hebei Normal University, Shijiazhuang 050024, China.

出版信息

Entropy (Basel). 2019 Mar 28;21(4):339. doi: 10.3390/e21040339.

Abstract

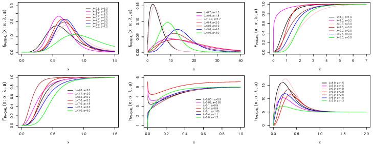
In this paper, we introduced a new three-parameter probability model called Poisson generalized half logistic (PoiGHL). The new model possesses an increasing, decreasing, unimodal and bathtub failure rates depending on the parameters. The relationship of PoiGHL with the exponentiated Weibull Poisson (EWP), Poisson exponentiated Erlang-truncated exponential (PEETE), and Poisson generalized Gompertz (PGG) model is discussed. We also characterized the PoiGHL sub model, i.e the half logistic Poisson (HLP), based on certain functions of a random variable by truncated moments. Several mathematical and statistical properties of the PoiGHL are investigated such as moments, mean deviations, Bonferroni and Lorenz curves, order statistics, Shannon and Renyi entropy, Kullback-Leibler divergence, moments of residual life, and probability weighted moments. Estimation of the model parameters was achieved by maximum likelihood technique and assessed by simulation studies. The stress-strength analysis was discussed in detail based on maximum likelihood estimation (MLE), we derived the asymptotic confidence interval of R = P ( X 1 < X 2 ) based on the MLEs, and examine by simulation studies. In three applications to real data set PoiGHL provided better fit and outperform some other popular distributions. In the stress-strength parameter estimation PoiGHL model illustrated as a reliable choice in reliability analysis as shown using two real data set.

摘要

在本文中,我们介绍了一种新的三参数概率模型,称为泊松广义半逻辑斯蒂(PoiGHL)模型。该新模型根据参数具有递增、递减、单峰和浴盆形失效率。讨论了PoiGHL与指数威布尔泊松(EWP)、泊松指数爱尔朗截断指数(PEETE)和泊松广义冈珀茨(PGG)模型之间的关系。我们还基于随机变量的某些函数通过截断矩对PoiGHL子模型,即半逻辑斯蒂泊松(HLP)进行了特征描述。研究了PoiGHL的几个数学和统计性质,如矩、平均偏差、邦费罗尼曲线和洛伦兹曲线、顺序统计量、香农熵和雷尼熵、库尔贝克-莱布勒散度、剩余寿命矩和概率加权矩。通过最大似然技术实现了模型参数的估计,并通过模拟研究进行了评估。基于最大似然估计(MLE)详细讨论了应力-强度分析,我们基于MLE推导了R = P (X1 < X2)的渐近置信区间,并通过模拟研究进行了检验。在对三个真实数据集的应用中,PoiGHL提供了更好的拟合,并且优于其他一些流行分布。在应力-强度参数估计中,如使用两个真实数据集所示,PoiGHL模型在可靠性分析中被证明是一个可靠的选择。

https://cdn.ncbi.nlm.nih.gov/pmc/blobs/3edb/7514823/8438f21e279f/entropy-21-00339-g001.jpg

文献AI研究员

20分钟写一篇综述,助力文献阅读效率提升50倍。

立即体验

用中文搜PubMed

大模型驱动的PubMed中文搜索引擎

马上搜索

文档翻译

学术文献翻译模型,支持多种主流文档格式。

立即体验