Suppr超能文献

基于精细分类分散熵和采用变异麻雀搜索算法-粒子群优化算法优化的支持向量机的滚动轴承故障诊断

Fault Diagnosis for Rolling Bearings Based on Fine-Sorted Dispersion Entropy and SVM Optimized with Mutation SCA-PSO.

作者信息

Fu Wenlong, Tan Jiawen, Xu Yanhe, Wang Kai, Chen Tie

机构信息

College of Electrical Engineering & New Energy, China Three Gorges University, Yichang 443002, China.

Hubei Provincial Key Laboratory for Operation and Control of Cascaded Hydropower Station, China Three Gorges University, Yichang 443002, China.

出版信息

Entropy (Basel). 2019 Apr 16;21(4):404. doi: 10.3390/e21040404.

Abstract

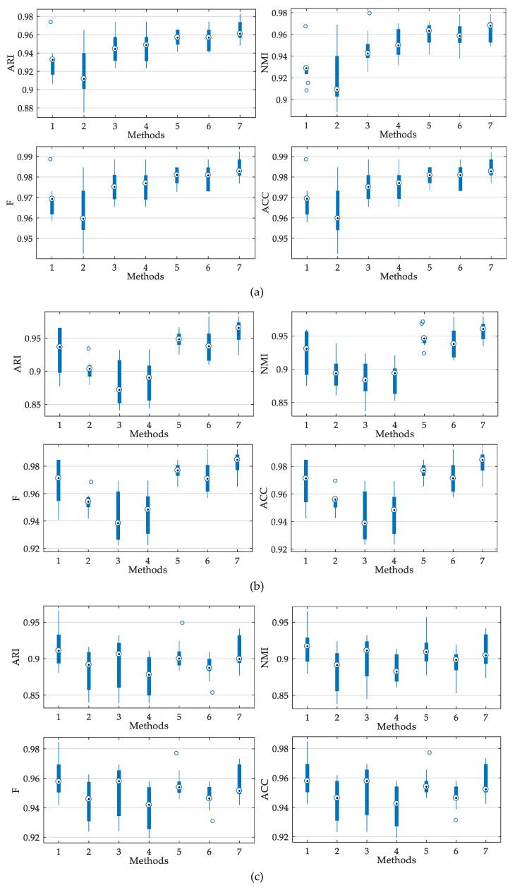
Rolling bearings are a vital and widely used component in modern industry, relating to the production efficiency and remaining life of a device. An effective and robust fault diagnosis method for rolling bearings can reduce the downtime caused by unexpected failures. Thus, a novel fault diagnosis method for rolling bearings by fine-sorted dispersion entropy and mutation sine cosine algorithm and particle swarm optimization (SCA-PSO) optimized support vector machine (SVM) is presented to diagnose a fault of various sizes, locations and motor loads. Vibration signals collected from different types of faults are firstly decomposed by variational mode decomposition (VMD) into sets of intrinsic mode functions (IMFs), where the decomposing mode number is determined by the central frequency observation method, thus, to weaken the non-stationarity of original signals. Later, the improved fine-sorted dispersion entropy (FSDE) is proposed to enhance the perception for relationship information between neighboring elements and then employed to construct the feature vectors of different fault samples. Afterward, a hybrid optimization strategy combining advantages of mutation operator, sine cosine algorithm and particle swarm optimization (MSCAPSO) is proposed to optimize the SVM model. The optimal SVM model is subsequently applied to realize the pattern recognition for different fault samples. The superiority of the proposed method is assessed through multiple contrastive experiments. Result analysis indicates that the proposed method achieves better precision and stability over some relevant methods, whereupon it is promising in the field of fault diagnosis for rolling bearings.

摘要

滚动轴承是现代工业中至关重要且广泛使用的部件,关系到设备的生产效率和剩余寿命。一种有效且强大的滚动轴承故障诊断方法可以减少意外故障导致的停机时间。因此,本文提出了一种基于精细排序离散熵、变异正弦余弦算法和粒子群优化(SCA - PSO)优化支持向量机(SVM)的滚动轴承新型故障诊断方法,用于诊断不同尺寸、位置和电机负载下的故障。首先,通过变分模态分解(VMD)将从不同类型故障收集的振动信号分解为固有模态函数(IMF)集,其中分解模态数通过中心频率观测法确定,从而减弱原始信号的非平稳性。随后,提出改进的精细排序离散熵(FSDE)以增强对相邻元素之间关系信息的感知,然后用于构建不同故障样本的特征向量。之后,提出一种结合变异算子、正弦余弦算法和粒子群优化优势的混合优化策略(MSCAPSO)来优化SVM模型。随后应用最优SVM模型实现对不同故障样本的模式识别。通过多次对比实验评估了所提方法的优越性。结果分析表明,所提方法相对于一些相关方法具有更好的精度和稳定性,因此在滚动轴承故障诊断领域具有广阔前景。

https://cdn.ncbi.nlm.nih.gov/pmc/blobs/d5e7/7514891/ab171eb230ed/entropy-21-00404-g001.jpg

文献AI研究员

20分钟写一篇综述,助力文献阅读效率提升50倍。

立即体验

用中文搜PubMed

大模型驱动的PubMed中文搜索引擎

马上搜索

文档翻译

学术文献翻译模型,支持多种主流文档格式。

立即体验