• 文献检索
  • 文档翻译
  • 深度研究
  • 学术资讯
  • Suppr Zotero 插件Zotero 插件
  • 邀请有礼
  • 套餐&价格
  • 历史记录
应用&插件
Suppr Zotero 插件Zotero 插件浏览器插件Mac 客户端Windows 客户端微信小程序
定价
高级版会员购买积分包购买API积分包
服务
文献检索文档翻译深度研究API 文档MCP 服务
关于我们
关于 Suppr公司介绍联系我们用户协议隐私条款
关注我们

Suppr 超能文献

核心技术专利:CN118964589B侵权必究
粤ICP备2023148730 号-1Suppr @ 2026

文献检索

告别复杂PubMed语法,用中文像聊天一样搜索,搜遍4000万医学文献。AI智能推荐,让科研检索更轻松。

立即免费搜索

文件翻译

保留排版,准确专业,支持PDF/Word/PPT等文件格式,支持 12+语言互译。

免费翻译文档

深度研究

AI帮你快速写综述,25分钟生成高质量综述,智能提取关键信息,辅助科研写作。

立即免费体验

意大利荷斯坦弗里生奶牛乳头状况的遗传力及其与产奶量和体细胞评分的关系。

Heritability of Teat Condition in Italian Holstein Friesian and Its Relationship with Milk Production and Somatic Cell Score.

作者信息

Tiezzi Francesco, Maisano Antonio Marco, Chessa Stefania, Luini Mario, Biffani Stefano

机构信息

Department of Animal Science, North Carolina State University, Raleigh, NC 27695, USA.

Istituto Zooprofilattico Sperimentale Lombardia Emilia Romagna "Bruno Ubertini"-I.Z.S.L.E.R. Territorial Section of Lodi and Brescia Sector Diagnostic, Animal Health and Welfare, 26900 Lodi, Italy.

出版信息

Animals (Basel). 2020 Dec 2;10(12):2271. doi: 10.3390/ani10122271.

DOI:10.3390/ani10122271
PMID:33276452
原文链接:https://pmc.ncbi.nlm.nih.gov/articles/PMC7760219/
Abstract

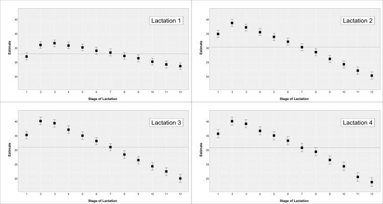
In spite of the impressive advancements observed on both management and genetic factors, udder health still represents one of most demanding objectives to be attained in the dairy cattle industry. Udder morphology and especially teat condition might represent the first physical barrier to pathogens' access. The objectives of this study were to investigate the genetic component of teat condition and to elucidate its relationship with both milk yield and somatic cell scores in dairy cattle. Moreover, the effect of selection for both milk yield and somatic cell scores on teat condition was also investigated. A multivariate analysis was conducted on 10,776 teat score records and 30,160 production records from 2469 Italian Holstein cows. Three teat scoring traits were defined and included in the analysis. Heritability estimates for the teat score traits were moderate to low, ranging from 0.084 to 0.238. When teat score was based on a four-classes ordinal scoring, its genetic correlation with milk yields and somatic cell score were 0.862 and 0.439, respectively. The scale used to classify teat-end score has an impact on the magnitude of the estimates. Genetic correlations suggest that selection for milk yield could deteriorate teat health, unless more emphasis is given to somatic cell scores. Considering that both at national and international level, the current selection objectives are giving more emphasis to health traits, a further genetic deterioration in teat condition is not expected.

摘要

尽管在管理和遗传因素方面都取得了令人瞩目的进展,但乳房健康仍然是奶牛养殖业中最具挑战性的目标之一。乳房形态,尤其是乳头状况,可能是病原体进入的第一道物理屏障。本研究的目的是调查乳头状况的遗传成分,并阐明其与奶牛产奶量和体细胞评分之间的关系。此外,还研究了对产奶量和体细胞评分的选择对乳头状况的影响。对来自2469头意大利荷斯坦奶牛的10776条乳头评分记录和30160条生产记录进行了多变量分析。定义了三个乳头评分性状并纳入分析。乳头评分性状的遗传力估计值为低到中等,范围从0.084到0.238。当乳头评分基于四类序数评分时,其与产奶量和体细胞评分的遗传相关性分别为0.862和0.439。用于分类乳头末端评分的量表对估计值的大小有影响。遗传相关性表明,除非更加强调体细胞评分,否则对产奶量的选择可能会损害乳头健康。考虑到在国家和国际层面,当前的选择目标都更加重视健康性状,预计乳头状况不会进一步遗传恶化。

https://cdn.ncbi.nlm.nih.gov/pmc/blobs/0896/7760219/2ad9a92a60be/animals-10-02271-g004.jpg
https://cdn.ncbi.nlm.nih.gov/pmc/blobs/0896/7760219/bfc1840483cb/animals-10-02271-g001.jpg
https://cdn.ncbi.nlm.nih.gov/pmc/blobs/0896/7760219/fb30873459ca/animals-10-02271-g002.jpg
https://cdn.ncbi.nlm.nih.gov/pmc/blobs/0896/7760219/1c7a7faf5295/animals-10-02271-g003.jpg
https://cdn.ncbi.nlm.nih.gov/pmc/blobs/0896/7760219/2ad9a92a60be/animals-10-02271-g004.jpg
https://cdn.ncbi.nlm.nih.gov/pmc/blobs/0896/7760219/bfc1840483cb/animals-10-02271-g001.jpg
https://cdn.ncbi.nlm.nih.gov/pmc/blobs/0896/7760219/fb30873459ca/animals-10-02271-g002.jpg
https://cdn.ncbi.nlm.nih.gov/pmc/blobs/0896/7760219/1c7a7faf5295/animals-10-02271-g003.jpg
https://cdn.ncbi.nlm.nih.gov/pmc/blobs/0896/7760219/2ad9a92a60be/animals-10-02271-g004.jpg

相似文献

1
Heritability of Teat Condition in Italian Holstein Friesian and Its Relationship with Milk Production and Somatic Cell Score.意大利荷斯坦弗里生奶牛乳头状况的遗传力及其与产奶量和体细胞评分的关系。
Animals (Basel). 2020 Dec 2;10(12):2271. doi: 10.3390/ani10122271.
2
Genetic parameters for milk somatic cell score and relationship with production and udder type traits in dairy Alpine and Saanen primiparous goats.乳体细胞评分的遗传参数及其与阿尔卑斯奶山羊和萨能奶山羊初产母羊产奶量和乳房类型性状的关系。
J Dairy Sci. 2011 Jul;94(7):3629-34. doi: 10.3168/jds.2010-3694.
3
Overmilking causes deterioration in teat-end condition of dairy cows in late lactation.过度挤奶会导致奶牛泌乳后期乳头末端状况恶化。
J Dairy Res. 2013 Aug;80(3):344-8. doi: 10.1017/S0022029913000307. Epub 2013 Jun 28.
4
Bimodality and the genetics of milk flow traits in the Italian Holstein-Friesian breed.意大利荷斯坦-弗里生牛品种的泌乳性状的两重性和遗传。
J Dairy Sci. 2011 Aug;94(8):4081-9. doi: 10.3168/jds.2010-3611.
5
Genetic parameters and responses of linear type, yield traits, and somatic cell scores to divergent selection for predicted transmitting ability for type in Holsteins.荷斯坦奶牛线性体型、产奶性状及体细胞评分对体型预测传递能力的差异选择的遗传参数和反应。
J Dairy Sci. 2002 Jun;85(6):1578-85. doi: 10.3168/jds.S0022-0302(02)74227-6.
6
A randomized trial to study the effect of automatic cluster remover settings on milking performance, teat condition, and udder health.一项随机试验,旨在研究自动挤奶机组群移除设置对挤奶性能、乳头状况和乳房健康的影响。
J Dairy Sci. 2020 Apr;103(4):3668-3682. doi: 10.3168/jds.2019-17342. Epub 2020 Jan 31.
7
Effects of management and genetics on udder health and milk composition in dairy cows.管理与遗传因素对奶牛乳房健康及牛奶成分的影响。
J Dairy Sci. 2007 Jan;90(1):229-38. doi: 10.3168/jds.S0022-0302(07)72624-3.
8
Estimation of genetic parameters for udder traits in Hereford cattle.海福特牛乳房性状遗传参数的估计
J Anim Sci. 2015 Jun;93(6):2663-8. doi: 10.2527/jas.2014-8858.
9
Genetic Relationship of Productive Life, Production and Type Traits of Korean Holsteins at Early Lactations.韩国荷斯坦牛初乳期生产寿命、生产性能和类型性状的遗传关系
Asian-Australas J Anim Sci. 2015 Sep;28(9):1259-65. doi: 10.5713/ajas.15.0034.
10
Short communication: Genetic aspects of milk differential somatic cell count in Holstein cows: A preliminary analysis.短篇交流:荷斯坦奶牛牛奶差异体细胞计数的遗传方面:初步分析。
J Dairy Sci. 2019 May;102(5):4275-4279. doi: 10.3168/jds.2018-16092. Epub 2019 Mar 1.

引用本文的文献

1
Adding behavior traits to select for heat tolerance in dairy cattle.增加行为特征以选择耐热奶牛。
JDS Commun. 2024 Jan 15;5(5):368-373. doi: 10.3168/jdsc.2023-0421. eCollection 2024 Sep.
2
Genetic association between fat-to-protein ratio and traits of economic interest in early lactation Holstein cows in Brazil.巴西荷斯坦奶牛泌乳早期脂肪-蛋白比与经济性状的遗传关联。
Trop Anim Health Prod. 2024 Feb 27;56(2):90. doi: 10.1007/s11250-024-03937-9.
3
Genomic Characterization and Initial Insight into Mastitis-Associated SNP Profiles of Local Latvian Breeds.

本文引用的文献

1
Confirmed effects of candidate variants for milk production, udder health, and udder morphology in dairy cattle.奶牛产奶量、乳房健康和乳房形态的候选变异的已确认效应。
Genet Sel Evol. 2020 Oct 1;52(1):55. doi: 10.1186/s12711-020-00575-1.
2
Genetic parameters of weeping teats in Italian Saanen and Alpine dairy goats and their relationship with milk production and somatic cell score.意大利撒能奶山羊和阿尔卑斯奶山羊的产乳性乳房炎与体细胞评分相关的遗传参数
J Dairy Sci. 2020 Oct;103(10):9167-9176. doi: 10.3168/jds.2020-18175. Epub 2020 Jul 23.
3
Symposium review: Development, implementation, and perspectives of health evaluations in the United States.
拉脱维亚本地品种乳腺炎相关单核苷酸多态性图谱的基因组特征分析及初步见解
Animals (Basel). 2023 Aug 31;13(17):2776. doi: 10.3390/ani13172776.
4
Genome-Wide Association Study Candidate Genes on Mammary System-Related Teat-Shape Conformation Traits in Chinese Holstein Cattle.全基因组关联研究候选基因与中国荷斯坦奶牛乳腺系统相关的乳头形状形态特征。
Genes (Basel). 2021 Dec 19;12(12):2020. doi: 10.3390/genes12122020.
研讨会综述:美国健康评估的发展、实施和展望。
J Dairy Sci. 2020 Jun;103(6):5354-5365. doi: 10.3168/jds.2019-17687. Epub 2020 Apr 22.
4
Association between teat-end hyperkeratosis and mastitis in dairy cows: A systematic review.奶牛乳头部过度角化与乳腺炎的相关性:系统评价。
J Dairy Sci. 2020 Feb;103(2):1843-1855. doi: 10.3168/jds.2019-16811. Epub 2019 Nov 20.
5
Review: Milking machine settings, teat condition and milking efficiency in dairy cows.综述:奶牛挤奶机设定、乳头状况与挤奶效率。
Animal. 2019 Jul;13(S1):s94-s99. doi: 10.1017/S1751731119000417.
6
Invited review: Accelerating mammary gland involution after drying-off in dairy cattle.特邀综述:奶牛干奶后加速乳腺退化
J Dairy Sci. 2019 Aug;102(8):6701-6717. doi: 10.3168/jds.2019-16377. Epub 2019 Jun 13.
7
Genetic Selection for Mastitis Resistance.遗传选择用于乳腺炎抗性。
Vet Clin North Am Food Anim Pract. 2018 Nov;34(3):457-472. doi: 10.1016/j.cvfa.2018.07.001.
8
Alternative somatic cell count traits exploitable in genetic selection for mastitis resistance in Italian Holsteins.可用于意大利荷斯坦牛乳腺炎遗传选择的替代体细胞计数性状。
J Dairy Sci. 2018 Nov;101(11):10001-10010. doi: 10.3168/jds.2018-14827. Epub 2018 Aug 23.
9
Symposium review: Novel strategies to genetically improve mastitis resistance in dairy cattle.研讨会综述:通过基因改良提高奶牛乳腺炎抗性的新策略。
J Dairy Sci. 2018 Mar;101(3):2724-2736. doi: 10.3168/jds.2017-13554. Epub 2018 Jan 10.
10
A 100-Year Review: Identification and genetic selection of economically important traits in dairy cattle.一个世纪的回顾:奶牛重要经济性状的鉴定和遗传选择。
J Dairy Sci. 2017 Dec;100(12):10251-10271. doi: 10.3168/jds.2017-12968.