Suppr超能文献

控制和纤维素环保合成及 BiOCO 量子点纳米结构(QDNS)的表征和药物输送研究。

Controlled and cellulose eco-friendly synthesis and characterization of BiOCO quantum dot nanostructures (QDNSs) and drug delivery study.

机构信息

Student Research Committee, Kerman University of Medical Sciences, Kerman, Iran.

Neuroscience Research Center, Institute of Neuropharmacology, Kerman University of Medical Sciences, Kerman, Iran.

出版信息

Sci Rep. 2020 Dec 4;10(1):21302. doi: 10.1038/s41598-020-78266-6.

Abstract

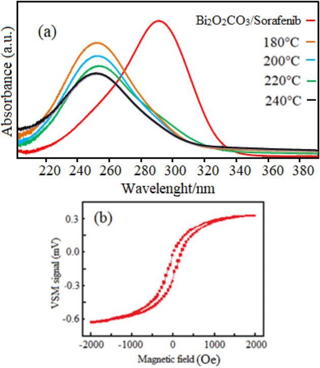
This work aimed to prepare solvent-free or green BiOCO for quantum dot nanostructures (QDNSs) based on cellulose as a stabilizer and green capping agent to sorafenib delivery for liver targeting. Because the walnut tree is one of the most abundant trees in Iran, it was tried to synthesize BiOCO QDNSs using a walnut skin extract. The saturation magnetization for BiOCO QDNSs was calculated to be 68.1. Also, the size of products was measured at around 60-80 nm with the Debye-Scherrer equation. Moreover, the morphology, functional groups, and crystallography of the BiOCO nanoparticles were investigated using atomic force microscopy, scanning electron microscopy, vibrating-sample magnetometer, and Uv-vis spectroscopy. The results demonstrated that BiOCO QDNSs have opto-magnetic properties and they can be suggested as the candidate materials for the sorafenib delivery on the liver tissue. The optical band gap estimated for BiOCO QDNSs was found to be red-shift from 3.22 eV. This study suggests the preparation of the BiOCO QDNSs based on cellulose as new opto-magnetic materials at different temperatures of 180 °C, 200 °C, 220 °C, and 240 °C for sorafenib delivery as a type of biological therapy drug.

摘要

本工作旨在制备基于纤维素的无溶剂或绿色 BiOCO 用于量子点纳米结构 (QDNSs),作为稳定剂和绿色封端剂,用于索拉非尼的肝靶向输送。由于核桃树是伊朗最丰富的树种之一,因此尝试使用核桃皮提取物合成 BiOCO QDNSs。计算出 BiOCO QDNSs 的饱和磁化强度为 68.1。此外,使用原子力显微镜、扫描电子显微镜、振动样品磁强计和 Uv-vis 光谱法测量产品的尺寸约为 60-80nm。此外,还研究了 BiOCO 纳米粒子的形貌、官能团和结晶度。结果表明,BiOCO QDNSs 具有光电磁性能,可作为索拉非尼在肝组织中输送的候选材料。对于 BiOCO QDNSs,估计的光学带隙发现从 3.22eV 红移。本研究建议在 180°C、200°C、220°C 和 240°C 等不同温度下基于纤维素制备 BiOCO QDNSs,作为一种生物治疗药物用于索拉非尼输送的新型光电磁材料。

https://cdn.ncbi.nlm.nih.gov/pmc/blobs/e0b9/7718884/fbdfe4dba925/41598_2020_78266_Fig1_HTML.jpg

文献检索

告别复杂PubMed语法,用中文像聊天一样搜索,搜遍4000万医学文献。AI智能推荐,让科研检索更轻松。

立即免费搜索

文件翻译

保留排版,准确专业,支持PDF/Word/PPT等文件格式,支持 12+语言互译。

免费翻译文档

深度研究

AI帮你快速写综述,25分钟生成高质量综述,智能提取关键信息,辅助科研写作。

立即免费体验