• 文献检索
  • 文档翻译
  • 深度研究
  • 学术资讯
  • Suppr Zotero 插件Zotero 插件
  • 邀请有礼
  • 套餐&价格
  • 历史记录
应用&插件
Suppr Zotero 插件Zotero 插件浏览器插件Mac 客户端Windows 客户端微信小程序
定价
高级版会员购买积分包购买API积分包
服务
文献检索文档翻译深度研究API 文档MCP 服务
关于我们
关于 Suppr公司介绍联系我们用户协议隐私条款
关注我们

Suppr 超能文献

核心技术专利:CN118964589B侵权必究
粤ICP备2023148730 号-1Suppr @ 2026

文献检索

告别复杂PubMed语法,用中文像聊天一样搜索,搜遍4000万医学文献。AI智能推荐,让科研检索更轻松。

立即免费搜索

文件翻译

保留排版,准确专业,支持PDF/Word/PPT等文件格式,支持 12+语言互译。

免费翻译文档

深度研究

AI帮你快速写综述,25分钟生成高质量综述,智能提取关键信息,辅助科研写作。

立即免费体验

用于麦克风识别的熵度量评估

An Evaluation of Entropy Measures for Microphone Identification.

作者信息

Baldini Gianmarco, Amerini Irene

机构信息

European Commission, Joint Research Centre, 21027 Ispra, Italy.

Department of Computer Science, Sapienza University of Rome, 00185 Roma, Italy.

出版信息

Entropy (Basel). 2020 Oct 30;22(11):1235. doi: 10.3390/e22111235.

DOI:10.3390/e22111235
PMID:33287003
原文链接:https://pmc.ncbi.nlm.nih.gov/articles/PMC7712015/
Abstract

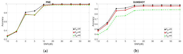
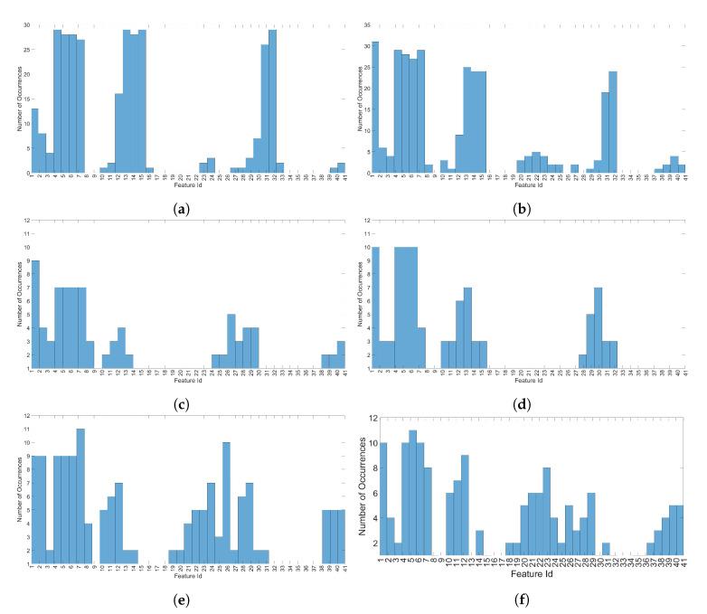
Research findings have shown that microphones can be uniquely identified by audio recordings since physical features of the microphone components leave repeatable and distinguishable traces on the audio stream. This property can be exploited in security applications to perform the identification of a mobile phone through the built-in microphone. The problem is to determine an accurate but also efficient representation of the physical characteristics, which is not known a priori. Usually there is a trade-off between the identification accuracy and the time requested to perform the classification. Various approaches have been used in literature to deal with it, ranging from the application of handcrafted statistical features to the recent application of deep learning techniques. This paper evaluates the application of different entropy measures (Shannon Entropy, Permutation Entropy, Dispersion Entropy, Approximate Entropy, Sample Entropy, and Fuzzy Entropy) and their suitability for microphone classification. The analysis is validated against an experimental dataset of built-in microphones of 34 mobile phones, stimulated by three different audio signals. The findings show that selected entropy measures can provide a very high identification accuracy in comparison to other statistical features and that they can be robust against the presence of noise. This paper performs an extensive analysis based on filter features selection methods to identify the most discriminating entropy measures and the related hyper-parameters (e.g., embedding dimension). Results on the trade-off between accuracy and classification time are also presented.

摘要

研究结果表明,由于麦克风组件的物理特征会在音频流上留下可重复且可区分的痕迹,因此可以通过音频记录对麦克风进行唯一识别。这一特性可用于安全应用中,通过内置麦克风对手机进行识别。问题在于确定物理特征的准确且高效的表示形式,而这是无法事先得知的。通常在识别精度和执行分类所需的时间之间存在权衡。文献中已使用了各种方法来处理这一问题,从手工制作的统计特征的应用到深度学习技术的最新应用。本文评估了不同熵度量(香农熵、排列熵、离散熵、近似熵、样本熵和模糊熵)的应用及其对麦克风分类的适用性。针对由三种不同音频信号激励的34部手机的内置麦克风实验数据集对该分析进行了验证。研究结果表明,与其他统计特征相比,选定的熵度量可以提供非常高的识别精度,并且它们对噪声的存在具有鲁棒性。本文基于滤波器特征选择方法进行了广泛分析,以识别最具区分性的熵度量和相关超参数(例如嵌入维度)。还给出了精度和分类时间之间权衡的结果。

https://cdn.ncbi.nlm.nih.gov/pmc/blobs/ce67/7712015/32546029f750/entropy-22-01235-g014.jpg
https://cdn.ncbi.nlm.nih.gov/pmc/blobs/ce67/7712015/271134c8ed06/entropy-22-01235-g001.jpg
https://cdn.ncbi.nlm.nih.gov/pmc/blobs/ce67/7712015/8c44035e0aa9/entropy-22-01235-g002.jpg
https://cdn.ncbi.nlm.nih.gov/pmc/blobs/ce67/7712015/1a39630293d2/entropy-22-01235-g003.jpg
https://cdn.ncbi.nlm.nih.gov/pmc/blobs/ce67/7712015/df2d3c0de14e/entropy-22-01235-g004.jpg
https://cdn.ncbi.nlm.nih.gov/pmc/blobs/ce67/7712015/6350d41159a1/entropy-22-01235-g005.jpg
https://cdn.ncbi.nlm.nih.gov/pmc/blobs/ce67/7712015/3f9d3d4b6948/entropy-22-01235-g006.jpg
https://cdn.ncbi.nlm.nih.gov/pmc/blobs/ce67/7712015/3e22c66e055c/entropy-22-01235-g007.jpg
https://cdn.ncbi.nlm.nih.gov/pmc/blobs/ce67/7712015/56343cc55be7/entropy-22-01235-g008.jpg
https://cdn.ncbi.nlm.nih.gov/pmc/blobs/ce67/7712015/5fa453b432f1/entropy-22-01235-g009.jpg
https://cdn.ncbi.nlm.nih.gov/pmc/blobs/ce67/7712015/58df3e94f77e/entropy-22-01235-g010.jpg
https://cdn.ncbi.nlm.nih.gov/pmc/blobs/ce67/7712015/4dd58795ac02/entropy-22-01235-g011.jpg
https://cdn.ncbi.nlm.nih.gov/pmc/blobs/ce67/7712015/1ec52ffc2945/entropy-22-01235-g012a.jpg
https://cdn.ncbi.nlm.nih.gov/pmc/blobs/ce67/7712015/b29e44bd5327/entropy-22-01235-g013a.jpg
https://cdn.ncbi.nlm.nih.gov/pmc/blobs/ce67/7712015/32546029f750/entropy-22-01235-g014.jpg
https://cdn.ncbi.nlm.nih.gov/pmc/blobs/ce67/7712015/271134c8ed06/entropy-22-01235-g001.jpg
https://cdn.ncbi.nlm.nih.gov/pmc/blobs/ce67/7712015/8c44035e0aa9/entropy-22-01235-g002.jpg
https://cdn.ncbi.nlm.nih.gov/pmc/blobs/ce67/7712015/1a39630293d2/entropy-22-01235-g003.jpg
https://cdn.ncbi.nlm.nih.gov/pmc/blobs/ce67/7712015/df2d3c0de14e/entropy-22-01235-g004.jpg
https://cdn.ncbi.nlm.nih.gov/pmc/blobs/ce67/7712015/6350d41159a1/entropy-22-01235-g005.jpg
https://cdn.ncbi.nlm.nih.gov/pmc/blobs/ce67/7712015/3f9d3d4b6948/entropy-22-01235-g006.jpg
https://cdn.ncbi.nlm.nih.gov/pmc/blobs/ce67/7712015/3e22c66e055c/entropy-22-01235-g007.jpg
https://cdn.ncbi.nlm.nih.gov/pmc/blobs/ce67/7712015/56343cc55be7/entropy-22-01235-g008.jpg
https://cdn.ncbi.nlm.nih.gov/pmc/blobs/ce67/7712015/5fa453b432f1/entropy-22-01235-g009.jpg
https://cdn.ncbi.nlm.nih.gov/pmc/blobs/ce67/7712015/58df3e94f77e/entropy-22-01235-g010.jpg
https://cdn.ncbi.nlm.nih.gov/pmc/blobs/ce67/7712015/4dd58795ac02/entropy-22-01235-g011.jpg
https://cdn.ncbi.nlm.nih.gov/pmc/blobs/ce67/7712015/1ec52ffc2945/entropy-22-01235-g012a.jpg
https://cdn.ncbi.nlm.nih.gov/pmc/blobs/ce67/7712015/b29e44bd5327/entropy-22-01235-g013a.jpg
https://cdn.ncbi.nlm.nih.gov/pmc/blobs/ce67/7712015/32546029f750/entropy-22-01235-g014.jpg

相似文献

1
An Evaluation of Entropy Measures for Microphone Identification.用于麦克风识别的熵度量评估
Entropy (Basel). 2020 Oct 30;22(11):1235. doi: 10.3390/e22111235.
2
Identification of Mobile Phones Using the Built-In Magnetometers Stimulated by Motion Patterns.利用运动模式激发的内置磁力计识别手机
Sensors (Basel). 2017 Apr 6;17(4):783. doi: 10.3390/s17040783.
3
Bubble Entropy: An Entropy Almost Free of Parameters.气泡熵:一种几乎无参数的熵。
IEEE Trans Biomed Eng. 2017 Nov;64(11):2711-2718. doi: 10.1109/TBME.2017.2664105.
4
Complexity and entropy representation for machine component diagnostics.机器部件诊断的复杂性和熵表示。
PLoS One. 2019 Jul 9;14(7):e0217919. doi: 10.1371/journal.pone.0217919. eCollection 2019.
5
Multi-Feature Fusion Method Based on EEG Signal and its Application in Stroke Classification.基于 EEG 信号的多特征融合方法及其在中风分类中的应用。
J Med Syst. 2019 Dec 21;44(2):39. doi: 10.1007/s10916-019-1517-9.
6
Ensemble Improved Permutation Entropy: A New Approach for Time Series Analysis.集成改进排列熵:一种时间序列分析的新方法。
Entropy (Basel). 2023 Aug 7;25(8):1175. doi: 10.3390/e25081175.
7
Model Selection for Body Temperature Signal Classification Using Both Amplitude and Ordinality-Based Entropy Measures.基于幅度和顺序熵测度的体温信号分类模型选择
Entropy (Basel). 2018 Nov 6;20(11):853. doi: 10.3390/e20110853.
8
Deep Learning Based Real-time Speech Enhancement for Dual-microphone Mobile Phones.基于深度学习的双麦克风手机实时语音增强
IEEE/ACM Trans Audio Speech Lang Process. 2021;29:1853-1863. doi: 10.1109/taslp.2021.3082318. Epub 2021 May 21.
9
Variable-Step Multiscale Fuzzy Dispersion Entropy: A Novel Metric for Signal Analysis.可变步长多尺度模糊分散熵:一种用于信号分析的新指标
Entropy (Basel). 2023 Jun 29;25(7):997. doi: 10.3390/e25070997.
10
Effect of embedding dimension on complexity measures in identifying Arrhythmia.嵌入维数对心律失常识别中复杂性度量的影响。
Annu Int Conf IEEE Eng Med Biol Soc. 2016 Aug;2016:6230-6233. doi: 10.1109/EMBC.2016.7592152.

本文引用的文献

1
A Multiple Rényi Entropy Based Intrusion Detection System for Connected Vehicles.一种基于多重雷尼熵的车联网入侵检测系统
Entropy (Basel). 2020 Feb 6;22(2):186. doi: 10.3390/e22020186.
2
Approximate Entropy and Sample Entropy: A Comprehensive Tutorial.近似熵与样本熵:全面教程
Entropy (Basel). 2019 May 28;21(6):541. doi: 10.3390/e21060541.
3
Identification of Multiple Faults in Gearbox Based on Multipoint Optional Minimum Entropy Deconvolution Adjusted and Permutation Entropy.基于多点可选最小熵解卷积调整和排列熵的齿轮箱多故障识别
Entropy (Basel). 2018 Nov 6;20(11):850. doi: 10.3390/e20110850.
4
Secure and Reliable Key Agreement with Physical Unclonable Functions.基于物理不可克隆功能的安全可靠密钥协商
Entropy (Basel). 2018 May 3;20(5):340. doi: 10.3390/e20050340.
5
hctsa: A Computational Framework for Automated Time-Series Phenotyping Using Massive Feature Extraction.hctsa:一种使用海量特征提取进行自动化时间序列表型分析的计算框架。
Cell Syst. 2017 Nov 22;5(5):527-531.e3. doi: 10.1016/j.cels.2017.10.001. Epub 2017 Nov 1.
6
Refined multiscale fuzzy entropy based on standard deviation for biomedical signal analysis.基于标准差的精细化多尺度模糊熵在生物医学信号分析中的应用。
Med Biol Eng Comput. 2017 Nov;55(11):2037-2052. doi: 10.1007/s11517-017-1647-5. Epub 2017 May 2.
7
Refined Composite Multiscale Dispersion Entropy and its Application to Biomedical Signals.精细化复合多尺度散布熵及其在生物医学信号中的应用。
IEEE Trans Biomed Eng. 2017 Dec;64(12):2872-2879. doi: 10.1109/TBME.2017.2679136. Epub 2017 Mar 8.
8
Highly comparative time-series analysis: the empirical structure of time series and their methods.高度比较时间序列分析:时间序列的经验结构及其方法。
J R Soc Interface. 2013 Apr 3;10(83):20130048. doi: 10.1098/rsif.2013.0048. Print 2013 Jun 6.
9
Measuring complexity using FuzzyEn, ApEn, and SampEn.使用模糊熵(FuzzyEn)、近似熵(ApEn)和样本熵(SampEn)测量复杂性。
Med Eng Phys. 2009 Jan;31(1):61-8. doi: 10.1016/j.medengphy.2008.04.005. Epub 2008 Jun 5.
10
Permutation entropy: a natural complexity measure for time series.排列熵:一种用于时间序列的自然复杂性度量。
Phys Rev Lett. 2002 Apr 29;88(17):174102. doi: 10.1103/PhysRevLett.88.174102. Epub 2002 Apr 11.