Suppr超能文献

蒽的两个偶氮二苯醚基团的黄色染料的物理、热和生物学性质。

Physical, Thermal and Biological Properties of Yellow Dyes with Two Azodiphenylether Groups of Anthracene.

机构信息

Department of Physics, Faculty of Sciences, University of Craiova, Str. A.I. Cuza, Nr. 13, 200585 Craiova, Romania.

Department of Chemistry, Faculty of Sciences, University of Craiova, Str. AI Cuza, Nr. 13, 200585 Craiova, Romania.

出版信息

Molecules. 2020 Dec 6;25(23):5757. doi: 10.3390/molecules25235757.

Abstract

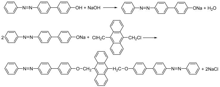
Two yellow bis-azo dyes containing anthracene and two azodiphenylether groups (BPA and BTA) were prepared, and an extensive investigation of their physical, thermal and biological properties was carried out. The chemical structure was confirmed by the FTIR spectra, while from the UV-Vis spectra, the quantum efficiency of the laser fluorescence at the 476.5 nm was determined to be 0.33 (BPA) and 0.50 (BTA). The possible transitions between the energy levels of the electrons of the chemical elements were established, identifying the energies and the electronic configurations of the levels of transition. Both crystals are anisotropic, the optical phenomenon of double refraction of polarized light (birefringence) taking place. Images of maximum illumination and extinction were recorded when the crystals of the bis-azo compounds rotated by 90° each, which confirms their birefringence. A morphologic study of the thin films deposited onto glass surfaces was performed, proving the good adhesion of both dyes. By thermal analysis and calorimetry, the melting temperatures were determined (~224-225 °C for both of them), as well as their decomposition pathways and thermal effects (enthalpy variations during undergoing processes); thus, good thermal stability was exhibited. The interaction of the two compounds with collagen in the suede was studied, as well as their antioxidant activity, advocating for good chemical stability and potential to be safely used as coloring agents in the food industry.

摘要

合成了两种含有蒽和两个偶氮二苯醚基团的黄色双偶氮染料(BPA 和 BTA),并对其物理、热和生物性质进行了广泛的研究。通过傅里叶变换红外光谱(FTIR)确定了其化学结构,通过紫外可见光谱(UV-Vis)确定了在 476.5nm 处激光荧光的量子效率为 0.33(BPA)和 0.50(BTA)。建立了化学元素电子能级之间的可能跃迁,确定了跃迁能级的能量和电子组态。两种晶体均具有各向异性,发生了偏振光的双折射光学现象。当双偶氮化合物各自旋转 90°时,记录了最大照明和消光的图像,这证实了它们的双折射。对沉积在玻璃表面的薄膜进行了形态学研究,证明了两种染料的良好附着力。通过热分析和量热法确定了它们的熔点(~224-225°C),以及它们的分解途径和热效应(在进行过程中焓的变化);因此,表现出良好的热稳定性。研究了两种化合物与绒面革中胶原的相互作用以及它们的抗氧化活性,表明它们具有良好的化学稳定性和作为食品工业着色剂安全使用的潜力。

https://cdn.ncbi.nlm.nih.gov/pmc/blobs/c5b9/7731036/a4928f61db11/molecules-25-05757-g001.jpg

文献检索

告别复杂PubMed语法,用中文像聊天一样搜索,搜遍4000万医学文献。AI智能推荐,让科研检索更轻松。

立即免费搜索

文件翻译

保留排版,准确专业,支持PDF/Word/PPT等文件格式,支持 12+语言互译。

免费翻译文档

深度研究

AI帮你快速写综述,25分钟生成高质量综述,智能提取关键信息,辅助科研写作。

立即免费体验