Suppr超能文献

柏林德语中情境化咝音交替的社会意义

The Social Meaning of Contextualized Sibilant Alternations in Berlin German.

作者信息

Weirich Melanie, Jannedy Stefanie, Schüppenhauer Gediminas

机构信息

Leibniz-Centre General Linguistics, Berlin, Germany.

出版信息

Front Psychol. 2020 Oct 29;11:566174. doi: 10.3389/fpsyg.2020.566174. eCollection 2020.

Abstract

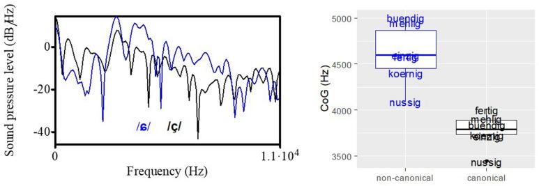
In Berlin, the pronunciation of /ç/ as [ɕ] is associated with the multi-ethnic youth variety (). This alternation is also known to be produced by French learners of German. While listeners form socio-cultural interpretations upon hearing language input, the associations differ depending on the listeners' biases and stereotypes toward speakers or groups. Here, the contrast of interest concerns two speaker groups using the [ç]-[ɕ] alternation: multi-ethnic adolescents from Berlin neighborhoods carrying low social prestige in mainstream German society and French learners of German supposedly having higher cultural prestige. To understand the strength of associations between phonetic alternations and social attributes, we ran an Implicit Association Task with 131 participants (three groups varying in age and ethnic background (mono- vs. multi-ethnic German) using auditory and written stimuli. In experiment 1, participants categorized written words as having a positive () or negative () valence and auditory stimuli containing pronunciation variations of /ç/ as canonical [ç] (labeled [a term used in Germany for Standard German]) or non-canonical [ɕ] (labeled ). In experiment 2, identical auditory stimuli were used but the label was changed to . Results show faster reaction times when negative categories and non-canonical pronunciations or positive categories and canonical pronunciations were mapped to the same response key, indicating a tight association between value judgments and concept categories. Older German listeners (OMO) match a supposed accent more readily with negatively connotated words compared to a supposed French accent, while younger German listeners (YMO) seem to be indifferent toward this variation. Young multi-ethnic listeners (YMU), however, seem to associate negative concepts more strongly with a supposed French accent compared to . These results demonstrate how social and cultural contextualization influences language interpretation and evaluation. We interpret our findings as a loss of cultural prestige of French speakers for the YMO group compared to the OMO group: younger urban listeners do not react differently to these contextual primes. YMU listeners, however, show a positive bias toward their in-group. Our results point to implicit listener attitudes, beliefs, stereotypes and shared world knowledge as significant factors in culturally- and socially situated language processing.

摘要

在柏林,/ç/发成[ɕ]的发音与多民族青年变体有关。这种交替发音也为学德语的法国人所使用。当听众听到语言输入时会形成社会文化解读,但这种关联因听众对说话者或群体的偏见和刻板印象而有所不同。在此,我们感兴趣的对比涉及两组使用[ç]-[ɕ]交替发音的说话者群体:来自柏林社区、在德国主流社会中社会声望较低的多民族青少年,以及据称具有较高文化声望的学德语的法国人。为了理解语音交替与社会属性之间关联的强度,我们对131名参与者(三个年龄和种族背景不同的组(单民族与多民族德国人))进行了一项内隐联想测验,使用了听觉和书面刺激。在实验1中,参与者将书面单词分类为具有积极或消极的效价,并将包含/ç/发音变体的听觉刺激分类为标准的[ç](用德国用于标准德语的一个术语表示)或非标准的[ɕ](用表示)。在实验2中,使用了相同的听觉刺激,但标签被改为。结果表明,当消极类别与非标准发音或积极类别与标准发音被映射到同一个反应键时,反应时间更快,这表明价值判断和概念类别之间存在紧密关联。与假定的法国口音相比,年长的德国听众(OMO)更容易将假定的口音与带有负面含义的单词匹配,而年轻的德国听众(YMO)似乎对这种变体无动于衷。然而,年轻的多民族听众(YMU)似乎将负面概念与假定的法国口音的关联比与更强。这些结果表明社会和文化背景如何影响语言解读和评价。我们将我们的发现解释为与OMO组相比,YMO组中说法语者的文化声望丧失:年轻的城市听众对这些背景线索没有不同反应。然而,YMU听众对他们的内群体表现出积极偏见。我们的结果表明,听众的内隐态度、信念、刻板印象和共享的世界知识是文化和社会情境化语言处理中的重要因素。

https://cdn.ncbi.nlm.nih.gov/pmc/blobs/aa14/7720850/2b83bbad73ea/fpsyg-11-566174-g001.jpg

文献AI研究员

20分钟写一篇综述,助力文献阅读效率提升50倍。

立即体验

用中文搜PubMed

大模型驱动的PubMed中文搜索引擎

马上搜索

文档翻译

学术文献翻译模型,支持多种主流文档格式。

立即体验