Suppr超能文献

带有额外红点的拼写范式提高了P300拼写器系统的性能。

A Spelling Paradigm With an Added Red Dot Improved the P300 Speller System Performance.

作者信息

Wu Yan, Zhou Weiwei, Lu Zhaohua, Li Qi

机构信息

School of Computer Science and Technology, Changchun University of Science and Technology, Changchun, China.

出版信息

Front Neuroinform. 2020 Dec 3;14:589169. doi: 10.3389/fninf.2020.589169. eCollection 2020.

Abstract

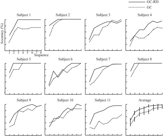
The traditional P300 speller system uses the flashing row or column spelling paradigm. However, the classification accuracy and information transfer rate of the P300 speller are not adequate for real-world application. To improve the performance of the P300 speller, we devised a new spelling paradigm in which the flashing row or column of a virtual character matrix is covered by a translucent green circle with a red dot in either the upper or lower half (GC-RD spelling paradigm). We compared the event-related potential (ERP) waveforms with a control paradigm (GC spelling paradigm), in which the flashing row or column of a virtual character matrix was covered by a translucent green circle only. Our experimental results showed that the amplitude of P3a at the parietal area and P3b at the frontal-central-parietal areas evoked by the GC-RD paradigm were significantly greater than those induced by the GC paradigm. Higher classification accuracy and information transmission rates were also obtained in the GC-RD system. Our results indicated that the added red dots increased attention and visuospatial information, resulting in an amplitude increase in both P3a and P3b, thereby improving the performance of the P300 speller system.

摘要

传统的P300拼写系统采用闪烁行或列的拼写范式。然而,P300拼写器的分类准确率和信息传输率不足以满足实际应用。为了提高P300拼写器的性能,我们设计了一种新的拼写范式,其中虚拟字符矩阵的闪烁行或列由一个半透明的绿色圆圈覆盖,该圆圈的上半部分或下半部分有一个红点(GC-RD拼写范式)。我们将事件相关电位(ERP)波形与一种对照范式(GC拼写范式)进行了比较,在GC拼写范式中,虚拟字符矩阵的闪烁行或列仅由一个半透明的绿色圆圈覆盖。我们的实验结果表明,GC-RD范式诱发的顶叶区域的P3a和额中央顶叶区域的P3b的振幅显著大于GC范式诱发的振幅。在GC-RD系统中也获得了更高的分类准确率和信息传输率。我们的结果表明,添加的红点增加了注意力和视觉空间信息,导致P3a和P3b的振幅均增加,从而提高了P300拼写器系统的性能。

https://cdn.ncbi.nlm.nih.gov/pmc/blobs/95e1/7744603/0929fbad650a/fninf-14-589169-g0001.jpg

文献检索

告别复杂PubMed语法,用中文像聊天一样搜索,搜遍4000万医学文献。AI智能推荐,让科研检索更轻松。

立即免费搜索

文件翻译

保留排版,准确专业,支持PDF/Word/PPT等文件格式,支持 12+语言互译。

免费翻译文档

深度研究

AI帮你快速写综述,25分钟生成高质量综述,智能提取关键信息,辅助科研写作。

立即免费体验