• 文献检索
  • 文档翻译
  • 深度研究
  • 学术资讯
  • Suppr Zotero 插件Zotero 插件
  • 邀请有礼
  • 套餐&价格
  • 历史记录
应用&插件
Suppr Zotero 插件Zotero 插件浏览器插件Mac 客户端Windows 客户端微信小程序
定价
高级版会员购买积分包购买API积分包
服务
文献检索文档翻译深度研究API 文档MCP 服务
关于我们
关于 Suppr公司介绍联系我们用户协议隐私条款
关注我们

Suppr 超能文献

核心技术专利:CN118964589B侵权必究
粤ICP备2023148730 号-1Suppr @ 2026

文献检索

告别复杂PubMed语法,用中文像聊天一样搜索,搜遍4000万医学文献。AI智能推荐,让科研检索更轻松。

立即免费搜索

文件翻译

保留排版,准确专业,支持PDF/Word/PPT等文件格式,支持 12+语言互译。

免费翻译文档

深度研究

AI帮你快速写综述,25分钟生成高质量综述,智能提取关键信息,辅助科研写作。

立即免费体验

基于实验室的预测男女冬季两项运动员滑雪成绩的因素

Laboratory-Based Factors Predicting Skiing Performance in Female and Male Biathletes.

作者信息

Laaksonen Marko S, Andersson Erik, Jonsson Kårström Malin, Lindblom Hampus, McGawley Kerry

机构信息

Department of Health Sciences, Swedish Winter Sports Research Centre, Mid Sweden University, Östersund, Sweden.

出版信息

Front Sports Act Living. 2020 Aug 5;2:99. doi: 10.3389/fspor.2020.00099. eCollection 2020.

DOI:10.3389/fspor.2020.00099
PMID:33345089
原文链接:https://pmc.ncbi.nlm.nih.gov/articles/PMC7739653/
Abstract

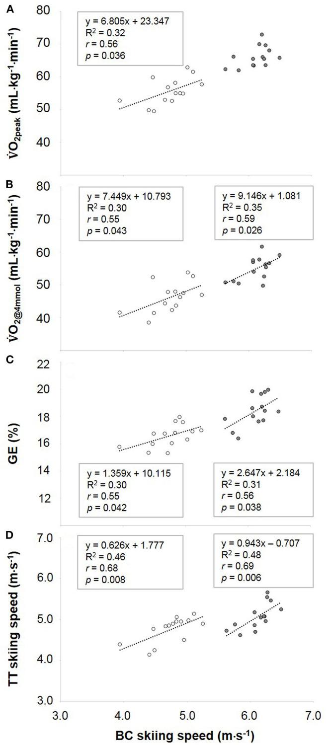
Skiing in biathlon is a high-intensity, intermittent endurance discipline. This study aimed to evaluate the relationships between laboratory-derived physiological variables and skiing performance during a field-based biathlon competition (BC) for female and male biathletes. Fourteen female (23 ± 3 year, O 56 ± 4 mL·kg·min) and 14 male (24 ± 4 year, O 66 ± 3 mL·kg·min) biathletes performed a submaximal incremental test and a maximal time-trial (TT) using treadmill roller-skiing for the assessment of oxygen uptake at a lactate threshold of 4 mmol·L ( O), gross efficiency (GE), aerobic (MR) and anaerobic (MR) metabolic rates, peak oxygen consumption ( O), anaerobic capacity and TT performance. Field-based skiing performance was assessed during a BC. The TT and BC skiing performances were significantly correlated in both sexes ( = 0.68-0.69, < 0.01). O (31/21%), anaerobic capacity (1/0%), and GE (35/32%) explained 67 and 52% of the variance in BC skiing performance for the females ( < 0.01) and males ( = 0.051), respectively. A second model showed that O (30/35%), anaerobic capacity (0/0%) and GE (37/13%) explained 67 and 48% of the variance in BC skiing performance for the females ( < 0.01) and males ( = 0.077), respectively. Results of this study suggest that a high O and GE, but not anaerobic capacity, are important for BC skiing performance, especially for females. In addition, a laboratory-based TT could be useful for regular laboratory testing of biathletes due to its relationship with field-based skiing performance in biathlon.

摘要

冬季两项中的滑雪是一项高强度、间歇性的耐力项目。本研究旨在评估在一项针对男女冬季两项运动员的实地冬季两项比赛(BC)中,实验室得出的生理变量与滑雪成绩之间的关系。14名女性(23±3岁,摄氧量56±4 mL·kg·min)和14名男性(24±4岁,摄氧量66±3 mL·kg·min)冬季两项运动员进行了次最大递增测试和最大计时赛(TT),使用跑步机滚轮滑雪来评估4 mmol·L乳酸阈值时的摄氧量( O)、总效率(GE)、有氧代谢率(MR)和无氧代谢率(MR)、峰值耗氧量( O)、无氧能力和TT成绩。在BC比赛期间评估实地滑雪成绩。男女的TT和BC滑雪成绩均显著相关( = 0.68 - 0.69, < 0.01)。 O(31/21%)、无氧能力(1/0%)和GE(35/32%)分别解释了女性( < 0.01)和男性( = 0.051)BC滑雪成绩中67%和52%的方差。第二个模型显示, O(30/35%)、无氧能力(0/0%)和GE(37/13%)分别解释了女性( < 0.01)和男性( = 0.077)BC滑雪成绩中67%和48%的方差。本研究结果表明,高 O和GE,而非无氧能力,对BC滑雪成绩很重要,尤其是对女性。此外,基于实验室的TT因其与冬季两项实地滑雪成绩的关系,可能对冬季两项运动员的定期实验室测试有用。

https://cdn.ncbi.nlm.nih.gov/pmc/blobs/af60/7739653/5620f0c9b7ff/fspor-02-00099-g0001.jpg
https://cdn.ncbi.nlm.nih.gov/pmc/blobs/af60/7739653/5620f0c9b7ff/fspor-02-00099-g0001.jpg
https://cdn.ncbi.nlm.nih.gov/pmc/blobs/af60/7739653/5620f0c9b7ff/fspor-02-00099-g0001.jpg

相似文献

1
Laboratory-Based Factors Predicting Skiing Performance in Female and Male Biathletes.基于实验室的预测男女冬季两项运动员滑雪成绩的因素
Front Sports Act Living. 2020 Aug 5;2:99. doi: 10.3389/fspor.2020.00099. eCollection 2020.
2
Physiological Responses to Rifle Carriage During Roller-Skiing in Elite Biathletes.优秀冬季两项运动员越野滑雪时持枪的生理反应
Front Physiol. 2019 Dec 19;10:1519. doi: 10.3389/fphys.2019.01519. eCollection 2019.
3
Analysis of a Biathlon Sprint Competition and Associated Laboratory Determinants of Performance.冬季两项短距离赛竞赛及相关运动表现实验室测定因素分析
Front Sports Act Living. 2019 Nov 12;1:60. doi: 10.3389/fspor.2019.00060. eCollection 2019.
4
Physiological responses and performance factors for double-poling and diagonal-stride treadmill roller-skiing time-trial exercise.双杖和对角线踏步式踏雪板滑雪计时赛运动的生理反应和表现因素。
Eur J Appl Physiol. 2023 Nov;123(11):2495-2509. doi: 10.1007/s00421-023-05239-8. Epub 2023 Jun 11.
5
Physiological Demands of Competitive Sprint and Distance Performance in Elite Female Cross-Country Skiing.精英女子越野滑雪中短距离和长距离比赛的生理需求
J Strength Cond Res. 2016 Aug;30(8):2138-44. doi: 10.1519/JSC.0000000000001327.
6
Enhanced splenic volume and contraction in elite endurance athletes.精英耐力运动员的脾脏体积增大和收缩增强。
J Appl Physiol (1985). 2021 Aug 1;131(2):474-486. doi: 10.1152/japplphysiol.01066.2020. Epub 2021 Jun 24.
7
Heart Rate-Blood Lactate Profiling in World-Class Biathletes During Cross-Country Skiing: The Difference Between Laboratory and Field Tests.世界级冬季两项运动员越野滑雪时的心率-血乳酸特征:实验室测试与现场测试的差异。
Int J Sports Physiol Perform. 2023 May 19;18(7):780-785. doi: 10.1123/ijspp.2023-0011. Print 2023 Jul 1.
8
The Anaerobic Capacity of Cross-Country Skiers: The Effect of Computational Method and Skiing Sub-technique.越野滑雪运动员的无氧能力:计算方法和滑雪子技术的影响。
Front Sports Act Living. 2020 Apr 15;2:37. doi: 10.3389/fspor.2020.00037. eCollection 2020.
9
The Dynamics of the Anaerobic Energy Contribution During a Simulated Mass-Start Competition While Roller-Ski Skating on a Treadmill.在跑步机上进行模拟集体出发比赛时,轮滑滑雪过程中无氧能量贡献的动态变化。
Front Sports Act Living. 2021 Jul 8;3:695052. doi: 10.3389/fspor.2021.695052. eCollection 2021.
10
Treadmill roller ski test predicts biathlon roller ski race results of elite U.S. biathlon women.跑步机滚轮滑雪测试可预测美国精英冬季两项女子滚轮滑雪比赛成绩。
Med Sci Sports Exerc. 1995 Dec;27(12):1677-85.

引用本文的文献

1
Sex Differences in Performance and Performance-Determining Factors in the Olympic Winter Endurance Sports.奥林匹克冬季耐力运动中表现的性别差异及表现决定因素
Sports Med Open. 2024 Nov 20;10(1):126. doi: 10.1186/s40798-024-00792-8.
2
Physiological responses and performance factors for double-poling and diagonal-stride treadmill roller-skiing time-trial exercise.双杖和对角线踏步式踏雪板滑雪计时赛运动的生理反应和表现因素。
Eur J Appl Physiol. 2023 Nov;123(11):2495-2509. doi: 10.1007/s00421-023-05239-8. Epub 2023 Jun 11.
3
Anaerobic work capacity in cycling: the effect of computational method.

本文引用的文献

1
Physiological Responses to Rifle Carriage During Roller-Skiing in Elite Biathletes.优秀冬季两项运动员越野滑雪时持枪的生理反应
Front Physiol. 2019 Dec 19;10:1519. doi: 10.3389/fphys.2019.01519. eCollection 2019.
2
The influence of physiobiomechanical parameters, technical aspects of shooting, and psychophysiological factors on biathlon performance: A review.生理生物力学参数、射击技术方面以及心理生理因素对冬季两项运动成绩的影响:综述
J Sport Health Sci. 2018 Oct;7(4):394-404. doi: 10.1016/j.jshs.2018.09.003. Epub 2018 Sep 8.
3
The Contribution From Cross-Country Skiing and Shooting Variables on Performance-Level and Sex Differences in Biathlon World Cup Individual Races.
自行车无氧工作能力:计算方法的影响。
Eur J Appl Physiol. 2022 Dec;122(12):2637-2650. doi: 10.1007/s00421-022-05038-7. Epub 2022 Sep 17.
4
Physiological Effects of Training in Elite German Winter Sport Athletes: Sport Specific Remodeling Determined Using Echocardiographic Data and CPET Performance Parameters.德国优秀冬季项目运动员训练的生理效应:利用超声心动图数据和心肺运动试验性能参数确定的专项运动重塑
J Cardiovasc Dev Dis. 2022 Jul 25;9(8):235. doi: 10.3390/jcdd9080235.
5
Anthropometrical and Physiological Determinants of Laboratory and on-Snow Performance in Competitive Adolescent Cross-Country Skiers.青少年越野滑雪运动员实验室及雪上竞赛表现的人体测量学和生理学决定因素
Front Physiol. 2022 May 24;13:819979. doi: 10.3389/fphys.2022.819979. eCollection 2022.
6
Monitoring Acclimatization and Training Responses Over 17-21 Days at 1,800 m in Elite Cross-Country Skiers and Biathletes.监测精英越野滑雪运动员和冬季两项运动员在海拔1800米处17至21天的适应过程和训练反应。
Front Sports Act Living. 2022 May 11;4:852108. doi: 10.3389/fspor.2022.852108. eCollection 2022.
7
Physiological Aspects of World Elite Competitive German Winter Sport Athletes.世界精英德国冬季运动运动员的生理方面。
Int J Environ Res Public Health. 2022 May 5;19(9):5620. doi: 10.3390/ijerph19095620.
8
The Determinants of Performance in Biathlon World Cup Sprint and Individual Competitions.冬季两项世界杯短距离赛和个人赛成绩的决定因素
Front Sports Act Living. 2022 Mar 29;4:841619. doi: 10.3389/fspor.2022.841619. eCollection 2022.
9
Relationships Between Maximal Aerobic Speed, Lactate Threshold, and Double Poling Velocity at Lactate Threshold in Cross-Country Skiers.越野滑雪运动员的最大有氧速度、乳酸阈值与乳酸阈值时的双杖滑行速度之间的关系
Front Physiol. 2022 Feb 28;13:829758. doi: 10.3389/fphys.2022.829758. eCollection 2022.
10
Athlete's Heart in Elite Biathlon, Nordic Cross-Country and Ski-Mountaineering Athletes: Cardiac Adaptions Determined Using Echocardiographic Data.优秀冬季两项、北欧越野滑雪和滑雪登山运动员的运动员心脏:利用超声心动图数据确定的心脏适应性变化
J Cardiovasc Dev Dis. 2021 Dec 29;9(1):8. doi: 10.3390/jcdd9010008.
越野滑雪和射击变量对冬季两项世界杯个人赛中成绩水平和性别差异的贡献。
Int J Sports Physiol Perform. 2019 Feb 1;14(2):190-195. doi: 10.1123/ijspp.2018-0134. Epub 2019 Jan 2.
4
Exercise Intensity During Cross-Country Skiing Described by Oxygen Demands in Flat and Uphill Terrain.越野滑雪过程中的运动强度由平地和上坡地形中的氧气需求来描述。
Front Physiol. 2018 Jul 9;9:846. doi: 10.3389/fphys.2018.00846. eCollection 2018.
5
The Olympic Biathlon - Recent Advances and Perspectives After Pyeongchang.冬奥会冬季两项——平昌冬奥会后的最新进展与展望
Front Physiol. 2018 Jul 2;9:796. doi: 10.3389/fphys.2018.00796. eCollection 2018.
6
Comparison of the Effects of Performance Level and Sex on Sprint Performance in the Biathlon World Cup.冬季两项世界杯中表现水平和性别对短跑成绩的影响比较
Int J Sports Physiol Perform. 2018 Mar 1;13(3):360-366. doi: 10.1123/ijspp.2017-0112. Epub 2018 Mar 9.
7
Cross-country skiing movement factorization to explore relationships between skiing economy and athletes' skills.越野滑雪运动要素分析以探索滑雪经济性与运动员技能之间的关系。
Scand J Med Sci Sports. 2018 Feb;28(2):565-574. doi: 10.1111/sms.12938. Epub 2017 Jul 26.
8
The Reliability and Validity of a Four-Minute Running Time-Trial in Assessing [Formula: see text]max and Performance.四分钟跑步计时赛在评估[公式:见正文]最大摄氧量和运动表现方面的信度与效度
Front Physiol. 2017 May 3;8:270. doi: 10.3389/fphys.2017.00270. eCollection 2017.
9
Pacing Strategies and Metabolic Responses During 4-Minute Running Time Trials.4 分钟跑步时间试验期间的起搏策略和代谢反应。
Int J Sports Physiol Perform. 2017 Oct;12(9):1143-1150. doi: 10.1123/ijspp.2016-0341. Epub 2017 Jan 17.
10
Energy system contributions and determinants of performance in sprint cross-country skiing.短距离越野滑雪中的能量系统贡献及运动表现的决定因素
Scand J Med Sci Sports. 2017 Apr;27(4):385-398. doi: 10.1111/sms.12666. Epub 2016 Feb 29.