Storck Jan Lukas, Dotter Marius, Adabra Sonia, Surjawidjaja Michelle, Brockhagen Bennet, Grothe Timo
Faculty of Engineering and Mathematics, Bielefeld University of Applied Sciences, 33619 Bielefeld, Germany.
Polymers (Basel). 2020 Dec 18;12(12):3035. doi: 10.3390/polym12123035.
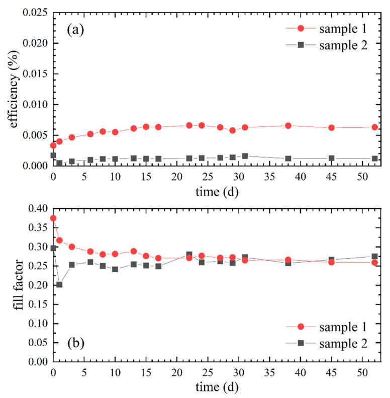
To overcome the long-term stability problems of dye-sensitized solar cells (DSSC) due to solvent evaporation and leakage, gelling the electrolyte with polymers is an appropriate option. Especially for future applications of textile-based DSSCs, which require cost-effective and environmentally friendly materials, such an improvement of the electrolyte is necessary. Therefore, the temporal progressions of efficiencies and fill factors of non-toxic glass-based DSSCs resulting from different gel electrolytes with poly(ethylene oxide) (PEO) are investigated over 52 days comparatively. Dimethyl sulfoxide (DMSO) proved to be a suitable non-toxic solvent for the proposed gel electrolyte without ionic liquids. A PEO concentration of 17.4 wt% resulted in an optimal compromise with a relatively high efficiency over the entire period. Lower concentrations resulted in higher efficiencies during the first days but in a poorer long-term stability, whereas a higher PEO concentration resulted in an overall lower efficiency. Solvent remaining in the gel electrolyte during application was found advantageous compared to previous solvent evaporation. In contrast to a commercial liquid electrolyte, the long-term stability regarding the efficiency was improved successfully with a similar fill factor and thus equal quality.
为克服染料敏化太阳能电池(DSSC)因溶剂蒸发和泄漏导致的长期稳定性问题,用聚合物使电解质凝胶化是一种合适的选择。特别是对于未来基于纺织品的DSSC应用,其需要具有成本效益且环保的材料,因此对电解质进行这样的改进是必要的。因此,比较研究了由不同聚环氧乙烷(PEO)凝胶电解质制成的无毒玻璃基DSSC在52天内的效率和填充因子随时间的变化情况。结果表明,二甲基亚砜(DMSO)是一种适用于所提出的不含离子液体的凝胶电解质的无毒溶剂。17.4 wt%的PEO浓度在整个时间段内实现了相对较高效率的最佳折衷。较低浓度在开始几天效率较高,但长期稳定性较差,而较高的PEO浓度导致整体效率较低。与之前的溶剂蒸发相比,发现应用过程中凝胶电解质中残留的溶剂具有优势。与商用液体电解质相比,在填充因子相似从而质量相当的情况下,成功提高了效率方面的长期稳定性。