• 文献检索
  • 文档翻译
  • 深度研究
  • 学术资讯
  • Suppr Zotero 插件Zotero 插件
  • 邀请有礼
  • 套餐&价格
  • 历史记录
应用&插件
Suppr Zotero 插件Zotero 插件浏览器插件Mac 客户端Windows 客户端微信小程序
定价
高级版会员购买积分包购买API积分包
服务
文献检索文档翻译深度研究API 文档MCP 服务
关于我们
关于 Suppr公司介绍联系我们用户协议隐私条款
关注我们

Suppr 超能文献

核心技术专利:CN118964589B侵权必究
粤ICP备2023148730 号-1Suppr @ 2026

文献检索

告别复杂PubMed语法,用中文像聊天一样搜索,搜遍4000万医学文献。AI智能推荐,让科研检索更轻松。

立即免费搜索

文件翻译

保留排版,准确专业,支持PDF/Word/PPT等文件格式,支持 12+语言互译。

免费翻译文档

深度研究

AI帮你快速写综述,25分钟生成高质量综述,智能提取关键信息,辅助科研写作。

立即免费体验

元控制探索-开发困境源自于对时间尺度层级的概率推断。

Meta-control of the exploration-exploitation dilemma emerges from probabilistic inference over a hierarchy of time scales.

机构信息

Chair of Neuroimaging, Faculty of Psychology, Technische Universität Dresden, 01062, Dresden, Germany.

Chair of General Psychology, Faculty of Psychology, Technische Universität Dresden, 01062, Dresden, Germany.

出版信息

Cogn Affect Behav Neurosci. 2021 Jun;21(3):509-533. doi: 10.3758/s13415-020-00837-x. Epub 2020 Dec 28.

DOI:10.3758/s13415-020-00837-x
PMID:33372237
原文链接:https://pmc.ncbi.nlm.nih.gov/articles/PMC8208938/
Abstract

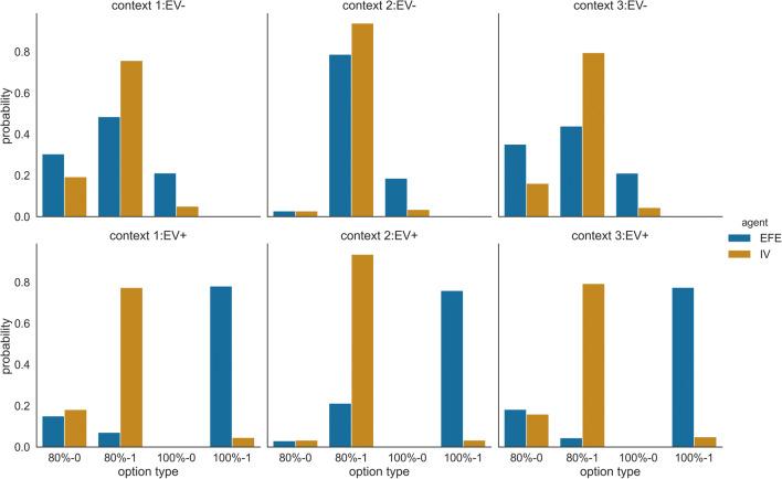
Cognitive control is typically understood as a set of mechanisms that enable humans to reach goals that require integrating the consequences of actions over longer time scales. Importantly, using routine behaviour or making choices beneficial only at short time scales would prevent one from attaining these goals. During the past two decades, researchers have proposed various computational cognitive models that successfully account for behaviour related to cognitive control in a wide range of laboratory tasks. As humans operate in a dynamic and uncertain environment, making elaborate plans and integrating experience over multiple time scales is computationally expensive. Importantly, it remains poorly understood how uncertain consequences at different time scales are integrated into adaptive decisions. Here, we pursue the idea that cognitive control can be cast as active inference over a hierarchy of time scales, where inference, i.e., planning, at higher levels of the hierarchy controls inference at lower levels. We introduce the novel concept of meta-control states, which link higher-level beliefs with lower-level policy inference. Specifically, we conceptualize cognitive control as inference over these meta-control states, where solutions to cognitive control dilemmas emerge through surprisal minimisation at different hierarchy levels. We illustrate this concept using the exploration-exploitation dilemma based on a variant of a restless multi-armed bandit task. We demonstrate that beliefs about contexts and meta-control states at a higher level dynamically modulate the balance of exploration and exploitation at the lower level of a single action. Finally, we discuss the generalisation of this meta-control concept to other control dilemmas.

摘要

认知控制通常被理解为一组机制,使人类能够实现需要在更长时间尺度上整合行动后果的目标。重要的是,仅使用常规行为或仅在短时间尺度上做出有益的选择,将阻止人们实现这些目标。在过去的二十年中,研究人员提出了各种计算认知模型,这些模型成功地解释了在广泛的实验室任务中与认知控制相关的行为。由于人类在动态和不确定的环境中运行,制定详尽的计划并在多个时间尺度上整合经验在计算上是昂贵的。重要的是,人们对不同时间尺度上不确定的后果如何整合到适应性决策中仍然知之甚少。在这里,我们提出了这样一种观点,即认知控制可以被视为在时间尺度层次结构上的主动推理,其中较高层次的推理(即规划)控制较低层次的推理。我们引入了元控制状态的新概念,它将较高层次的信念与较低层次的策略推理联系起来。具体来说,我们将认知控制概念化为对这些元控制状态的推理,其中通过在不同层次上最小化惊讶度来解决认知控制困境。我们使用基于不安分多臂赌博机任务变体的探索-开发困境来说明这个概念。我们证明,较高层次的上下文和元控制状态的信念可以动态地调节单个动作较低层次的探索和开发之间的平衡。最后,我们讨论了这种元控制概念在其他控制困境中的推广。

https://cdn.ncbi.nlm.nih.gov/pmc/blobs/5268/8208938/639e7ba715ae/13415_2020_837_Fig11_HTML.jpg
https://cdn.ncbi.nlm.nih.gov/pmc/blobs/5268/8208938/d90faea8d9e6/13415_2020_837_Fig1_HTML.jpg
https://cdn.ncbi.nlm.nih.gov/pmc/blobs/5268/8208938/2a086de1294b/13415_2020_837_Fig2_HTML.jpg
https://cdn.ncbi.nlm.nih.gov/pmc/blobs/5268/8208938/123e2978cb96/13415_2020_837_Fig3_HTML.jpg
https://cdn.ncbi.nlm.nih.gov/pmc/blobs/5268/8208938/358772124cc5/13415_2020_837_Fig4_HTML.jpg
https://cdn.ncbi.nlm.nih.gov/pmc/blobs/5268/8208938/45c7b495d97a/13415_2020_837_Fig5_HTML.jpg
https://cdn.ncbi.nlm.nih.gov/pmc/blobs/5268/8208938/23ae2b4064a3/13415_2020_837_Fig6_HTML.jpg
https://cdn.ncbi.nlm.nih.gov/pmc/blobs/5268/8208938/313f01676c11/13415_2020_837_Fig7_HTML.jpg
https://cdn.ncbi.nlm.nih.gov/pmc/blobs/5268/8208938/242b14fcff0f/13415_2020_837_Fig8_HTML.jpg
https://cdn.ncbi.nlm.nih.gov/pmc/blobs/5268/8208938/1bd058237fec/13415_2020_837_Fig9_HTML.jpg
https://cdn.ncbi.nlm.nih.gov/pmc/blobs/5268/8208938/628bebc80cf5/13415_2020_837_Fig10_HTML.jpg
https://cdn.ncbi.nlm.nih.gov/pmc/blobs/5268/8208938/639e7ba715ae/13415_2020_837_Fig11_HTML.jpg
https://cdn.ncbi.nlm.nih.gov/pmc/blobs/5268/8208938/d90faea8d9e6/13415_2020_837_Fig1_HTML.jpg
https://cdn.ncbi.nlm.nih.gov/pmc/blobs/5268/8208938/2a086de1294b/13415_2020_837_Fig2_HTML.jpg
https://cdn.ncbi.nlm.nih.gov/pmc/blobs/5268/8208938/123e2978cb96/13415_2020_837_Fig3_HTML.jpg
https://cdn.ncbi.nlm.nih.gov/pmc/blobs/5268/8208938/358772124cc5/13415_2020_837_Fig4_HTML.jpg
https://cdn.ncbi.nlm.nih.gov/pmc/blobs/5268/8208938/45c7b495d97a/13415_2020_837_Fig5_HTML.jpg
https://cdn.ncbi.nlm.nih.gov/pmc/blobs/5268/8208938/23ae2b4064a3/13415_2020_837_Fig6_HTML.jpg
https://cdn.ncbi.nlm.nih.gov/pmc/blobs/5268/8208938/313f01676c11/13415_2020_837_Fig7_HTML.jpg
https://cdn.ncbi.nlm.nih.gov/pmc/blobs/5268/8208938/242b14fcff0f/13415_2020_837_Fig8_HTML.jpg
https://cdn.ncbi.nlm.nih.gov/pmc/blobs/5268/8208938/1bd058237fec/13415_2020_837_Fig9_HTML.jpg
https://cdn.ncbi.nlm.nih.gov/pmc/blobs/5268/8208938/628bebc80cf5/13415_2020_837_Fig10_HTML.jpg
https://cdn.ncbi.nlm.nih.gov/pmc/blobs/5268/8208938/639e7ba715ae/13415_2020_837_Fig11_HTML.jpg

相似文献

1
Meta-control of the exploration-exploitation dilemma emerges from probabilistic inference over a hierarchy of time scales.元控制探索-开发困境源自于对时间尺度层级的概率推断。
Cogn Affect Behav Neurosci. 2021 Jun;21(3):509-533. doi: 10.3758/s13415-020-00837-x. Epub 2020 Dec 28.
2
Confidence modulates exploration and exploitation in value-based learning.信心在基于价值的学习中调节探索与利用。
Neurosci Conscious. 2019 May 8;2019(1):niz004. doi: 10.1093/nc/niz004. eCollection 2019.
3
An empirical evaluation of active inference in multi-armed bandits.多臂赌博机中主动推理的实证评估。
Neural Netw. 2021 Dec;144:229-246. doi: 10.1016/j.neunet.2021.08.018. Epub 2021 Aug 26.
4
Humans adaptively resolve the explore-exploit dilemma under cognitive constraints: Evidence from a multi-armed bandit task.人类在认知限制下适应性地解决探索-利用困境:来自多臂赌博机任务的证据。
Cognition. 2022 Dec;229:105233. doi: 10.1016/j.cognition.2022.105233. Epub 2022 Jul 30.
5
Uncertainty and exploration in a restless bandit problem.动态强盗问题中的不确定性与探索
Top Cogn Sci. 2015 Apr;7(2):351-67. doi: 10.1111/tops.12145. Epub 2015 Apr 20.
6
Dopamine blockade impairs the exploration-exploitation trade-off in rats.多巴胺阻断会损害大鼠的探索-利用权衡。
Sci Rep. 2019 May 1;9(1):6770. doi: 10.1038/s41598-019-43245-z.
7
Uncertainty and Exploration.不确定性与探索。
Decision (Wash D C ). 2019 Jul;6(3):277-286. doi: 10.1037/dec0000101. Epub 2018 Oct 1.
8
Computational mechanisms of curiosity and goal-directed exploration.好奇心和目标导向探索的计算机制。
Elife. 2019 May 10;8:e41703. doi: 10.7554/eLife.41703.
9
Overtaking method based on sand-sifter mechanism: Why do optimistic value functions find optimal solutions in multi-armed bandit problems?基于筛沙机制的超越方法:为何乐观值函数能在多臂老虎机问题中找到最优解?
Biosystems. 2015 Sep;135:55-65. doi: 10.1016/j.biosystems.2015.06.009. Epub 2015 Jul 10.
10
Dopaminergic Control of the Exploration-Exploitation Trade-Off via the Basal Ganglia.多巴胺能通过基底神经节对探索-利用权衡的控制。
Front Neurosci. 2012 Feb 6;6:9. doi: 10.3389/fnins.2012.00009. eCollection 2012.

引用本文的文献

1
A review on exploration-exploitation trade-off in psychiatric disorders.关于精神疾病中探索-利用权衡的综述。
BMC Psychiatry. 2025 Apr 26;25(1):420. doi: 10.1186/s12888-025-06837-w.
2
Post-injury pain and behaviour: a control theory perspective.创伤后疼痛与行为:控制理论视角
Nat Rev Neurosci. 2023 Jun;24(6):378-392. doi: 10.1038/s41583-023-00699-5. Epub 2023 May 10.
3
Cognitive effort and active inference.认知努力与主动推断。

本文引用的文献

1
Caching mechanisms for habit formation in Active Inference.主动推理中习惯形成的缓存机制。
Neurocomputing (Amst). 2019 Sep 24;359:298-314. doi: 10.1016/j.neucom.2019.05.083.
2
Generalised free energy and active inference.广义自由能与主动推理
Biol Cybern. 2019 Dec;113(5-6):495-513. doi: 10.1007/s00422-019-00805-w. Epub 2019 Sep 27.
3
Adaptive learning under expected and unexpected uncertainty.在预期和意外不确定性下的自适应学习。
Neuropsychologia. 2023 Jun 6;184:108562. doi: 10.1016/j.neuropsychologia.2023.108562. Epub 2023 Apr 18.
4
The Willpower Paradox: Possible and Impossible Conceptions of Self-Control.意志力悖论:自我控制的可能与不可能的概念。
Perspect Psychol Sci. 2023 Nov;18(6):1339-1367. doi: 10.1177/17456916221146158. Epub 2023 Feb 15.
5
The exploration-exploitation trade-off in a foraging task is affected by mood-related arousal and valence.觅食任务中的探索-开发权衡受到与情绪相关的唤醒和效价的影响。
Cogn Affect Behav Neurosci. 2021 Jun;21(3):549-560. doi: 10.3758/s13415-021-00917-6. Epub 2021 Jun 4.
6
Neural Dynamics under Active Inference: Plausibility and Efficiency of Information Processing.主动推断下的神经动力学:信息处理的合理性与效率
Entropy (Basel). 2021 Apr 12;23(4):454. doi: 10.3390/e23040454.
Nat Rev Neurosci. 2019 Oct;20(10):635-644. doi: 10.1038/s41583-019-0180-y.
4
Computational mechanisms of curiosity and goal-directed exploration.好奇心和目标导向探索的计算机制。
Elife. 2019 May 10;8:e41703. doi: 10.7554/eLife.41703.
5
Predicting change: Approximate inference under explicit representation of temporal structure in changing environments.预测变化:在变化环境中显式表示时间结构下的近似推理。
PLoS Comput Biol. 2019 Jan 31;15(1):e1006707. doi: 10.1371/journal.pcbi.1006707. eCollection 2019 Jan.
6
The algorithmic architecture of exploration in the human brain.人类大脑探索的算法架构。
Curr Opin Neurobiol. 2019 Apr;55:7-14. doi: 10.1016/j.conb.2018.11.003. Epub 2018 Dec 6.
7
Context-Dependent Risk Aversion: A Model-Based Approach.情境依赖的风险规避:一种基于模型的方法。
Front Psychol. 2018 Oct 26;9:2053. doi: 10.3389/fpsyg.2018.02053. eCollection 2018.
8
Dissociable neural mechanisms track evidence accumulation for selection of attention versus action.分离的神经机制追踪注意与行动选择的证据积累。
Nat Commun. 2018 Jun 27;9(1):2485. doi: 10.1038/s41467-018-04841-1.
9
Active Inference, Belief Propagation, and the Bethe Approximation.主动推理、信念传播与贝叶斯近似
Neural Comput. 2018 Sep;30(9):2530-2567. doi: 10.1162/neco_a_01108. Epub 2018 Jun 27.
10
Deep temporal models and active inference.深部颞叶模型与主动推理
Neurosci Biobehav Rev. 2018 Jul;90:486-501. doi: 10.1016/j.neubiorev.2018.04.004. Epub 2018 May 8.