• 文献检索
  • 文档翻译
  • 深度研究
  • 学术资讯
  • Suppr Zotero 插件Zotero 插件
  • 邀请有礼
  • 套餐&价格
  • 历史记录
应用&插件
Suppr Zotero 插件Zotero 插件浏览器插件Mac 客户端Windows 客户端微信小程序
定价
高级版会员购买积分包购买API积分包
服务
文献检索文档翻译深度研究API 文档MCP 服务
关于我们
关于 Suppr公司介绍联系我们用户协议隐私条款
关注我们

Suppr 超能文献

核心技术专利:CN118964589B侵权必究
粤ICP备2023148730 号-1Suppr @ 2026

文献检索

告别复杂PubMed语法,用中文像聊天一样搜索,搜遍4000万医学文献。AI智能推荐,让科研检索更轻松。

立即免费搜索

文件翻译

保留排版,准确专业,支持PDF/Word/PPT等文件格式,支持 12+语言互译。

免费翻译文档

深度研究

AI帮你快速写综述,25分钟生成高质量综述,智能提取关键信息,辅助科研写作。

立即免费体验

基于免疫相关基因的胶质瘤预后模型的开发

Development of a prognostic model of glioma based on immune-related genes.

作者信息

Wang Jing-Jing, Wang Han, Zhu Bao-Long, Wang Xiang, Qian Yong-Hong, Xie Lei, Wang Wen-Jie, Zhu Jie, Chen Xing-Yu, Wang Jing-Mei, Ding Zhi-Liang

机构信息

Department of Oncology, Taizhou Hospital of Traditional Chinese Medicine, Taizhou, Jiangsu 225300, P.R. China.

Department of Oncology, Jining Cancer Hospital, Jining, Shandong 272000, P.R. China.

出版信息

Oncol Lett. 2021 Feb;21(2):116. doi: 10.3892/ol.2020.12377. Epub 2020 Dec 15.

DOI:10.3892/ol.2020.12377
PMID:33376548
原文链接:https://pmc.ncbi.nlm.nih.gov/articles/PMC7751470/
Abstract

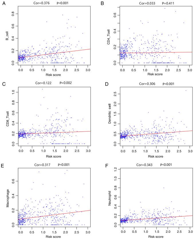
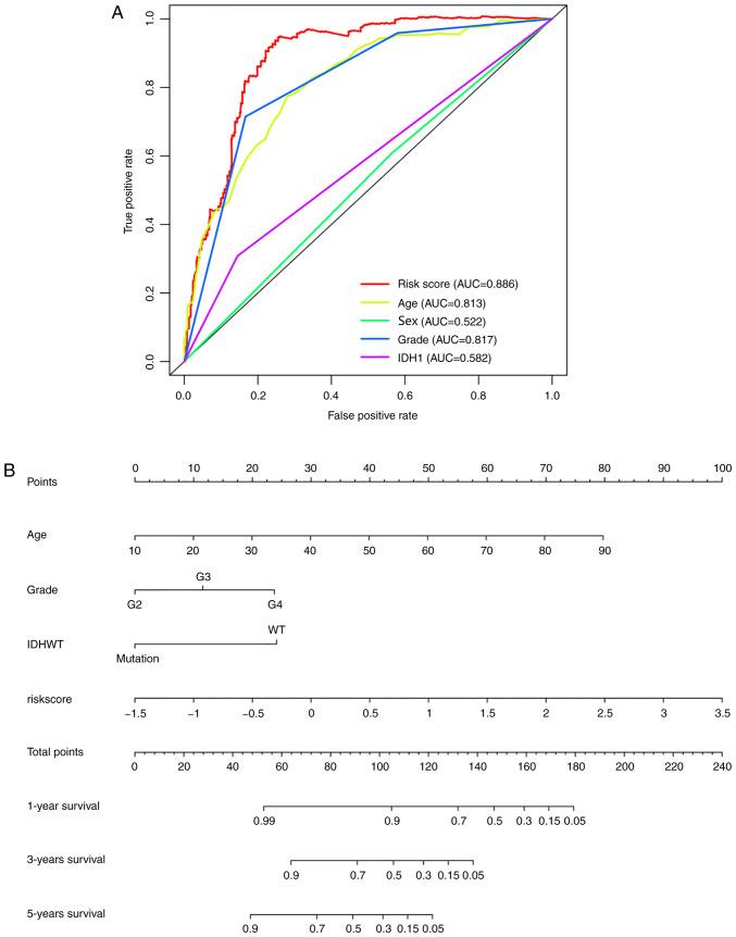
Glioma is the most common type of primary brain cancer, and the prognosis of most patients with glioma, and particularly that of patients with glioblastoma, is poor. Tumor immunity serves an important role in the development of glioma. However, immunotherapy for glioma has not been completely successful, and thus, comprehensive examination of the immune-related genes (IRGs) of glioma is required. In the present study, differentially expressed genes (DEGs) and differentially expressed IRGs (DEIRGs) were identified using the edgeR package. Kyoto Encyclopedia of Genes and Genomes (KEGG) pathway analysis was used for functional enrichment analysis of DEIRGs. Survival-associated IRGs were selected via univariate Cox regression analysis. A The Cancer Genome Atlas prognostic model and GSE43378 validation model were established using lasso-penalized Cox regression analysis. Based on the median risk score value, patients were divided into high-risk and low-risk groups for clinical analysis. Receiver operating characteristic curve and nomogram analyses were used to assess the accuracy of the models. Reverse transcription-quantitative PCR was performed to measure the expression levels of relevant genes, such as cyclin-dependent kinase 4 (CDK4), interleukin 24 (IL24), NADPH oxidase 4 (NOX4), bone morphogenetic protein 2 (BMP2) and baculoviral IAP repeat containing 5 (BIRC5). A total of 3,238 DEGs, including 1,950 upregulated and 1,288 downregulated DEGs, and 97 DEIRGs, including 60 upregulated and 37 downregulated DEIRGs, were identified. 'Neuroactive ligand-receptor interaction' and 'Cytokine-cytokine receptor interaction' were the most significantly enriched pathways according to KEGG pathway analysis. A prognostic model and a validation prognostic model were created for glioma, including 15 survival-associated IRGs (FCER1G, NOX4, TRIM5, SOCS1, APOBEC3C, BIRC5, VIM, TNC, BMP2, CMTM3, IL24, JAG1, CALCRL, HNF4G and CDK4). Furthermore, multivariate Cox regression analysis results suggested that age, high WHO Grade by histopathology, wild type isocitrate dehydrogenase 1 and high risk score were independently associated with poor overall survival. The infiltration of B cells, CD8 T cells, dendritic cells, macrophages and neutrophils was positively associated with the prognostic risk score. In the present study, several clinically significant survival-associated IRGs were identified, and a prognosis evaluation model of glioma was established.

摘要

胶质瘤是最常见的原发性脑癌类型,大多数胶质瘤患者,尤其是胶质母细胞瘤患者的预后较差。肿瘤免疫在胶质瘤的发生发展中起重要作用。然而,胶质瘤的免疫治疗尚未完全成功,因此,需要对胶质瘤的免疫相关基因(IRGs)进行全面检查。在本研究中,使用edgeR软件包鉴定差异表达基因(DEGs)和差异表达免疫相关基因(DEIRGs)。采用京都基因与基因组百科全书(KEGG)通路分析对DEIRGs进行功能富集分析。通过单变量Cox回归分析选择生存相关IRGs。使用套索惩罚Cox回归分析建立癌症基因组图谱预后模型和GSE43378验证模型。根据中位风险评分值,将患者分为高风险和低风险组进行临床分析。采用受试者工作特征曲线和列线图分析评估模型的准确性。进行逆转录定量PCR以测量相关基因的表达水平,如细胞周期蛋白依赖性激酶4(CDK4)、白细胞介素24(IL24)、NADPH氧化酶4(NOX4)、骨形态发生蛋白2(BMP2)和含杆状病毒IAP重复序列5(BIRC5)。共鉴定出3238个DEGs,包括1950个上调DEGs和1288个下调DEGs,以及97个DEIRGs,包括60个上调DEIRGs和37个下调DEIRGs。根据KEGG通路分析,“神经活性配体-受体相互作用”和“细胞因子-细胞因子受体相互作用”是最显著富集的通路。建立了胶质瘤的预后模型和验证预后模型,包括15个生存相关IRGs(FCER1G、NOX4、TRIM5、SOCS1、APOBEC3C、BIRC5、VIM、TNC、BMP2、CMTM3、IL24、JAG1、CALCRL、HNF4G和CDK4)。此外,多变量Cox回归分析结果表明,年龄、组织病理学WHO分级高、异柠檬酸脱氢酶1野生型和高风险评分与总体生存不良独立相关。B细胞、CD8 T细胞、树突状细胞、巨噬细胞和中性粒细胞的浸润与预后风险评分呈正相关。在本研究中,鉴定了几个具有临床意义的生存相关IRGs,并建立了胶质瘤的预后评估模型。

https://cdn.ncbi.nlm.nih.gov/pmc/blobs/cec2/7751470/36ed6f2f7635/ol-21-02-12377-g08.jpg
https://cdn.ncbi.nlm.nih.gov/pmc/blobs/cec2/7751470/fd831253694b/ol-21-02-12377-g01.jpg
https://cdn.ncbi.nlm.nih.gov/pmc/blobs/cec2/7751470/c4b4f2d7a015/ol-21-02-12377-g02.jpg
https://cdn.ncbi.nlm.nih.gov/pmc/blobs/cec2/7751470/6f9790b12186/ol-21-02-12377-g03.jpg
https://cdn.ncbi.nlm.nih.gov/pmc/blobs/cec2/7751470/c9c814090bb4/ol-21-02-12377-g04.jpg
https://cdn.ncbi.nlm.nih.gov/pmc/blobs/cec2/7751470/297956fde059/ol-21-02-12377-g05.jpg
https://cdn.ncbi.nlm.nih.gov/pmc/blobs/cec2/7751470/1018e8c2943e/ol-21-02-12377-g06.jpg
https://cdn.ncbi.nlm.nih.gov/pmc/blobs/cec2/7751470/2c6f6e5719c2/ol-21-02-12377-g07.jpg
https://cdn.ncbi.nlm.nih.gov/pmc/blobs/cec2/7751470/36ed6f2f7635/ol-21-02-12377-g08.jpg
https://cdn.ncbi.nlm.nih.gov/pmc/blobs/cec2/7751470/fd831253694b/ol-21-02-12377-g01.jpg
https://cdn.ncbi.nlm.nih.gov/pmc/blobs/cec2/7751470/c4b4f2d7a015/ol-21-02-12377-g02.jpg
https://cdn.ncbi.nlm.nih.gov/pmc/blobs/cec2/7751470/6f9790b12186/ol-21-02-12377-g03.jpg
https://cdn.ncbi.nlm.nih.gov/pmc/blobs/cec2/7751470/c9c814090bb4/ol-21-02-12377-g04.jpg
https://cdn.ncbi.nlm.nih.gov/pmc/blobs/cec2/7751470/297956fde059/ol-21-02-12377-g05.jpg
https://cdn.ncbi.nlm.nih.gov/pmc/blobs/cec2/7751470/1018e8c2943e/ol-21-02-12377-g06.jpg
https://cdn.ncbi.nlm.nih.gov/pmc/blobs/cec2/7751470/2c6f6e5719c2/ol-21-02-12377-g07.jpg
https://cdn.ncbi.nlm.nih.gov/pmc/blobs/cec2/7751470/36ed6f2f7635/ol-21-02-12377-g08.jpg

相似文献

1
Development of a prognostic model of glioma based on immune-related genes.基于免疫相关基因的胶质瘤预后模型的开发
Oncol Lett. 2021 Feb;21(2):116. doi: 10.3892/ol.2020.12377. Epub 2020 Dec 15.
2
Identification of immune-related genes as prognostic factors in bladder cancer.鉴定膀胱癌的免疫相关基因作为预后因素。
Sci Rep. 2020 Nov 12;10(1):19695. doi: 10.1038/s41598-020-76688-w.
3
Construction of an immune-related gene signature for overall survival prediction and immune infiltration in gastric cancer.构建用于预测胃癌总生存期和免疫浸润的免疫相关基因特征。
World J Gastrointest Oncol. 2024 Mar 15;16(3):919-932. doi: 10.4251/wjgo.v16.i3.919.
4
Prognostic value of immune related genes in lung adenocarcinoma.免疫相关基因在肺腺癌中的预后价值
Oncol Lett. 2020 Nov;20(5):259. doi: 10.3892/ol.2020.12122. Epub 2020 Sep 18.
5
Identification of a Prognostic Model Based on Immune-Related Genes of Lung Squamous Cell Carcinoma.基于肺鳞状细胞癌免疫相关基因的预后模型鉴定
Front Oncol. 2020 Sep 2;10:1588. doi: 10.3389/fonc.2020.01588. eCollection 2020.
6
Establishment of a Prognostic Model Using Immune-Related Genes in Patients With Hepatocellular Carcinoma.利用免疫相关基因建立肝细胞癌患者的预后模型
Front Genet. 2020 Feb 25;11:55. doi: 10.3389/fgene.2020.00055. eCollection 2020.
7
Construction and Validation of an Immune-Related Risk Score Model for Survival Prediction in Glioblastoma.胶质母细胞瘤生存预测的免疫相关风险评分模型的构建与验证
Front Neurol. 2022 Mar 16;13:832944. doi: 10.3389/fneur.2022.832944. eCollection 2022.
8
A robust signature associated with patient prognosis and tumor immune microenvironment based on immune-related genes in lung squamous cell carcinoma.基于肺鳞癌免疫相关基因的与患者预后和肿瘤免疫微环境相关的稳健标志物。
Int Immunopharmacol. 2020 Nov;88:106856. doi: 10.1016/j.intimp.2020.106856. Epub 2020 Aug 7.
9
A Prognostic Model Based on the Immune-related Genes in Colon Adenocarcinoma.一种基于结肠腺癌免疫相关基因的预后模型。
Int J Med Sci. 2020 Jul 19;17(13):1879-1896. doi: 10.7150/ijms.45813. eCollection 2020.
10
Eleven inflammation-related genes risk signature model predicts prognosis of patients with breast cancer.11个炎症相关基因风险特征模型可预测乳腺癌患者的预后。
Transl Cancer Res. 2024 Jul 31;13(7):3652-3667. doi: 10.21037/tcr-24-215. Epub 2024 Jul 5.

引用本文的文献

1
PathX-CNN: An Enhanced Explainable Convolutional Neural Network for Survival Prediction and Pathway Analysis in Glioblastoma.PathX-CNN:一种用于胶质母细胞瘤生存预测和通路分析的增强型可解释卷积神经网络
bioRxiv. 2025 Jan 27:2025.01.24.634827. doi: 10.1101/2025.01.24.634827.
2
Spatial transcriptomics analysis identifies therapeutic targets in diffuse high-grade gliomas.空间转录组学分析确定弥漫性高级别胶质瘤的治疗靶点。
Front Mol Neurosci. 2024 Oct 24;17:1466302. doi: 10.3389/fnmol.2024.1466302. eCollection 2024.
3
Elucidating Cancer Subtypes by Using the Relationship between DNA Methylation and Gene Expression.

本文引用的文献

1
Phytanoyl-CoA 2-Hydroxylase-Interacting Protein-Like Gene Is a Therapeutic Target Gene for Glioblastoma Multiforme.植烷酰基辅酶 A 2-羟化酶相互作用蛋白样基因是多形性胶质母细胞瘤的治疗靶标基因。
Med Sci Monit. 2019 Apr 9;25:2583-2590. doi: 10.12659/MSM.913895.
2
CBTRUS Statistical Report: Primary Brain and Other Central Nervous System Tumors Diagnosed in the United States in 2011-2015.CBTRUS统计报告:2011 - 2015年美国原发性脑肿瘤及其他中枢神经系统肿瘤诊断情况
Neuro Oncol. 2018 Oct 1;20(suppl_4):iv1-iv86. doi: 10.1093/neuonc/noy131.
3
Sustained Clinical Remission With Vedolizumab in Patients With Moderate-to-Severe Ulcerative Colitis.
通过 DNA 甲基化与基因表达的关系来阐明癌症亚型。
Genes (Basel). 2024 May 16;15(5):631. doi: 10.3390/genes15050631.
4
Identification of Novel Molecular and Clinical Biomarkers of Survival in Glioblastoma Multiforme Patients: A Study Based on The Cancer Genome Atlas Data.基于癌症基因组图谱数据的胶质母细胞瘤患者生存新的分子和临床生物标志物的鉴定。
Biomed Res Int. 2024 Apr 4;2024:5582424. doi: 10.1155/2024/5582424. eCollection 2024.
5
HOXD9 is a potential prognostic biomarker involved in immune microenvironment of glioma.HOXD9 是一种潜在的与胶质瘤免疫微环境相关的预后生物标志物。
J Cancer Res Clin Oncol. 2023 Nov;149(16):14911-14926. doi: 10.1007/s00432-023-05275-z. Epub 2023 Aug 21.
6
Identification of heterogeneous subtypes and a prognostic model for gliomas based on mitochondrial dysfunction and oxidative stress-related genes.基于线粒体功能障碍和氧化应激相关基因鉴定脑肿瘤的异质亚型和预后模型。
Front Immunol. 2023 Jun 2;14:1183475. doi: 10.3389/fimmu.2023.1183475. eCollection 2023.
7
IL7 and IL7 Flt3L co-expressing CAR T cells improve therapeutic efficacy in mouse EGFRvIII heterogeneous glioblastoma.共表达 IL7 和 IL7 Flt3L 的 CAR T 细胞可改善 EGFRvIII 异质性胶质母细胞瘤小鼠的治疗效果。
Front Immunol. 2023 Feb 3;14:1085547. doi: 10.3389/fimmu.2023.1085547. eCollection 2023.
8
PDGFB:APOBEC3C fusion in congenital diffuse high-grade glioma of the brainstem.血小板衍生生长因子B(PDGFB):载脂蛋白B编辑酶催化多肽样3C(APOBEC3C)融合于脑干先天性弥漫性高级别胶质瘤中
J Neuropathol Exp Neurol. 2023 Jan 20;82(2):183-186. doi: 10.1093/jnen/nlac112.
9
A novel necroptosis-related gene signature for predict prognosis of glioma based on single-cell and bulk RNA sequencing.基于单细胞和批量RNA测序的一种用于预测胶质瘤预后的新型坏死性凋亡相关基因特征。
Front Mol Biosci. 2022 Aug 30;9:984712. doi: 10.3389/fmolb.2022.984712. eCollection 2022.
10
Identification of a pyroptosis-related prognosis gene signature and its relationship with an immune microenvironment in gliomas.鉴定胶质瘤中与细胞焦亡相关的预后基因特征及其与免疫微环境的关系。
Medicine (Baltimore). 2022 Jul 15;101(28):e29391. doi: 10.1097/MD.0000000000029391.
维得利珠单抗治疗中重度溃疡性结肠炎的持续临床缓解。
Inflamm Bowel Dis. 2019 May 4;25(6):1028-1035. doi: 10.1093/ibd/izy323.
4
Genetic Determinants of IgA Nephropathy: Eastern Perspective.IgA 肾病的遗传决定因素:东方观点。
Semin Nephrol. 2018 Sep;38(5):455-460. doi: 10.1016/j.semnephrol.2018.05.015.
5
Fsk and IBMX inhibit proliferation and proapoptotic of glioma stem cells via activation of cAMP signaling pathway.FSK 和 IBMX 通过激活 cAMP 信号通路抑制神经胶质瘤干细胞的增殖和促凋亡。
J Cell Biochem. 2019 Jan;120(1):321-331. doi: 10.1002/jcb.27364. Epub 2018 Sep 1.
6
Bioinformatics analyses of significant genes, related pathways and candidate prognostic biomarkers in glioblastoma.脑胶质母细胞瘤中显著基因、相关通路和候选预后生物标志物的生物信息学分析。
Mol Med Rep. 2018 Nov;18(5):4185-4196. doi: 10.3892/mmr.2018.9411. Epub 2018 Aug 21.
7
Tumour cell dormancy as a contributor to the reduced survival of GBM patients who received standard therapy.肿瘤细胞休眠是导致接受标准治疗的 GBM 患者生存率降低的原因之一。
Oncol Rep. 2018 Jul;40(1):463-471. doi: 10.3892/or.2018.6425. Epub 2018 May 8.
8
Plasma anti-BIRC5 IgG may be a useful marker for evaluating the prognosis of nonsmall cell lung cancer.血浆抗BIRC5 IgG可能是评估非小细胞肺癌预后的有用标志物。
FEBS Open Bio. 2018 Apr 16;8(5):829-835. doi: 10.1002/2211-5463.12417. eCollection 2018 May.
9
Therapeutic Potential of Thymoquinone in Glioblastoma Treatment: Targeting Major Gliomagenesis Signaling Pathways.姜黄素在胶质母细胞瘤治疗中的治疗潜力:针对主要胶质母细胞瘤发生信号通路。
Biomed Res Int. 2018 Jan 31;2018:4010629. doi: 10.1155/2018/4010629. eCollection 2018.
10
An Integrated TCGA Pan-Cancer Clinical Data Resource to Drive High-Quality Survival Outcome Analytics.TCGA 泛癌临床数据资源整合,推动高质量生存预后分析。
Cell. 2018 Apr 5;173(2):400-416.e11. doi: 10.1016/j.cell.2018.02.052.