• 文献检索
  • 文档翻译
  • 深度研究
  • 学术资讯
  • Suppr Zotero 插件Zotero 插件
  • 邀请有礼
  • 套餐&价格
  • 历史记录
应用&插件
Suppr Zotero 插件Zotero 插件浏览器插件Mac 客户端Windows 客户端微信小程序
定价
高级版会员购买积分包购买API积分包
服务
文献检索文档翻译深度研究API 文档MCP 服务
关于我们
关于 Suppr公司介绍联系我们用户协议隐私条款
关注我们

Suppr 超能文献

核心技术专利:CN118964589B侵权必究
粤ICP备2023148730 号-1Suppr @ 2026

文献检索

告别复杂PubMed语法,用中文像聊天一样搜索,搜遍4000万医学文献。AI智能推荐,让科研检索更轻松。

立即免费搜索

文件翻译

保留排版,准确专业,支持PDF/Word/PPT等文件格式,支持 12+语言互译。

免费翻译文档

深度研究

AI帮你快速写综述,25分钟生成高质量综述,智能提取关键信息,辅助科研写作。

立即免费体验

制定并验证列线图以预测诊断为食管癌患者的区域淋巴结中的转移模式。

Development and validation of nomograms to intraoperatively predict metastatic patterns in regional lymph nodes in patients diagnosed with esophageal cancer.

机构信息

Department of Thoracic Surgery, First Affiliated Hospital of Nanjing Medical University, 300 Guangzhou Road, Nanjing, 210029, China.

出版信息

BMC Cancer. 2021 Jan 5;21(1):22. doi: 10.1186/s12885-020-07738-9.

DOI:10.1186/s12885-020-07738-9
PMID:33402129
原文链接:https://pmc.ncbi.nlm.nih.gov/articles/PMC7786479/
Abstract

BACKGROUND

An accurate intraoperative prediction of lymph node metastatic risk can help surgeons in choosing precise surgical procedures. We aimed to develop and validate nomograms to intraoperatively predict patterns of regional lymph node (LN) metastasis in patients with esophageal cancer.

METHODS

The prediction model was developed in a training cohort consisting of 487 patients diagnosed with esophageal cancer who underwent esophagectomy with complete LN dissection from January 2016 to December 2016. Univariate and multivariable logistic regression were used to identify independent risk factors that were incorporated into a prediction model and used to construct a nomogram. Contrast-enhanced computed tomography reported LN status and was an important comparative factor of clinical usefulness in a validation cohort. Nomogram performance was assessed in terms of calibration, discrimination, and clinical usefulness. An independent validation cohort comprised 206 consecutive patients from January 2017 to December 2017.

RESULTS

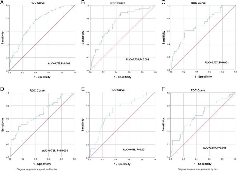
Univariate analysis and multivariable logistic regression revealed three independent predictors of metastatic regional LNs, three independent predictors of continuous regional LNs, and two independent predictors of skipping regional LNs. Independent predictors were used to build three individualized prediction nomograms. The models showed good calibration and discrimination, with area under the curve (AUC) values of 0.737, 0.738, and 0.707. Application of the nomogram in the validation cohort yielded good calibration and discrimination, with AUC values of 0.728, 0.668, and 0.657. Decision curve analysis demonstrated that the three nomograms were clinically useful in the validation cohort.

CONCLUSION

This study presents three nomograms that incorporate clinicopathologic factors, which can be used to facilitate the intraoperative prediction of metastatic regional LN patterns in patients with esophageal cancer.

摘要

背景

准确预测淋巴结转移风险有助于外科医生选择精确的手术方式。本研究旨在开发和验证列线图模型,以预测食管癌患者术中区域淋巴结(LN)转移模式。

方法

在包含 487 例食管癌患者的训练队列中,我们建立了预测模型,这些患者于 2016 年 1 月至 2016 年 12 月期间接受了食管癌根治术及完全的淋巴结清扫术。单因素和多因素逻辑回归分析确定了纳入预测模型的独立危险因素,并构建了列线图。增强 CT 报告的淋巴结状态是验证队列中临床实用性的重要比较因素。通过校准、判别和临床实用性评估列线图性能。来自 2017 年 1 月至 2017 年 12 月的 206 例连续患者组成独立验证队列。

结果

单因素分析和多因素逻辑回归分析显示,转移性区域 LN 的三个独立预测因素、连续区域 LN 的三个独立预测因素和跳跃性区域 LN 的两个独立预测因素。独立预测因素被用于构建三个个体化预测列线图。模型显示出良好的校准和判别能力,曲线下面积(AUC)值分别为 0.737、0.738 和 0.707。验证队列中列线图的应用也显示出良好的校准和判别能力,AUC 值分别为 0.728、0.668 和 0.657。决策曲线分析表明,三个列线图在验证队列中具有临床实用性。

结论

本研究提出了三个列线图模型,包含临床病理因素,有助于术中预测食管癌患者的转移性区域 LN 模式。

https://cdn.ncbi.nlm.nih.gov/pmc/blobs/808e/7786479/487bd4447431/12885_2020_7738_Fig4_HTML.jpg
https://cdn.ncbi.nlm.nih.gov/pmc/blobs/808e/7786479/7276f79bb8fd/12885_2020_7738_Fig1_HTML.jpg
https://cdn.ncbi.nlm.nih.gov/pmc/blobs/808e/7786479/f19b80f6973a/12885_2020_7738_Fig2_HTML.jpg
https://cdn.ncbi.nlm.nih.gov/pmc/blobs/808e/7786479/657b75fa2495/12885_2020_7738_Fig3_HTML.jpg
https://cdn.ncbi.nlm.nih.gov/pmc/blobs/808e/7786479/487bd4447431/12885_2020_7738_Fig4_HTML.jpg
https://cdn.ncbi.nlm.nih.gov/pmc/blobs/808e/7786479/7276f79bb8fd/12885_2020_7738_Fig1_HTML.jpg
https://cdn.ncbi.nlm.nih.gov/pmc/blobs/808e/7786479/f19b80f6973a/12885_2020_7738_Fig2_HTML.jpg
https://cdn.ncbi.nlm.nih.gov/pmc/blobs/808e/7786479/657b75fa2495/12885_2020_7738_Fig3_HTML.jpg
https://cdn.ncbi.nlm.nih.gov/pmc/blobs/808e/7786479/487bd4447431/12885_2020_7738_Fig4_HTML.jpg

相似文献

1
Development and validation of nomograms to intraoperatively predict metastatic patterns in regional lymph nodes in patients diagnosed with esophageal cancer.制定并验证列线图以预测诊断为食管癌患者的区域淋巴结中的转移模式。
BMC Cancer. 2021 Jan 5;21(1):22. doi: 10.1186/s12885-020-07738-9.
2
Radiomics nomogram outperforms size criteria in discriminating lymph node metastasis in resectable esophageal squamous cell carcinoma.影像组学列线图在鉴别可切除食管鳞癌的淋巴结转移方面优于大小标准。
Eur Radiol. 2019 Jan;29(1):392-400. doi: 10.1007/s00330-018-5581-1. Epub 2018 Jun 19.
3
Development and validation of a nomogram for prediction of cervical lymph node metastasis in middle and lower thoracic esophageal squamous cell carcinoma.开发和验证用于预测中下段食管鳞癌颈部淋巴结转移的列线图。
BMC Gastroenterol. 2022 Apr 3;22(1):163. doi: 10.1186/s12876-022-02243-8.
4
Computed tomography-based radiomics nomogram for prediction of lympho-vascular and perineural invasion in esophageal squamous cell cancer patients: a retrospective cohort study.基于计算机断层扫描的放射组学列线图预测食管鳞癌患者的淋巴血管和神经周围侵犯:一项回顾性队列研究。
Cancer Imaging. 2024 Oct 4;24(1):131. doi: 10.1186/s40644-024-00781-w.
5
Nomogram to predict lymph node metastasis in patients with early oesophageal squamous cell carcinoma.列线图预测早期食管鳞癌患者的淋巴结转移。
Br J Surg. 2018 Oct;105(11):1464-1470. doi: 10.1002/bjs.10882. Epub 2018 Jun 4.
6
Discrepancy Between the Clinical and Final Pathological Findings of Lymph Node Metastasis in Superficial Esophageal Cancer.浅表食管癌临床与最终病理淋巴结转移结果的差异。
Ann Surg Oncol. 2019 Sep;26(9):2874-2881. doi: 10.1245/s10434-019-07498-2. Epub 2019 Jun 17.
7
Prediction of lymph node metastatic status in superficial esophageal squamous cell carcinoma using an assessment model combining clinical characteristics and pathologic results: A retrospective cohort study.利用临床特征与病理结果相结合的评估模型预测表浅性食管鳞癌的淋巴结转移状态:一项回顾性队列研究。
Int J Surg. 2019 Jun;66:53-61. doi: 10.1016/j.ijsu.2019.04.014. Epub 2019 Apr 25.
8
Development and Validation of a Radiomics Nomogram for Preoperative Prediction of Lymph Node Metastasis in Colorectal Cancer.基于影像组学的直肠癌淋巴结转移术前预测列线图模型的建立与验证。
J Clin Oncol. 2016 Jun 20;34(18):2157-64. doi: 10.1200/JCO.2015.65.9128. Epub 2016 May 2.
9
Potential value of CT-based comprehensive nomogram in predicting occult lymph node metastasis of esophageal squamous cell paralaryngeal nerves: a two-center study.基于 CT 的综合列线图预测食管鳞癌paralaryngeal 神经隐匿性淋巴结转移的潜在价值:一项多中心研究。
J Transl Med. 2024 Apr 30;22(1):399. doi: 10.1186/s12967-024-05217-4.
10
Development and validation of a nomogram for preoperative prediction of lymph node metastasis in early gastric cancer.建立并验证用于预测早期胃癌淋巴结转移的术前列线图。
World J Surg Oncol. 2020 Jan 2;18(1):2. doi: 10.1186/s12957-019-1778-2.

引用本文的文献

1
Prostate cancer epidemiology and prognostic factors in the United States.美国前列腺癌的流行病学及预后因素
Front Oncol. 2023 Oct 12;13:1142976. doi: 10.3389/fonc.2023.1142976. eCollection 2023.
2
Machine learning to predict occult metastatic lymph nodes along the recurrent laryngeal nerves in thoracic esophageal squamous cell carcinoma.基于机器学习的胸段食管鳞癌喉返神经隐匿性转移淋巴结预测
BMC Cancer. 2023 Mar 2;23(1):197. doi: 10.1186/s12885-023-10670-3.
3
Comparison of clinicopathological features and prognostic significance between synchronous multiple primary and solitary esophageal squamous cell carcinomas.

本文引用的文献

1
Nomogram for prediction of lymph node metastasis in patients with superficial esophageal squamous cell carcinoma.预测浅表性食管鳞状细胞癌患者淋巴结转移的列线图。
J Gastroenterol Hepatol. 2020 Jun;35(6):1009-1015. doi: 10.1111/jgh.14915. Epub 2019 Dec 15.
2
A nomogram prediction model for recurrent laryngeal nerve lymph node metastasis in thoracic oesophageal squamous cell carcinoma.胸段食管鳞状细胞癌喉返神经淋巴结转移的列线图预测模型
J Thorac Dis. 2019 Jul;11(7):2868-2877. doi: 10.21037/jtd.2019.06.46.
3
Risk of Lymph Node Metastasis in Patients with the Superficial Spreading Type of Esophageal Squamous Cell Carcinoma.
比较同步性多原发和单发食管鳞癌的临床病理特征及预后意义。
BMC Cancer. 2022 Nov 19;22(1):1191. doi: 10.1186/s12885-022-10283-2.
4
Radiomics Analysis of Lymph Nodes with Esophageal Squamous Cell Carcinoma Based on Deep Learning.基于深度学习的食管鳞状细胞癌淋巴结的影像组学分析
J Oncol. 2022 Sep 13;2022:8534262. doi: 10.1155/2022/8534262. eCollection 2022.
5
A nomogram model for predicting prognosis of obstructive colorectal cancer.预测梗阻性结直肠癌预后的列线图模型。
World J Surg Oncol. 2021 Dec 2;19(1):337. doi: 10.1186/s12957-021-02445-6.
浅表扩散型食管鳞癌患者的淋巴结转移风险。
Digestion. 2020;101(3):239-244. doi: 10.1159/000499017. Epub 2019 Mar 25.
4
Radiomic nomogram for prediction of axillary lymph node metastasis in breast cancer.基于影像组学的乳腺癌腋窝淋巴结转移预测列线图
Eur Radiol. 2019 Jul;29(7):3820-3829. doi: 10.1007/s00330-018-5981-2. Epub 2019 Jan 30.
5
Strategies of nodal staging of the TNM system for esophageal cancer.食管癌TNM系统的区域淋巴结分期策略。
Ann Transl Med. 2018 Feb;6(4):77. doi: 10.21037/atm.2017.12.17.
6
Eighth Edition Staging of Thoracic Malignancies: Implications for the Reporting Pathologist.第八版胸内恶性肿瘤分期:对报告病理学家的影响。
Arch Pathol Lab Med. 2018 May;142(5):645-661. doi: 10.5858/arpa.2017-0245-RA. Epub 2018 Feb 26.
7
Elucidation of the Anatomical Mechanism of Nodal Skip Metastasis in Superficial Thoracic Esophageal Squamous Cell Carcinoma.阐明浅表性胸段食管鳞癌淋巴结跳跃转移的解剖学机制。
Ann Surg Oncol. 2018 May;25(5):1221-1228. doi: 10.1245/s10434-018-6390-0. Epub 2018 Feb 23.
8
A Radiomics Nomogram for the Preoperative Prediction of Lymph Node Metastasis in Bladder Cancer.膀胱癌淋巴结转移术前预测的放射组学列线图
Clin Cancer Res. 2017 Nov 15;23(22):6904-6911. doi: 10.1158/1078-0432.CCR-17-1510. Epub 2017 Sep 5.
9
Prognostic value of right upper mediastinal lymphadenectomy in Sweet procedure for esophageal cancer.食管癌Sweet手术中右上纵隔淋巴结清扫术的预后价值
J Thorac Dis. 2016 Dec;8(12):3625-3632. doi: 10.21037/jtd.2016.12.50.
10
The Eighth Edition AJCC Cancer Staging Manual: Continuing to build a bridge from a population-based to a more "personalized" approach to cancer staging.第八版 AJCC 癌症分期手册:继续从基于人群的方法向更“个体化”的癌症分期方法构建桥梁。
CA Cancer J Clin. 2017 Mar;67(2):93-99. doi: 10.3322/caac.21388. Epub 2017 Jan 17.