• 文献检索
  • 文档翻译
  • 深度研究
  • 学术资讯
  • Suppr Zotero 插件Zotero 插件
  • 邀请有礼
  • 套餐&价格
  • 历史记录
应用&插件
Suppr Zotero 插件Zotero 插件浏览器插件Mac 客户端Windows 客户端微信小程序
定价
高级版会员购买积分包购买API积分包
服务
文献检索文档翻译深度研究API 文档MCP 服务
关于我们
关于 Suppr公司介绍联系我们用户协议隐私条款
关注我们

Suppr 超能文献

核心技术专利:CN118964589B侵权必究
粤ICP备2023148730 号-1Suppr @ 2026

文献检索

告别复杂PubMed语法,用中文像聊天一样搜索,搜遍4000万医学文献。AI智能推荐,让科研检索更轻松。

立即免费搜索

文件翻译

保留排版,准确专业,支持PDF/Word/PPT等文件格式,支持 12+语言互译。

免费翻译文档

深度研究

AI帮你快速写综述,25分钟生成高质量综述,智能提取关键信息,辅助科研写作。

立即免费体验

血浆血管生成素-2 与乌干达儿童严重疟疾后与年龄相关的认知子量表缺陷有关。

Plasma angiopoietin-2 is associated with age-related deficits in cognitive sub-scales in Ugandan children following severe malaria.

机构信息

Department of Medical Microbiology, College of Health Sciences, Makerere University, Kampala, Uganda.

Department of Psychiatry, College of Health Sciences, Makerere University, Kampala, Uganda.

出版信息

Malar J. 2021 Jan 6;20(1):17. doi: 10.1186/s12936-020-03545-6.

DOI:10.1186/s12936-020-03545-6
PMID:33407493
原文链接:https://pmc.ncbi.nlm.nih.gov/articles/PMC7789657/
Abstract

BACKGROUND

Elevated angiopoietin-2 (Angpt-2) concentrations are associated with worse overall neurocognitive function in severe malaria survivors, but the specific domains affected have not been elucidated.

METHODS

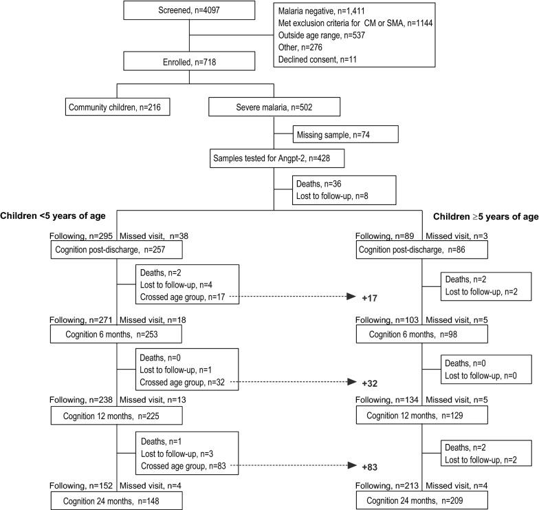
Ugandan children with severe malaria underwent neurocognitive evaluation a week after hospital discharge and at 6, 12 and 24 months follow-up. The relationship between Angpt-2 concentrations and age-adjusted, cognitive sub-scale z-scores over time were evaluated using linear mixed effects models, adjusting for disease severity (coma, acute kidney injury, number of seizures in hospital) and sociodemographic factors (age, gender, height-for-age z-score, socio-economic status, enrichment in the home environment, parental education, and any preschool education of the child). The Mullen Scales of Early Learning was used in children < 5 years and the Kaufman Assessment Battery for Children 2nd edition was used in children ≥ 5 years of age. Angpt-2 levels were measured on admission plasma samples by enzyme-linked immunosorbent assay. Adjustment for multiple comparisons was conducted using the Benjamini-Hochberg Procedure of False Discovery Rate.

RESULTS

Increased admission Angpt-2 concentration was associated with worse outcomes in all domains (fine and gross motor, visual reception, receptive and expressive language) in children < 5 years of age at the time of severe malaria episode, and worse simultaneous processing and learning in children < 5 years of age at the time of severe malaria who were tested when ≥ 5 years of age. No association was seen between Angpt-2 levels and cognitive outcomes in children ≥ 5 years at the time of severe malaria episode, but numbers of children and testing time points were lower for children ≥ 5 years at the time of severe malaria episode.

CONCLUSION

Elevated Angpt-2 concentration in children with severe malaria is associated with worse outcomes in multiple neurocognitive domains. The relationship between Angpt-2 and worse cognition is evident in children < 5 years of age at the time of severe malaria presentation and in selected domains in older years.

摘要

背景

血管生成素-2(Angpt-2)浓度升高与重症疟疾幸存者的整体神经认知功能下降有关,但具体受影响的领域尚未阐明。

方法

乌干达患有重症疟疾的儿童在出院后一周以及 6、12 和 24 个月的随访时进行神经认知评估。使用线性混合效应模型评估 Angpt-2 浓度与随时间变化的年龄调整认知子量表 z 分数之间的关系,调整疾病严重程度(昏迷、急性肾损伤、住院期间癫痫发作次数)和社会人口因素(年龄、性别、身高年龄 z 分数、社会经济地位、家庭环境丰富度、父母教育程度以及儿童的任何学前教育)。5 岁以下儿童使用 Mullen 早期学习量表,5 岁及以上儿童使用 Kaufman 儿童评估量表第二版。入院时通过酶联免疫吸附试验测定血浆样本中的 Angpt-2 水平。使用 Benjamini-Hochberg 假发现率程序进行多重比较调整。

结果

入院时 Angpt-2 浓度升高与所有领域(精细和粗大运动、视觉接受、接受性和表达性语言)的结局较差相关在患有重症疟疾的 5 岁以下儿童中,并且在患有重症疟疾的 5 岁以下儿童中同时进行处理和学习时,结果较差当≥5 岁时接受测试。在患有重症疟疾的 5 岁及以上儿童中,未发现 Angpt-2 水平与认知结局之间存在关联,但患有重症疟疾的 5 岁及以上儿童的数量和测试时间点较少。

结论

重症疟疾患儿 Angpt-2 浓度升高与多个神经认知领域的结局较差有关。在患有重症疟疾的 5 岁以下儿童中,Angpt-2 与认知能力下降之间的关系明显,并且在年龄较大的儿童中在某些领域也存在这种关系。

https://cdn.ncbi.nlm.nih.gov/pmc/blobs/9781/7789657/e769d21b359d/12936_2020_3545_Fig1_HTML.jpg
https://cdn.ncbi.nlm.nih.gov/pmc/blobs/9781/7789657/e769d21b359d/12936_2020_3545_Fig1_HTML.jpg
https://cdn.ncbi.nlm.nih.gov/pmc/blobs/9781/7789657/e769d21b359d/12936_2020_3545_Fig1_HTML.jpg

相似文献

1
Plasma angiopoietin-2 is associated with age-related deficits in cognitive sub-scales in Ugandan children following severe malaria.血浆血管生成素-2 与乌干达儿童严重疟疾后与年龄相关的认知子量表缺陷有关。
Malar J. 2021 Jan 6;20(1):17. doi: 10.1186/s12936-020-03545-6.
2
Endothelial Activation, Acute Kidney Injury, and Cognitive Impairment in Pediatric Severe Malaria.内皮细胞活化、急性肾损伤与儿童严重疟疾认知障碍。
Crit Care Med. 2020 Sep;48(9):e734-e743. doi: 10.1097/CCM.0000000000004469.
3
Cognition, behaviour and academic skills after cognitive rehabilitation in Ugandan children surviving severe malaria: a randomised trial.乌干达儿童中重度疟疾存活者认知康复后的认知、行为和学业技能:一项随机试验。
BMC Neurol. 2011 Aug 4;11:96. doi: 10.1186/1471-2377-11-96.
4
Acute kidney injury is associated with impaired cognition and chronic kidney disease in a prospective cohort of children with severe malaria.急性肾损伤与认知障碍和慢性肾脏病相关,这在严重疟疾的前瞻性队列儿童中得到了证实。
BMC Med. 2019 May 21;17(1):98. doi: 10.1186/s12916-019-1332-7.
5
Association of Plasma Tau With Mortality and Long-term Neurocognitive Impairment in Survivors of Pediatric Cerebral Malaria and Severe Malarial Anemia.血浆 Tau 与儿童疟疾和严重疟疾性贫血幸存者的死亡率和长期神经认知障碍的关联。
JAMA Netw Open. 2021 Dec 1;4(12):e2138515. doi: 10.1001/jamanetworkopen.2021.38515.
6
Elevated Cerebrospinal Fluid Tau Protein Concentrations on Admission Are Associated With Long-term Neurologic and Cognitive Impairment in Ugandan Children With Cerebral Malaria.入院时脑脊液 Tau 蛋白浓度升高与乌干达儿童疟疾性脑病的长期神经和认知功能障碍有关。
Clin Infect Dis. 2020 Mar 3;70(6):1161-1168. doi: 10.1093/cid/ciz325.
7
Angiopoietin Level Trajectories in Toddlers With Severe Sepsis and Septic Shock and Their Effect on Capillary Endothelium.婴幼儿严重脓毒症和脓毒性休克的血管生成素水平轨迹及其对毛细血管内皮的影响。
Shock. 2019 Mar;51(3):298-305. doi: 10.1097/SHK.0000000000001172.
8
Neurodevelopmental performance among pre-schoolers treated for severe anaemia at Lira Regional Referral Hospital, Uganda.乌干达利拉地区转诊医院接受重度贫血治疗的学龄前儿童的神经发育表现。
PLoS One. 2020 Nov 4;15(11):e0240694. doi: 10.1371/journal.pone.0240694. eCollection 2020.
9
Admission angiopoietin levels in children with septic shock.感染性休克患儿入院时血管生成素水平。
Shock. 2007 Dec;28(6):650-654.
10
Parenteral artemisinins are associated with reduced mortality and neurologic deficits and improved long-term behavioral outcomes in children with severe malaria.注射用青蒿素与降低死亡率和神经功能缺损以及改善严重疟疾儿童的长期行为结果相关。
BMC Med. 2021 Jul 28;19(1):168. doi: 10.1186/s12916-021-02033-1.

引用本文的文献

1
Angiopoietin-2 is associated with sickle cell complications, including stroke risk, and decreases with hydroxyurea therapy.血管生成素-2与镰状细胞并发症相关,包括中风风险,并且在羟基脲治疗后会降低。
Blood Vessel Thromb Hemost. 2024 Feb 8;1(1):100001. doi: 10.1016/j.bvth.2024.100001. eCollection 2024 Mar.
2
Determinants of retinopathy and short-term neurological outcomes after cerebral malaria.脑型疟后视网膜病变和短期神经学预后的决定因素。
Sci Rep. 2025 Apr 19;15(1):13610. doi: 10.1038/s41598-025-97468-4.
3
Unveiling new perspectives about the onset of neurological and cognitive deficits in cerebral malaria: exploring cellular and neurochemical mechanisms.

本文引用的文献

1
How Does Blood-Retinal Barrier Breakdown Relate to Death and Disability in Pediatric Cerebral Malaria?小儿疟疾性脑玻血视网膜屏障破坏与死亡和残疾的关系如何?
J Infect Dis. 2022 Mar 15;225(6):1070-1080. doi: 10.1093/infdis/jiaa541.
2
Endothelial Activation, Acute Kidney Injury, and Cognitive Impairment in Pediatric Severe Malaria.内皮细胞活化、急性肾损伤与儿童严重疟疾认知障碍。
Crit Care Med. 2020 Sep;48(9):e734-e743. doi: 10.1097/CCM.0000000000004469.
3
Parasite histones are toxic to brain endothelium and link blood barrier breakdown and thrombosis in cerebral malaria.
揭示脑型疟疾中神经和认知缺陷发病的新观点:探索细胞和神经化学机制。
Front Cell Infect Microbiol. 2025 Feb 6;15:1506282. doi: 10.3389/fcimb.2025.1506282. eCollection 2025.
4
Exploring the hidden mental health consequences of malaria beyond the fever.探索疟疾发热之外隐藏的心理健康后果。
Front Hum Neurosci. 2024 Jul 18;18:1432441. doi: 10.3389/fnhum.2024.1432441. eCollection 2024.
5
Apolipoprotein-E4: risk of severe malaria and mortality and cognitive impairment in pediatric cerebral malaria.载脂蛋白E4:小儿脑型疟疾中患重症疟疾、死亡及认知障碍的风险
Pediatr Res. 2024 Jul;96(1):89-96. doi: 10.1038/s41390-023-02912-8. Epub 2023 Nov 25.
6
Interplay Between the Immune and Nervous Cognitive Systems in Homeostasis and in Malaria.免疫和神经认知系统在稳态和疟疾中的相互作用。
Int J Biol Sci. 2023 Jun 28;19(11):3383-3394. doi: 10.7150/ijbs.82556. eCollection 2023.
7
Cerebrospinal fluid biomarkers provide evidence for kidney-brain axis involvement in cerebral malaria pathogenesis.脑脊液生物标志物为肾-脑轴参与脑型疟疾发病机制提供了证据。
Front Hum Neurosci. 2023 May 2;17:1177242. doi: 10.3389/fnhum.2023.1177242. eCollection 2023.
8
Elevated brain derived neurotrophic factor in plasma and interleukin-6 levels in cerebrospinal fluid in meningitis compared to cerebral malaria.脑膜炎患者的血浆脑源性神经营养因子升高,而脑型疟疾患者的脑脊液中白细胞介素-6 水平升高。
J Neurol Sci. 2023 Jul 15;450:120663. doi: 10.1016/j.jns.2023.120663. Epub 2023 May 2.
9
The kidney-brain pathogenic axis in severe falciparum malaria.严重疟疾中的肾脑致病轴。
Trends Parasitol. 2023 Mar;39(3):191-199. doi: 10.1016/j.pt.2023.01.005. Epub 2023 Feb 2.
10
Pathophysiology of Acute Kidney Injury in Malaria and Non-Malarial Febrile Illness: A Prospective Cohort Study.疟疾和非疟疾发热性疾病中急性肾损伤的病理生理学:一项前瞻性队列研究。
Pathogens. 2022 Apr 3;11(4):436. doi: 10.3390/pathogens11040436.
疟原虫组蛋白对脑内皮细胞有毒性,并与脑疟疾中血脑屏障破坏和血栓形成有关。
Blood Adv. 2020 Jul 14;4(13):2851-2864. doi: 10.1182/bloodadvances.2019001258.
4
Acute kidney injury is associated with impaired cognition and chronic kidney disease in a prospective cohort of children with severe malaria.急性肾损伤与认知障碍和慢性肾脏病相关,这在严重疟疾的前瞻性队列儿童中得到了证实。
BMC Med. 2019 May 21;17(1):98. doi: 10.1186/s12916-019-1332-7.
5
Role of Angiopoietin-2 in Vascular Physiology and Pathophysiology.血管生成素-2 在血管生理学和病理生理学中的作用。
Cells. 2019 May 17;8(5):471. doi: 10.3390/cells8050471.
6
Elevated Cerebrospinal Fluid Tau Protein Concentrations on Admission Are Associated With Long-term Neurologic and Cognitive Impairment in Ugandan Children With Cerebral Malaria.入院时脑脊液 Tau 蛋白浓度升高与乌干达儿童疟疾性脑病的长期神经和认知功能障碍有关。
Clin Infect Dis. 2020 Mar 3;70(6):1161-1168. doi: 10.1093/cid/ciz325.
7
Cerebrospinal fluid Plasmodium falciparum histidine-rich protein-2 in pediatric cerebral malaria.儿童脑型疟疾中的脑脊液恶性疟原虫高组氨酸蛋白-2。
Malar J. 2018 Mar 23;17(1):125. doi: 10.1186/s12936-018-2272-y.
8
Lack of mortality in 22 children with sickle cell anemia and severe malarial anemia.22名镰状细胞贫血和严重疟疾性贫血患儿无死亡情况。
Pediatr Blood Cancer. 2018 Jan;65(1). doi: 10.1002/pbc.26745. Epub 2017 Aug 17.
9
Cerebrospinal fluid kynurenine and kynurenic acid concentrations are associated with coma duration and long-term neurocognitive impairment in Ugandan children with cerebral malaria.乌干达患脑型疟疾儿童的脑脊液犬尿氨酸和犬尿喹啉酸浓度与昏迷持续时间及长期神经认知障碍相关。
Malar J. 2017 Jul 28;16(1):303. doi: 10.1186/s12936-017-1954-1.
10
Magnetic Resonance Imaging of Cerebral Malaria Patients Reveals Distinct Pathogenetic Processes in Different Parts of the Brain.脑型疟疾患者的磁共振成像揭示了大脑不同部位独特的致病过程。
mSphere. 2017 Jun 7;2(3). doi: 10.1128/mSphere.00193-17. eCollection 2017 May-Jun.