Suppr超能文献

一氧化氮在高血压发病机制中的作用的某些方面(实验研究)

Some Aspects of Role of Nitric Oxide in the Mechanisms of Hypertension (Experimental Study).

作者信息

Kakabadze Katevan, Megreladze Irakli, Khvichia Nino, Mitagvaria Nodar, Kipiani Nina, Dumbadze Megi, Sanikidze Tamar

机构信息

Department of Physics, Biophysics, Biomechanics and Informational Technologies, Tbilisi State Medical University, Tbilisi, Georgia.

Department of Cardiology, Amtel Hospital, Tbilisi, Georgia.

出版信息

Cardiol Res. 2021 Feb;12(1):16-24. doi: 10.14740/cr1172. Epub 2020 Dec 11.

Abstract

BACKGROUND

Modulation of endothelial function is a therapeutic option to reduce some of the significant complications of hypertension. However, the relationship between endothelial dysfunction reduced nitric oxide (NO) production, and the development of hypertension is not fully understood. To establish a potential pathogenetic link between impaired NO synthesis and hypertension, we investigated the results of competitive interaction of the substrate of NO synthase, L-arginine, and its analog, an non-selective inhibitor of NO synthase, N-nitro-methyl ether-L-arginine (L-NAME), in experimental rats.

METHODS

Arterial hypertension was induced in male Wistar rats by intraperitoneal administration of L-NAME (Sigma-Aldrich) for 4 - 7 weeks. During the last 3 weeks, to a separate group of animals simultaneously with L-NAME, L-arginine (Sigma-Aldrich) was administered. In animals monitored for systolic and diastolic pressure, the level of NO in blood samples was determined spectrophotometrically using a Griess reagent.

RESULTS

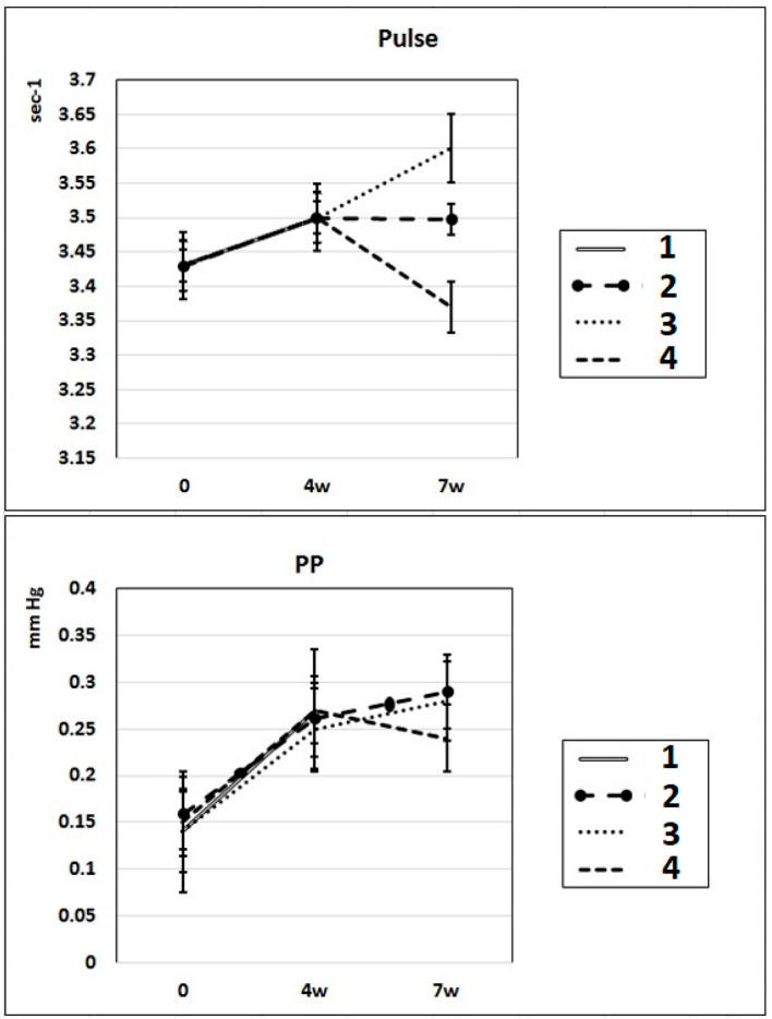
Administration of L-NAME for 4 - 7 weeks induced an irreversible decrease of NO content in blood, a reversible increase of systolic pressure (SP) and diastolic pressure (DP), and an irreversible increase in pulse pressure (PP). In rats against the background of 7 weeks of intraperitoneal administration of L-NAME, during the last 3 weeks, they were injected with L-arginine, the SP and DP indices returned to their initial values, PP decreased and the NO content in arterial blood increased.

CONCLUSIONS

The results of the study indicate the presence of residual endothelial dysfunction (characterized by insufficient NO) after the correction of hypertension. Therefore, in developing the new therapeutic approaches for the treatment of hypertension, it is necessary to include drugs that, in addition to correcting blood pressure, will support normalization, and potentiation of endothelial function and endogenous NO synthesis.

摘要

背景

调节内皮功能是降低高血压一些严重并发症的一种治疗选择。然而,内皮功能障碍导致一氧化氮(NO)生成减少与高血压发展之间的关系尚未完全明确。为了建立NO合成受损与高血压之间潜在的发病机制联系,我们在实验大鼠中研究了NO合酶底物L-精氨酸及其类似物(一种NO合酶的非选择性抑制剂N-硝基甲基-L-精氨酸(L-NAME))的竞争性相互作用结果。

方法

通过腹腔注射L-NAME(西格玛奥德里奇公司)4至7周,诱导雄性Wistar大鼠发生动脉高血压。在最后3周,对另一组动物在给予L-NAME的同时给予L-精氨酸(西格玛奥德里奇公司)。在监测收缩压和舒张压的动物中,使用格里斯试剂通过分光光度法测定血样中的NO水平。

结果

给予L-NAME 4至7周导致血液中NO含量不可逆降低,收缩压(SP)和舒张压(DP)可逆性升高,脉压(PP)不可逆性升高。在腹腔注射L-NAME 7周的大鼠背景下,在最后3周给它们注射L-精氨酸后,SP和DP指数恢复到初始值,PP降低,动脉血中NO含量增加。

结论

研究结果表明高血压纠正后存在残余内皮功能障碍(以NO不足为特征)。因此,在开发治疗高血压的新治疗方法时,有必要纳入除了纠正血压外还能支持内皮功能和内源性NO合成正常化及增强的药物。

https://cdn.ncbi.nlm.nih.gov/pmc/blobs/8d5f/7781263/f8a3dfa7fb32/cr-12-016-g001.jpg

文献AI研究员

20分钟写一篇综述,助力文献阅读效率提升50倍。

立即体验

用中文搜PubMed

大模型驱动的PubMed中文搜索引擎

马上搜索

文档翻译

学术文献翻译模型,支持多种主流文档格式。

立即体验