College of Life Sciences, Northeast Agricultural University, Harbin 150030, China.
College of Plant Protection, China Agricultural University, Beijing 100000, China.
Int J Mol Sci. 2021 Jan 13;22(2):758. doi: 10.3390/ijms22020758.
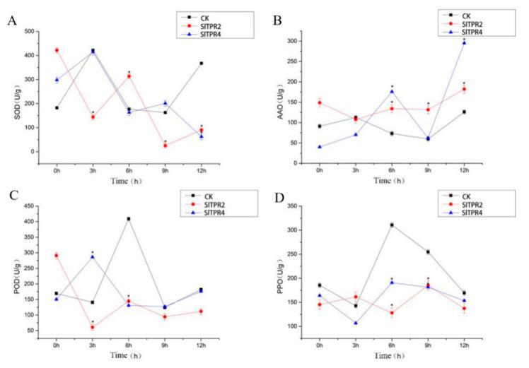
Tomato (Solanum lycopersicum) as an important vegetable grown around the world is threatened by many diseases, which seriously affects its yield. Therefore, studying the interaction between tomato and pathogenic bacteria is biologically and economically important. The TPR (Tetratricopeptide repeat) gene family is a class of genes containing TPR conserved motifs, which are widely involved in cell cycle regulation, gene expression, protein degradation and other biological processes. The functions of TPR gene in Arabidopsis and wheat plants have been well studied, but the research on TPR genes in tomato is not well studied. In this study, 26 TPR gene families were identified using bioinformatics based on tomato genome data, and they were analyzed for subcellular localization, phylogenetic evolution, conserved motifs, tissue expression, and GO (Gene Ontology) analysis. The qRT-PCR was used to detect the expression levels of each member of the tomato TPR gene family (SlTPRs) under biological stress (Botrytis cinerea) and abiotic stress such as drought and abscisic acid (ABA). The results showed that members of the tomato TPR family responded to various abiotic stresses and Botrytis cinerea stress, and the SlTPR2 and SlTPR4 genes changed significantly under different stresses. Using VIGS (Virus-induced gene silencing) technology to silence these two genes, the silenced plants showed reduced disease resistance. It was also shown that TPR4 can interact with atpA which encodes a chloroplast ATP synthase CF1 α subunit. The above results provide a theoretical basis for further exploring the molecular mechanism of TPR-mediated resistance in disease defense, and also provide a foundation for tomato disease resistance breeding.
番茄(Solanum lycopersicum)作为一种在世界各地广泛种植的重要蔬菜,受到多种疾病的威胁,这严重影响了其产量。因此,研究番茄与病原菌的相互作用具有重要的生物学和经济意义。TPR(tetratricopeptide repeat)基因家族是一类含有 TPR 保守基序的基因,广泛参与细胞周期调控、基因表达、蛋白质降解等生物过程。TPR 基因在拟南芥和小麦植物中的功能已得到很好的研究,但番茄中 TPR 基因的研究还不够深入。本研究基于番茄基因组数据,采用生物信息学方法鉴定了 26 个 TPR 基因家族,并对其进行了亚细胞定位、系统进化、保守基序、组织表达和 GO(Gene Ontology)分析。利用 qRT-PCR 检测了番茄 TPR 基因家族(SlTPRs)成员在生物胁迫(灰葡萄孢)和非生物胁迫(干旱和脱落酸(ABA))下的表达水平。结果表明,番茄 TPR 家族成员对各种非生物胁迫和灰葡萄孢胁迫均有响应,SlTPR2 和 SlTPR4 基因在不同胁迫下变化显著。利用 VIGS(Virus-induced gene silencing)技术沉默这两个基因后,沉默植株的抗病性降低。还表明 TPR4 可以与编码叶绿体 ATP 合酶 CF1α亚基的 atpA 基因互作。上述结果为进一步探讨 TPR 介导的抗病分子机制提供了理论依据,也为番茄抗病育种奠定了基础。