• 文献检索
  • 文档翻译
  • 深度研究
  • 学术资讯
  • Suppr Zotero 插件Zotero 插件
  • 邀请有礼
  • 套餐&价格
  • 历史记录
应用&插件
Suppr Zotero 插件Zotero 插件浏览器插件Mac 客户端Windows 客户端微信小程序
定价
高级版会员购买积分包购买API积分包
服务
文献检索文档翻译深度研究API 文档MCP 服务
关于我们
关于 Suppr公司介绍联系我们用户协议隐私条款
关注我们

Suppr 超能文献

核心技术专利:CN118964589B侵权必究
粤ICP备2023148730 号-1Suppr @ 2026

文献检索

告别复杂PubMed语法,用中文像聊天一样搜索,搜遍4000万医学文献。AI智能推荐,让科研检索更轻松。

立即免费搜索

文件翻译

保留排版,准确专业,支持PDF/Word/PPT等文件格式,支持 12+语言互译。

免费翻译文档

深度研究

AI帮你快速写综述,25分钟生成高质量综述,智能提取关键信息,辅助科研写作。

立即免费体验

研究锥形闪烁探测器在调强放射治疗计划患者特异性验证中的潜力。

Investigating the potential of conical scintillation detectors for patient-specific verification of intensity-modulated radiotherapy plans.

作者信息

Yock Adam D, Johnson Levi S, Price Michael

机构信息

Department of Radiation Oncology, Vanderbilt University Medical Center, Nashville, Tennessee, USA.

出版信息

Phys Imaging Radiat Oncol. 2020 Jun 11;14:67-73. doi: 10.1016/j.phro.2020.06.001. eCollection 2020 Apr.

DOI:10.1016/j.phro.2020.06.001
PMID:33458317
原文链接:https://pmc.ncbi.nlm.nih.gov/articles/PMC7807557/
Abstract

BACKGROUND AND PURPOSE

Conical scintillation detectors are frequently used to measure geometric characteristics of radiotherapy modalities. However, their application to verify intensity-modulated radiotherapy plan delivery has not been investigated and requires a more detailed understanding of device response. This work evaluated the novel application of a conical scintillation detector to plan-specific quality assurance (QA) for intensity-modulated photon plans by evaluating device dependence on beam delivery and device acquisition parameters.

MATERIALS AND METHODS

Measurements were made with a conical scintillation detector using beam delivery parameters of five photon beams (6-15 MV, including flattening filter free), three field sizes (1 × 1-5 × 5 cm), and several dose rates (100-2000 MU/min) combined with device acquisition parameters of two frame rates (10 and 20 fps) and three gains (18-22 dB). A standardization equation to correct for gain and frame rate was investigated, and the remaining dose rate dependence was characterized. Device precision was evaluated using replicate measurements, and spatial uniformity was determined by irradiating different parts of the device.

RESULTS

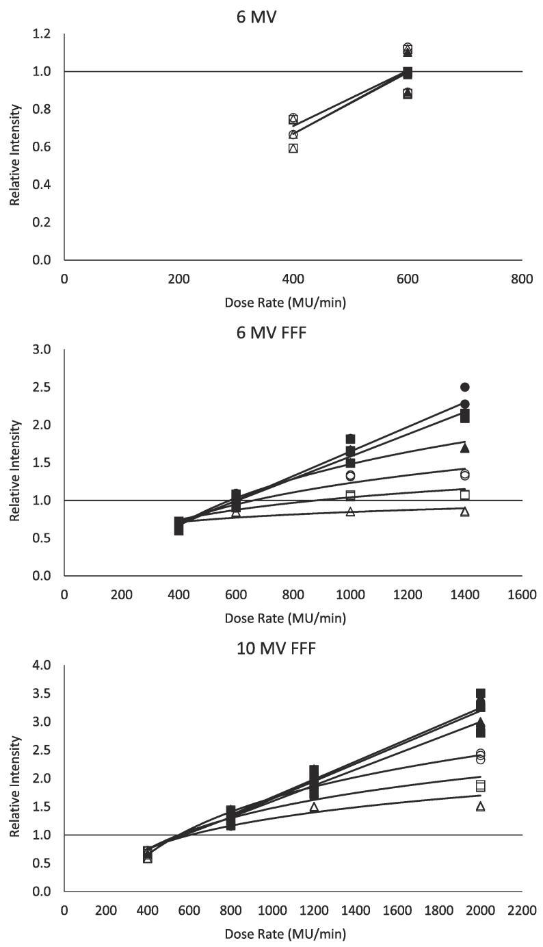
For each parameter combination, measurement reproducibility was 1.3%, and spatial uniformity was 1-2%. Scintillation intensity varied with gain, frame rate, and dose rate. Standardizing measurements for gain and frame rate was effective, but a dependence on dose rate caused errors at non-reference conditions (root mean squared error, RMSE: 0-152%). An additional dose rate correction specific to each combination of gain and frame rate improved accuracy (RMSE 0-17%).

CONCLUSIONS

To consider the detector for plan-specific QA of intensity-modulated radiotherapy plans, correction factors are imperative to mitigate effects of delivery and acquisition parameters.

摘要

背景与目的

锥形闪烁探测器常用于测量放射治疗方式的几何特征。然而,其在验证调强放射治疗计划传输方面的应用尚未得到研究,需要更详细地了解设备响应。本研究通过评估设备对射束传输和设备采集参数的依赖性,对锥形闪烁探测器在调强光子计划的特定计划质量保证(QA)中的新应用进行了评估。

材料与方法

使用锥形闪烁探测器进行测量,采用了五种光子束(6 - 15 MV,包括无均整器)的射束传输参数、三种射野尺寸(1×1 - 5×5 cm)以及几种剂量率(100 - 2000 MU/分钟),并结合两种帧率(10和20 fps)和三种增益(18 - 22 dB)的设备采集参数。研究了一个用于校正增益和帧率的标准化方程,并对剩余的剂量率依赖性进行了表征。通过重复测量评估设备精度,通过照射设备的不同部位确定空间均匀性。

结果

对于每种参数组合,测量重复性为1.3%,空间均匀性为1 - 2%。闪烁强度随增益、帧率和剂量率而变化。对增益和帧率进行测量标准化是有效的,但在非参考条件下剂量率依赖性会导致误差(均方根误差,RMSE:0 - 152%)。针对每种增益和帧率组合的额外剂量率校正提高了准确性(RMSE 0 - 17%)。

结论

为了将该探测器用于调强放射治疗计划的特定计划QA,校正因子对于减轻传输和采集参数的影响至关重要。

https://cdn.ncbi.nlm.nih.gov/pmc/blobs/9607/7807557/bd774d929c2d/gr3.jpg
https://cdn.ncbi.nlm.nih.gov/pmc/blobs/9607/7807557/142b1ec2d407/gr1.jpg
https://cdn.ncbi.nlm.nih.gov/pmc/blobs/9607/7807557/08158715c080/gr2.jpg
https://cdn.ncbi.nlm.nih.gov/pmc/blobs/9607/7807557/bd774d929c2d/gr3.jpg
https://cdn.ncbi.nlm.nih.gov/pmc/blobs/9607/7807557/142b1ec2d407/gr1.jpg
https://cdn.ncbi.nlm.nih.gov/pmc/blobs/9607/7807557/08158715c080/gr2.jpg
https://cdn.ncbi.nlm.nih.gov/pmc/blobs/9607/7807557/bd774d929c2d/gr3.jpg

相似文献

1
Investigating the potential of conical scintillation detectors for patient-specific verification of intensity-modulated radiotherapy plans.研究锥形闪烁探测器在调强放射治疗计划患者特异性验证中的潜力。
Phys Imaging Radiat Oncol. 2020 Jun 11;14:67-73. doi: 10.1016/j.phro.2020.06.001. eCollection 2020 Apr.
2
IMRT QA and gamma comparisons: The impact of detector geometry, spatial sampling, and delivery technique on gamma comparison sensitivity.调强放射治疗质量保证和伽马比较:探测器几何形状、空间采样和传输技术对伽马比较灵敏度的影响。
Med Phys. 2021 Sep;48(9):5367-5381. doi: 10.1002/mp.14997. Epub 2021 Aug 9.
3
Plastic scintillation dosimeter with a conical mirror for measuring 3D dose distribution.带有圆锥形反射镜的塑料闪烁体剂量计,用于测量 3D 剂量分布。
Med Phys. 2021 Oct;48(10):5639-5650. doi: 10.1002/mp.15164. Epub 2021 Aug 20.
4
Practical approach for pretreatment verification of IMRT with flattening filter free(FFF) beams using Varian Portal Dosimetry.使用瓦里安射野剂量仪对无均整器(FFF)射束的调强放射治疗(IMRT)进行治疗前验证的实用方法。
J Appl Clin Med Phys. 2014 Jan 8;16(1):4934. doi: 10.1120/jacmp.v16i1.4934.
5
Flattening filter free in intensity-modulated radiotherapy (IMRT) - Theoretical modeling with delivery efficiency analysis.调强放射治疗中使用的无均整过滤器 - 基于传输效率分析的理论建模。
Med Phys. 2019 Jan;46(1):34-44. doi: 10.1002/mp.13267. Epub 2018 Nov 20.
6
Development and clinical evaluation of an ionization chamber array with 3.5 mm pixel pitch for quality assurance in advanced radiotherapy techniques.用于先进放射治疗技术质量保证的像素间距为3.5毫米的电离室阵列的研制与临床评估
Med Phys. 2016 May;43(5):2283. doi: 10.1118/1.4945414.
7
A new water-equivalent 2D plastic scintillation detectors array for the dosimetry of megavoltage energy photon beams in radiation therapy.一种用于放射治疗中兆伏级能量光子束剂量学的新型水等效 2D 塑料闪烁体探测器阵列。
Med Phys. 2011 Dec;38(12):6763-74. doi: 10.1118/1.3664007.
8
A method to reconstruct and apply 3D primary fluence for treatment delivery verification.一种用于治疗交付验证的三维初始注量重建与应用方法。
J Appl Clin Med Phys. 2017 Jan;18(1):128-138. doi: 10.1002/acm2.12017. Epub 2016 Dec 8.
9
Technical Note: Evaluation of plastic scintillator detector for small field stereotactic patient-specific quality assurance.技术说明:用于小射野立体定向患者特定质量保证的塑料闪烁体探测器的评估。
Med Phys. 2017 Oct;44(10):5509-5516. doi: 10.1002/mp.12471. Epub 2017 Aug 17.
10
Dosimetric quality assurance for intensity-modulated radiotherapy feasibility study for a filmless approach.无胶片方式调强放疗可行性研究的剂量学质量保证
Strahlenther Onkol. 2005 Jul;181(7):468-74. doi: 10.1007/s00066-005-1381-z.

本文引用的文献

1
Semi-automated IGRT QA using a cone-shaped scintillator screen detector for proton pencil beam scanning treatments.使用锥形闪烁体屏幕探测器进行质子铅笔束扫描治疗的半自动 IGRT QA。
Phys Med Biol. 2019 Apr 5;64(8):085004. doi: 10.1088/1361-6560/ab056d.
2
Commissioning of the world's first compact pencil-beam scanning proton therapy system.世界上首个紧凑型笔形束扫描质子治疗系统的调试。
J Appl Clin Med Phys. 2018 Jan;19(1):94-105. doi: 10.1002/acm2.12225. Epub 2017 Nov 20.
3
Monitoring external beam radiotherapy using real-time beam visualization.
使用实时射束可视化监测外照射放疗。
Med Phys. 2015 Jan;42(1):5-13. doi: 10.1118/1.4901255.
4
Task Group 142 report: quality assurance of medical accelerators.第142任务组报告:医用加速器的质量保证
Med Phys. 2009 Sep;36(9):4197-212. doi: 10.1118/1.3190392.
5
A technique for the quantitative evaluation of dose distributions.一种剂量分布的定量评估技术。
Med Phys. 1998 May;25(5):656-61. doi: 10.1118/1.598248.
6
Comprehensive QA for radiation oncology: report of AAPM Radiation Therapy Committee Task Group 40.放射肿瘤学综合质量保证:美国医学物理学家协会放射治疗委员会任务组40报告
Med Phys. 1994 Apr;21(4):581-618. doi: 10.1118/1.597316.
7
Dosimetric precision requirements in radiation therapy.
Acta Radiol Oncol. 1984;23(5):379-91. doi: 10.3109/02841868409136037.
8
A system for stereotactic radiosurgery with a linear accelerator.一种带有直线加速器的立体定向放射外科手术系统。
Int J Radiat Oncol Biol Phys. 1988 Feb;14(2):373-81. doi: 10.1016/0360-3016(88)90446-4.
9
What degree of accuracy is required and can be achieved in photon and neutron therapy?
Radiother Oncol. 1987 Mar;8(3):237-52. doi: 10.1016/s0167-8140(87)80247-5.