Suppr超能文献

同时刺激多个身体部位对拥有整个人工身体的幻觉的贡献。

The contribution of stimulating multiple body parts simultaneously to the illusion of owning an entire artificial body.

机构信息

Department of Neuroscience, Karolinska Institutet, Stockholm, Sweden.

出版信息

PLoS One. 2021 Jan 25;16(1):e0233243. doi: 10.1371/journal.pone.0233243. eCollection 2021.

Abstract

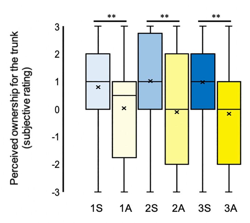
The full-body ownership illusion exploits multisensory perception to induce a feeling of ownership of an entire artificial body. Although previous research has shown that synchronous visuotactile stimulation of a single body part is sufficient for illusory ownership of the whole body, the effect of combining multisensory stimulation across multiple body parts remains unknown. Therefore, 48 healthy adults participated in a full-body ownership illusion with conditions involving synchronous (illusion) or asynchronous (control) visuotactile stimulation to one, two, or three body parts simultaneously (2×3 design). We used questionnaires to isolate illusory ownership of five specific body parts (left arm, right arm, trunk, left leg, right leg) from the full-body ownership experience and sought to test not only for increased ownership in synchronous versus asynchronous conditions but also for potentially varying degrees of full-body ownership illusion intensity related to the number of body parts stimulated. Illusory full-body ownership and all five body-part ownership ratings were significantly higher following synchronous stimulation than asynchronous stimulation (p-values < .01). Since non-stimulated body parts also received significantly increased ownership ratings following synchronous stimulation, the results are consistent with an illusion that engages the entire body. Furthermore, we noted that ownership ratings for right body parts (which were often but not always stimulated in this experiment) were significantly higher than ownership ratings for left body parts (which were never stimulated). Regarding the effect of stimulating multiple body parts simultaneously on explicit full-body ownership ratings, there was no evidence of a significant main effect of the number of stimulations (p = .850) or any significant interaction with stimulation synchronicity (p = .160), as assessed by linear mixed modelling. Instead, median ratings indicated a moderate affirmation (+1) of an illusory full-body sensation in all three synchronous conditions, a finding mirrored by comparable full-body illusion onset times. In sum, illusory full-body ownership appears to be an 'all-or-nothing' phenomenon and depends upon the synchronicity of visuotactile stimulation, irrespective of the number of stimulated body parts.

摘要

全身所有权错觉利用多感官知觉来产生对整个人工身体的所有权感。虽然先前的研究表明,对单个身体部位进行同步视触刺激足以产生整个身体的错觉所有权,但组合多个身体部位的多感官刺激的效果尚不清楚。因此,48 名健康成年人参与了一项全身所有权错觉实验,实验条件涉及同时(错觉)或不同时(对照)对一个、两个或三个身体部位进行同步(2×3 设计)视触刺激。我们使用问卷从全身所有权体验中分离出五个特定身体部位(左臂、右臂、躯干、左腿、右腿)的错觉所有权,并不仅试图测试同步与异步条件下的所有权增加,还试图测试与刺激的身体部位数量相关的潜在不同程度的全身所有权错觉强度。与异步刺激相比,同步刺激后的全身所有权错觉和所有五个身体部位的所有权评分均显著更高(p 值均<.01)。由于在同步刺激后,非刺激身体部位的所有权评分也显著增加,因此结果与涉及整个身体的错觉一致。此外,我们注意到,右身体部位(在本实验中经常但并非总是受到刺激)的所有权评分明显高于左身体部位(从未受到刺激)的所有权评分。关于同时刺激多个身体部位对明确的全身所有权评分的影响,线性混合模型评估表明,刺激数量的主要效应(p=.850)或刺激同步性的任何显著交互作用(p=.160)均无统计学意义。相反,中位数评分表明,在所有三种同步条件下,对虚幻全身感觉的中度肯定(+1),这一发现与类似的全身错觉起始时间相吻合。总之,虚幻的全身所有权似乎是一种“全有或全无”的现象,取决于视触刺激的同步性,而与受刺激的身体部位数量无关。

https://cdn.ncbi.nlm.nih.gov/pmc/blobs/e14e/7833142/ee1ef65ee07a/pone.0233243.g001.jpg

文献AI研究员

20分钟写一篇综述,助力文献阅读效率提升50倍。

立即体验

用中文搜PubMed

大模型驱动的PubMed中文搜索引擎

马上搜索

文档翻译

学术文献翻译模型,支持多种主流文档格式。

立即体验