Suppr超能文献

利用人工神经网络预测不同生态栖息地贯叶连翘中金丝桃素的含量。

Prediction of hypericin content in Hypericum perforatum L. in different ecological habitat using artificial neural networks.

作者信息

Saffariha Maryam, Jahani Ali, Jahani Reza, Latif Sajid

机构信息

Department of Reclamation of Arid and Mountainous Regions, College of Natural Resources, University of Tehran, Tehran, Iran.

Faculty of Natural Environment and Biodiversity Department, College of Environment and Research Center of Environment and Sustainable Development, Standard Square, Karaj, Iran.

出版信息

Plant Methods. 2021 Jan 26;17(1):10. doi: 10.1186/s13007-021-00710-z.

Abstract

BACKGROUND

Hypericum is an important genus in the family Hypericaceae, which includes 484 species. This genus has been grown in temperate regions and used for treating wounds, eczema and burns. The aim of this study was to predict the content of hypericin in Hypericum perforatum in varied ecological and phenological conditions of habitat using artificial neural network techniques [MLP (Multi-Layer Perceptron), RBF (Radial Basis Function) and SVM (Support Vector Machine)].

RESULTS

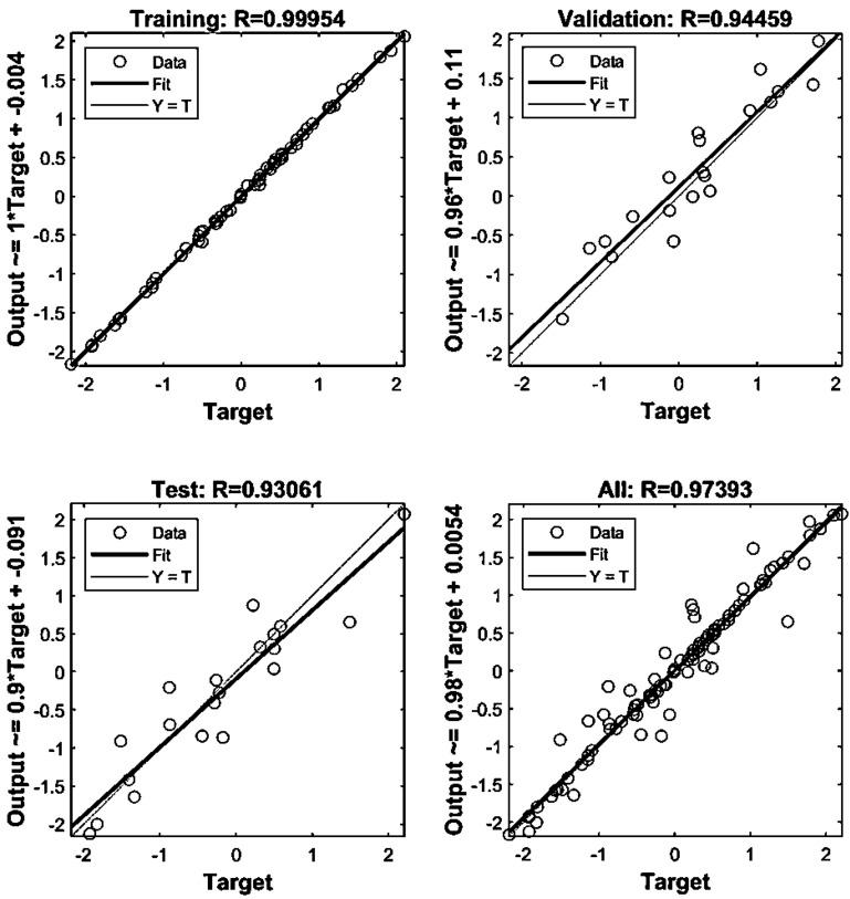
According to the results, the MLP model (R = 0.87) had an advantage over RBF (R = 0.8) and SVM (R = 0.54) models and it was relatively accurate in predicting hypericin content in H. perforatum based on the ecological conditions of site including soil types, its characteristics and plant phenological stages of habitat. The results of sensitivity analysis revealed that phenological stages, hill aspects, total nitrogen, altitude and organic carbon are the most influential factors that have an integral effect on the content of hypericin.

CONCLUSIONS

The designed graphical user interface will help pharmacognosist, manufacturers and producers of medicinal plants and so on to run the MLP model on new data to easily discover the content of hypericin in H. perforatum by entering ecological conditions of site, soil characteristics and plant phenological stages.

摘要

背景

金丝桃属是金丝桃科中的一个重要属,包含484个物种。该属植物已在温带地区种植,并用于治疗伤口、湿疹和烧伤。本研究的目的是使用人工神经网络技术[多层感知器(MLP)、径向基函数(RBF)和支持向量机(SVM)]预测在不同生态和物候条件下的贯叶连翘中金丝桃素的含量。

结果

根据结果,MLP模型(R = 0.87)优于RBF模型(R = 0.8)和SVM模型(R = 0.54),并且基于包括土壤类型、其特征和生境的植物物候阶段在内的立地生态条件,在预测贯叶连翘中金丝桃素含量方面相对准确。敏感性分析结果表明,物候阶段、山坡朝向、总氮、海拔和有机碳是对金丝桃素含量具有整体影响的最具影响力的因素。

结论

所设计的图形用户界面将有助于生药学工作者、药用植物制造商和生产商等,通过输入立地生态条件、土壤特征和植物物候阶段,在新数据上运行MLP模型,从而轻松发现贯叶连翘中金丝桃素的含量。

https://cdn.ncbi.nlm.nih.gov/pmc/blobs/e2ae/7836460/8fddc4890e09/13007_2021_710_Fig1_HTML.jpg

文献检索

告别复杂PubMed语法,用中文像聊天一样搜索,搜遍4000万医学文献。AI智能推荐,让科研检索更轻松。

立即免费搜索

文件翻译

保留排版,准确专业,支持PDF/Word/PPT等文件格式,支持 12+语言互译。

免费翻译文档

深度研究

AI帮你快速写综述,25分钟生成高质量综述,智能提取关键信息,辅助科研写作。

立即免费体验