Department of Biotechnology and Molecular Medicine, Arak University of Medical Sciences, Arak, Iran.
Department of Microbiology and Immunology, Arak University of Medical Sciences, Arak, Iran.
Asian Pac J Cancer Prev. 2021 Jan 1;22(1):111-117. doi: 10.31557/APJCP.2021.22.1.111.
Chronic lymphocytic leukemia (CLL) is one of the most common hematologic malignancy in adults worldwide. This cancer has a poor prognosis at different stages. So, the identification of new biomarkers is important for diagnosis of B-CLL. Considering the oncogenic role of APRIL molecule in this leukemia as well as the regulatory role of miRNAs in different signaling pathways, the present study evaluated the miRNAs targeting APRIL gene in B-CLL.
The miRNAs were predicted and selected using bioinformatics algorithms. A total of 80 plasma samples were subjected to RNA extraction and synthesis of cDNA. The expressions levels of predicted miRNAs and APRIL gene in plasma of B-CLL patients and healthy individuals were assessed by Real time PCR analysis. ROC analysis was performed to investigate the role predicted miRNAs as novel biomarkers in diagnosis of B-CLL.
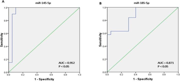
The results of the prediction showed that miR-145-5p and miR-185-5p target the APRIL gene. The expression level of APRIL gene was strikingly higher in plasma of B-CLL patients than in the healthy individuals (102, P= 0.001). On the other hand, expression levels of miR-145-5p and miR-185-5p were strikingly lower in B-CLL patients than in the healthy individuals (0.07, P= 0.001) (0.29, P= 0.001). Also, ROC curve analyses demonstrated that miR-145-5p and miR-185-5p are specific and sensitive and may serve as new biomarkers for the detection of B-CLL. (AUC; 0.95, sensitivity; %90) (AUC; 0.87, sensitivity; %63).
These data suggest that miR-145-5p and miR-185-5p target the APRIL gene and might have a role in diagnosis of B-CLL. Therefore, these two miRNAs can be served as a novel and potential biomarker for detection of B-CLL.
慢性淋巴细胞白血病(CLL)是全球成年人中最常见的血液恶性肿瘤之一。这种癌症在不同阶段预后较差。因此,鉴定新的生物标志物对于 B-CLL 的诊断很重要。考虑到 APRIL 分子在这种白血病中的致癌作用以及 miRNA 在不同信号通路中的调节作用,本研究评估了针对 B-CLL 的 APRIL 基因的 miRNA。
使用生物信息学算法预测和选择 miRNA。共 80 份血浆样本进行 RNA 提取和 cDNA 合成。通过实时 PCR 分析评估 B-CLL 患者和健康个体血浆中预测 miRNA 和 APRIL 基因的表达水平。ROC 分析用于研究预测 miRNA 作为 B-CLL 诊断新型生物标志物的作用。
预测结果表明,miR-145-5p 和 miR-185-5p 靶向 APRIL 基因。B-CLL 患者血浆中 APRIL 基因的表达水平明显高于健康个体(102,P=0.001)。另一方面,miR-145-5p 和 miR-185-5p 在 B-CLL 患者中的表达水平明显低于健康个体(0.07,P=0.001)(0.29,P=0.001)。此外,ROC 曲线分析表明,miR-145-5p 和 miR-185-5p 是特异性和敏感性的,可以作为检测 B-CLL 的新型生物标志物。(AUC;0.95,敏感性;%90)(AUC;0.87,敏感性;%63)。
这些数据表明,miR-145-5p 和 miR-185-5p 靶向 APRIL 基因,可能在 B-CLL 的诊断中发挥作用。因此,这两种 miRNA 可作为检测 B-CLL 的新型潜在生物标志物。