Suppr超能文献

倒易空间切片:一种用于飞秒X射线衍射的高效时间方法。

Reciprocal space slicing: A time-efficient approach to femtosecond x-ray diffraction.

作者信息

Zeuschner S P, Mattern M, Pudell J-E, von Reppert A, Rössle M, Leitenberger W, Schwarzkopf J, Boschker J E, Herzog M, Bargheer M

机构信息

Institut für Physik und Astronomie, Universität Potsdam, 14476 Potsdam, Germany.

Helmholtz-Zentrum Berlin für Materialien und Energie GmbH, Wilhelm-Conrad-Röntgen Campus, BESSY II, 12489 Berlin, Germany.

出版信息

Struct Dyn. 2021 Jan 21;8(1):014302. doi: 10.1063/4.0000040. eCollection 2021 Jan.

Abstract

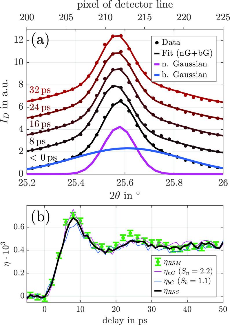
An experimental technique that allows faster assessment of out-of-plane strain dynamics of thin film heterostructures via x-ray diffraction is presented. In contrast to conventional high-speed reciprocal space-mapping setups, our approach reduces the measurement time drastically due to a fixed measurement geometry with a position-sensitive detector. This means that neither the incident () nor the exit ( ) diffraction angle is scanned during the strain assessment via x-ray diffraction. Shifts of diffraction peaks on the fixed x-ray area detector originate from an out-of-plane strain within the sample. Quantitative strain assessment requires the determination of a factor relating the observed shift to the change in the reciprocal lattice vector. The factor depends only on the widths of the peak along certain directions in reciprocal space, the diffraction angle of the studied reflection, and the resolution of the instrumental setup. We provide a full theoretical explanation and exemplify the concept with picosecond strain dynamics of a thin layer of NbO.

摘要

本文介绍了一种实验技术,该技术可通过X射线衍射更快地评估薄膜异质结构的面外应变动力学。与传统的高速倒易空间映射装置不同,我们的方法由于采用了带有位置敏感探测器的固定测量几何结构,大大减少了测量时间。这意味着在通过X射线衍射进行应变评估时,既不扫描入射()也不扫描出射()衍射角。固定X射线面积探测器上衍射峰的位移源于样品中的面外应变。定量应变评估需要确定一个将观察到的位移与倒易晶格矢量变化相关联的因子。该因子仅取决于倒易空间中沿特定方向的峰宽、所研究反射的衍射角以及仪器装置的分辨率。我们提供了完整的理论解释,并以NbO薄层的皮秒应变动力学为例说明了这一概念。

https://cdn.ncbi.nlm.nih.gov/pmc/blobs/6942/7822632/7c3210144677/SDTYAE-000008-014302_1-g001.jpg

文献AI研究员

20分钟写一篇综述,助力文献阅读效率提升50倍。

立即体验

用中文搜PubMed

大模型驱动的PubMed中文搜索引擎

马上搜索

文档翻译

学术文献翻译模型,支持多种主流文档格式。

立即体验