• 文献检索
  • 文档翻译
  • 深度研究
  • 学术资讯
  • Suppr Zotero 插件Zotero 插件
  • 邀请有礼
  • 套餐&价格
  • 历史记录
应用&插件
Suppr Zotero 插件Zotero 插件浏览器插件Mac 客户端Windows 客户端微信小程序
定价
高级版会员购买积分包购买API积分包
服务
文献检索文档翻译深度研究API 文档MCP 服务
关于我们
关于 Suppr公司介绍联系我们用户协议隐私条款
关注我们

Suppr 超能文献

核心技术专利:CN118964589B侵权必究
粤ICP备2023148730 号-1Suppr @ 2026

文献检索

告别复杂PubMed语法,用中文像聊天一样搜索,搜遍4000万医学文献。AI智能推荐,让科研检索更轻松。

立即免费搜索

文件翻译

保留排版,准确专业,支持PDF/Word/PPT等文件格式,支持 12+语言互译。

免费翻译文档

深度研究

AI帮你快速写综述,25分钟生成高质量综述,智能提取关键信息,辅助科研写作。

立即免费体验

定期运动的 2 型糖尿病成人、高血压和/或血脂异常的非糖尿病成人中,内皮依赖性血流介导的血管舒张功能的季节性变化。

Seasonal variations on endothelium-dependent flow-mediated vasodilation in adults with type 2 diabetes and nondiabetic adults with hypertension and/or dyslipidaemia who perform regular exercise.

机构信息

Department of Physical Therapy Faculty of Health Sciences Aino University Higashioda Japan.

Department of Rehabilitation Toyooka Hospital Hidaka Medical Center Toyooka Japan.

出版信息

Endocrinol Diabetes Metab. 2020 Jul 6;4(1):e00168. doi: 10.1002/edm2.168. eCollection 2021 Jan.

DOI:10.1002/edm2.168
PMID:33532610
原文链接:https://pmc.ncbi.nlm.nih.gov/articles/PMC7831209/
Abstract

INTRODUCTION

Endothelium-dependent flow-mediated dilation (FMD) of the brachial artery often changes seasonally. We aimed to examine the association between the seasonal variation on FMD and regular exercise in adults with type 2 diabetes (T2D) and nondiabetic adults with hypertension and/or dyslipidaemia (non-T2D).

METHODS

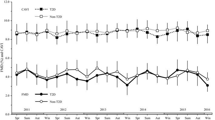
This retrospective study included 14 T2D and 17 non-T2D adults, who started to perform moderate-intensity aerobic exercise for 30-40 min/d at a hospital gym in 2006-2010 and maintained exercise performance at least 2 d/wk until the end of the observation period. We observed and analysed the data for 5 years (from March 2011 to February 2016). FMD, cardio-ankle vascular index (CAVI) and metabolic outcomes were compared among seasons in the T2D and non-T2D groups.

RESULTS

The FMD values were lower in winter than in other seasons in both groups (all  < .01). The annual range of FMD was larger by 31% in the T2D group than in the non-T2D group ( < .05). The systolic blood pressure (BP) values were higher in winter than in other seasons in both groups (all  < .01), and the diastolic BP values were higher in winter than in summer in both groups (T2D:  < .05; non-T2D:  < .01). CAVI and other outcomes did not change seasonally.

CONCLUSIONS

Flow-mediated vasodilation showed seasonal variation in T2D adults, even if they performed exercise regularly for a long period of time. Additionally, we found that the annual range of FMD might increase with the presence of T2D.

摘要

简介

肱动脉内皮依赖性血流介导扩张(FMD)通常随季节变化而变化。我们旨在研究 2 型糖尿病(T2D)和无糖尿病高血压和/或血脂异常(非 T2D)成人中 FMD 的季节性变化与规律运动之间的关系。

方法

这项回顾性研究纳入了 14 名 T2D 患者和 17 名非 T2D 患者,他们于 2006-2010 年在医院健身房开始进行 30-40 分钟/天的中等强度有氧运动,并在观察期结束前至少每周 2 天保持运动。我们观察和分析了 5 年的数据(2011 年 3 月至 2016 年 2 月)。比较了 T2D 和非 T2D 组各季节的 FMD、心踝血管指数(CAVI)和代谢指标。

结果

两组 FMD 值在冬季均低于其他季节(均 <.01)。T2D 组 FMD 的年变化幅度比非 T2D 组大 31%(<.05)。两组冬季收缩压(BP)均高于其他季节(均 <.01),两组冬季舒张压均高于夏季(T2D:<.05;非 T2D:<.01)。CAVI 和其他结果无季节性变化。

结论

即使 T2D 成人长期规律运动,血流介导的血管扩张也表现出季节性变化。此外,我们发现 FMD 的年变化幅度可能随着 T2D 的存在而增加。

https://cdn.ncbi.nlm.nih.gov/pmc/blobs/7cb2/7831209/f56575d3dd52/EDM2-4-e00168-g003.jpg
https://cdn.ncbi.nlm.nih.gov/pmc/blobs/7cb2/7831209/91c582c13c52/EDM2-4-e00168-g001.jpg
https://cdn.ncbi.nlm.nih.gov/pmc/blobs/7cb2/7831209/55757da0b2a5/EDM2-4-e00168-g002.jpg
https://cdn.ncbi.nlm.nih.gov/pmc/blobs/7cb2/7831209/f56575d3dd52/EDM2-4-e00168-g003.jpg
https://cdn.ncbi.nlm.nih.gov/pmc/blobs/7cb2/7831209/91c582c13c52/EDM2-4-e00168-g001.jpg
https://cdn.ncbi.nlm.nih.gov/pmc/blobs/7cb2/7831209/55757da0b2a5/EDM2-4-e00168-g002.jpg
https://cdn.ncbi.nlm.nih.gov/pmc/blobs/7cb2/7831209/f56575d3dd52/EDM2-4-e00168-g003.jpg

相似文献

1
Seasonal variations on endothelium-dependent flow-mediated vasodilation in adults with type 2 diabetes and nondiabetic adults with hypertension and/or dyslipidaemia who perform regular exercise.定期运动的 2 型糖尿病成人、高血压和/或血脂异常的非糖尿病成人中,内皮依赖性血流介导的血管舒张功能的季节性变化。
Endocrinol Diabetes Metab. 2020 Jul 6;4(1):e00168. doi: 10.1002/edm2.168. eCollection 2021 Jan.
2
Resistance-based interval exercise acutely improves endothelial function in type 2 diabetes.基于阻力的间歇运动可急性改善2型糖尿病患者的内皮功能。
Am J Physiol Heart Circ Physiol. 2016 Nov 1;311(5):H1258-H1267. doi: 10.1152/ajpheart.00398.2016. Epub 2016 Sep 16.
3
Effect of estrogen on endothelial dysfunction in postmenopausal women with diabetes.雌激素对绝经后糖尿病女性内皮功能障碍的影响。
Diabetes Res Clin Pract. 2001 Dec;54 Suppl 2:S81-92. doi: 10.1016/s0168-8227(01)00339-4.
4
Sex differences in the effects of type 2 diabetes on exercise performance.2型糖尿病对运动表现影响的性别差异。
Med Sci Sports Exerc. 2015 Jan;47(1):58-65. doi: 10.1249/MSS.0000000000000371.
5
Improved brachial artery shear patterns and increased flow-mediated dilatation after low-volume high-intensity interval training in type 2 diabetes.2型糖尿病患者进行小容量高强度间歇训练后,肱动脉剪切模式改善,血流介导的血管舒张增加。
Exp Physiol. 2018 Sep;103(9):1264-1276. doi: 10.1113/EP087005. Epub 2018 Jul 22.
6
Effects of acute exercise on endothelial function in patients with abdominal aortic aneurysm.急性运动对腹主动脉瘤患者血管内皮功能的影响。
Am J Physiol Heart Circ Physiol. 2018 Jan 1;314(1):H19-H30. doi: 10.1152/ajpheart.00344.2017. Epub 2017 Sep 22.
7
Low dietary sodium intake is associated with enhanced vascular endothelial function in middle-aged and older adults with elevated systolic blood pressure.低钠饮食摄入与收缩压升高的中老年成年人血管内皮功能增强有关。
Ther Adv Cardiovasc Dis. 2009 Oct;3(5):347-56. doi: 10.1177/1753944709345790. Epub 2009 Sep 1.
8
Regular aerobic exercise protects against impaired fasting plasma glucose-associated vascular endothelial dysfunction with aging.定期进行有氧运动可预防与空腹血糖受损相关的血管内皮功能障碍随增龄而恶化。
Clin Sci (Lond). 2013 Mar;124(5):325-31. doi: 10.1042/CS20120291.
9
[Significance of heterogenity in endothelium-dependent vasodilatation occurrence in healthy individuals with or without coronary risk factors].[有或无冠状动脉危险因素的健康个体中内皮依赖性血管舒张发生异质性的意义]
Vojnosanit Pregl. 2009 Oct;66(10):813-20. doi: 10.2298/vsp0910813p.
10
Carbohydrate restriction with postmeal walking effectively mitigates postprandial hyperglycemia and improves endothelial function in type 2 diabetes.进食后步行限制碳水化合物摄入可有效减轻 2 型糖尿病患者的餐后高血糖,并改善内皮功能。
Am J Physiol Heart Circ Physiol. 2018 Jan 1;314(1):H105-H113. doi: 10.1152/ajpheart.00524.2017. Epub 2017 Oct 13.

引用本文的文献

1
Effect of urolithin A on the improvement of vascular endothelial function depends on the gut microbiota.尿石素A对血管内皮功能改善的作用取决于肠道微生物群。
Front Nutr. 2023 Jan 5;9:1077534. doi: 10.3389/fnut.2022.1077534. eCollection 2022.
2
Seasonal Variation: A Non-negligible Factor Associated With Blood Pressure in Patients Undergoing Hemodialysis.季节性变化:血液透析患者血压的一个不可忽视的相关因素。
Front Cardiovasc Med. 2022 Mar 18;9:820483. doi: 10.3389/fcvm.2022.820483. eCollection 2022.

本文引用的文献

1
Association between Bout Duration of Physical Activity and Health: Systematic Review.体力活动回合持续时间与健康的关系:系统评价。
Med Sci Sports Exerc. 2019 Jun;51(6):1213-1219. doi: 10.1249/MSS.0000000000001933.
2
Exercise training and endothelial function in patients with type 2 diabetes: a meta-analysis.运动训练对 2 型糖尿病患者内皮功能的影响:一项荟萃分析。
Cardiovasc Diabetol. 2018 May 2;17(1):64. doi: 10.1186/s12933-018-0711-2.
3
The effects of exercise on vascular endothelial function in type 2 diabetes: a systematic review and meta-analysis.
运动对2型糖尿病血管内皮功能的影响:一项系统综述和荟萃分析。
Diabetol Metab Syndr. 2018 Mar 6;10:15. doi: 10.1186/s13098-018-0316-7. eCollection 2018.
4
Advanced glycation end-products decreases expression of endothelial nitric oxide synthase through oxidative stress in human coronary artery endothelial cells.晚期糖基化终产物通过氧化应激降低人冠状动脉内皮细胞中内皮型一氧化氮合酶的表达。
Cardiovasc Diabetol. 2017 Apr 20;16(1):52. doi: 10.1186/s12933-017-0531-9.
5
Assessing the evidence: Exploring the effects of exercise on diabetic microcirculation.评估证据:探究运动对糖尿病微循环的影响。
Clin Hemorheol Microcirc. 2016;64(4):663-678. doi: 10.3233/CH-168022.
6
Effect of seasonality on the estimated mean value of nutrients and ranking ability of a self-administered diet history questionnaire.季节性对自我管理饮食史问卷中营养素估计均值及排序能力的影响。
Nutr J. 2014 May 31;13:51. doi: 10.1186/1475-2891-13-51.
7
Recovery of flow-mediated vasodilatation after repetitive measurements is involved in early vascular impairment: comparison with indices of vascular tone.重复测量后血流介导的血管舒张功能的恢复与早期血管损伤有关:与血管张力指标的比较。
PLoS One. 2014 Jan 2;9(1):e83977. doi: 10.1371/journal.pone.0083977. eCollection 2014.
8
Diabetes status differentiates endothelial function and plasma nitrite response to exercise stress in peripheral arterial disease following supervised training.在接受监督训练后的外周动脉疾病中,糖尿病状态可区分内皮功能和血浆亚硝酸盐对运动应激的反应。
J Diabetes Complications. 2014 Mar-Apr;28(2):219-25. doi: 10.1016/j.jdiacomp.2013.08.002. Epub 2013 Dec 17.
9
Relationship between flow-mediated vasodilation and cardiovascular risk factors in a large community-based study.在一项大型社区研究中,血流介导的血管扩张与心血管危险因素之间的关系。
Heart. 2013 Dec;99(24):1837-42. doi: 10.1136/heartjnl-2013-304739. Epub 2013 Oct 23.
10
Seasonal variation of endothelium-dependent flow-mediated vasodilation measured in the same subjects.在同一受试者中测量的内皮依赖性血流介导的血管舒张的季节性变化。
Am J Cardiovasc Dis. 2012;2(2):111-5. Epub 2012 May 15.