Wellcome Centre for Integrated Neuroimaging, University of Oxford, Oxford, UK.
School of Psychology, University of Queensland, Brisbane, Australia.
J Psychopharmacol. 2021 Mar;35(3):253-264. doi: 10.1177/0269881120986349. Epub 2021 Feb 11.
The optimisation of learning has long been a focus of scientific research, particularly in relation to improving psychological treatment and recovery of brain function. Previously, partial N-methyl-D-aspartate agonists have been shown to augment reward learning, procedural learning and psychological therapy, but many studies also report no impact of these compounds on the same processes.
Here we investigate whether administration of an N-methyl-D-aspartate partial agonist (D-cycloserine) modulates a previously unexplored process - tactile perceptual learning. Further, we use a longitudinal design to investigate whether N-methyl-D-aspartate-related learning effects vary with time, thereby providing a potentially simple explanation for apparent mixed effects in previous research.
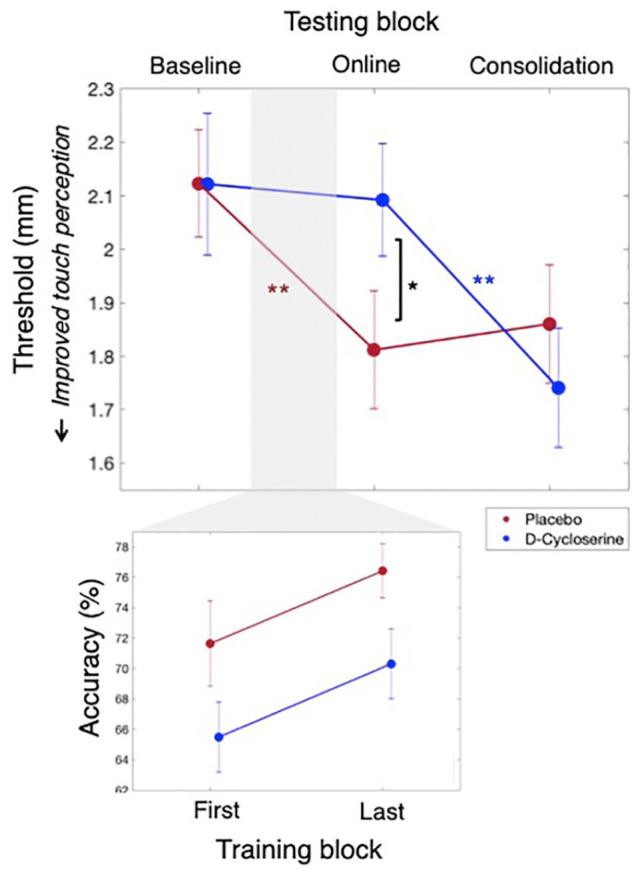
Thirty-four volunteers were randomised to receive one dose of 250 mg D-cycloserine or placebo 2 h before tactile sensitivity training. Tactile perception was measured using psychophysical methods before and after training, and 24/48 h later.
The placebo group showed immediate within-day tactile perception gains, but no further improvements between-days. In contrast, tactile perception remained at baseline on day one in the D-cycloserine group (no within-day learning), but showed significant overnight gains on day two. Both groups were equivalent in tactile perception by the final testing - indicating N-methyl-D-aspartate effects changed the timing, but not the overall amount of tactile learning.
In sum, we provide first evidence for modulation of perceptual learning by administration of a partial N-methyl-D-aspartate agonist. Resolving how the effects of such compounds become apparent over time will assist the optimisation of testing schedules, and may help resolve discrepancies across the learning and cognition domains.
学习的优化一直是科学研究的重点,特别是在改善心理治疗和大脑功能恢复方面。以前,部分 N-甲基-D-天冬氨酸激动剂已被证明可以增强奖励学习、程序性学习和心理治疗,但许多研究也报告这些化合物对相同过程没有影响。
在这里,我们研究了 N-甲基-D-天冬氨酸部分激动剂(D-环丝氨酸)的给药是否调节了一个以前未被探索的过程——触觉感知学习。此外,我们使用纵向设计来研究 N-甲基-D-天冬氨酸相关的学习效果是否随时间而变化,从而为以前研究中明显的混合效应提供一个潜在的简单解释。
34 名志愿者随机分为两组,在触觉灵敏度训练前 2 小时接受 250mg D-环丝氨酸或安慰剂。在训练前后以及 24/48 小时后使用心理物理方法测量触觉感知。
安慰剂组在当天内立即出现触觉感知增益,但在两天之间没有进一步的改善。相比之下,D-环丝氨酸组在第一天的触觉感知保持在基线水平(没有当天的学习),但在第二天出现了显著的夜间增益。两组在最后一次测试时的触觉感知都相当——表明 N-甲基-D-天冬氨酸的作用改变了时间,但没有改变触觉学习的总体量。
总之,我们首次提供了部分 N-甲基-D-天冬氨酸激动剂给药调节感知学习的证据。解决此类化合物的作用如何随时间显现将有助于优化测试方案,并可能有助于解决学习和认知领域的差异。