Suppr超能文献

肺腺癌中的CC趋化因子受体:炎症相关的预后生物标志物和免疫治疗靶点

CC Chemokine Receptors in Lung Adenocarcinoma: The Inflammation-Related Prognostic Biomarkers and Immunotherapeutic Targets.

作者信息

Liu Fangteng, Wu Hengyu

机构信息

Department of Breast Surgery, The Third Hospital of Nanchang, Nanchang, Jiangxi, 330009, People's Republic of China.

Faculty of Medicine, University of Munich, Munich, 80336, Germany.

出版信息

J Inflamm Res. 2021 Feb 5;14:267-285. doi: 10.2147/JIR.S278395. eCollection 2021.

Abstract

BACKGROUND

Lung adenocarcinoma (LUAD) is the most common type of lung cancer with a high incidence and increased mortality. CC chemokine receptors were participating in the modulation of the tumor microenvironment and involved in carcinogenesis and tumor development. However, the potential mechanistic values of CC chemokine receptors as clinical biomarkers and therapeutic targets in LUAD have not been fully clarified.

METHODOLOGY

ONCOMINE, UALCAN, GEPIA, Kaplan-Meier Plotter, SurvExpress, MethSurv, SurvivalMeth, cBioPortal, String, GeneMANIA, DAVID, Metascape, TRRUST, LinkedOmics, and Timer were applied in this work.

RESULTS

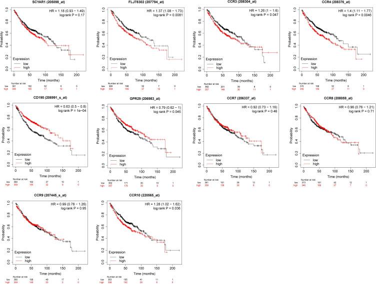
The transcriptional levels of CCR1/10 in LUAD tissues were significantly reduced while the transcriptional levels of CCR3/6/7/8 were significantly elevated, and the expression of CCR1 was the highest in LUAD among these CC chemokine receptors. A significant correlation was found between the expression of CCR2/4/6/7 and the pathological stage of LUAD patients. There were significant associations between CCR2/3/4/5/6/10 expression levels and OS in LUAD, and LUAD patients with high transcriptional levels of CCR3/4 had inferior first-progression survival. In addition, the prognostic values of CC chemokine receptors signature in LUAD were explored in three independent cohorts, the high-risk group displayed unfavorable OS compared with the low-risk group, and the LUAD cases in the high-risk group also suffered inferior RFS than that in the low-risk group. And for the prognostic value of the DNA methylation of CC chemokine receptors, we found 1 CpG of CCR2, 2 CpGs of CCR3, 1 CpG of CCR4, 3 CpGs of CCR6, 3 CpGs of CCR7, 1 CpG of CCR8, and 3 CpGs of CCR9 were significantly associated with prognosis in LUAD patients. However, the DNA methylation signature analysis showed there was no statistically significant association between the high- and low-risk group. For potential mechanism, the neighbor gene networks, interaction analyses, functional enrichment analyses of CC chemokine receptors in LUAD were performed, the transcription factor targets, kinase targets, and miRNA targets of CC chemokine receptors were also identified in LUAD. We also found significant correlations among CC chemokine receptors expression and the infiltration of immune cells, the tumor infiltration levels among LUAD with different somatic copy number alterations of these chemokine receptors were also assessed. Moreover, the Cox proportional hazard model showed that CCR1/2/10, B_cell, CD4_Tcell were significantly related to the clinical outcome of LUAD patients.

CONCLUSION

CC chemokine receptors might serve as immunotherapeutic targets and prognostic biomarkers in LUAD.

摘要

背景

肺腺癌(LUAD)是最常见的肺癌类型,发病率高且死亡率上升。CC趋化因子受体参与肿瘤微环境的调节,并与肿瘤发生和发展有关。然而,CC趋化因子受体作为LUAD临床生物标志物和治疗靶点的潜在机制价值尚未完全阐明。

方法

本研究应用了ONCOMINE、UALCAN、GEPIA、Kaplan-Meier Plotter、SurvExpress、MethSurv、SurvivalMeth、cBioPortal、String、GeneMANIA、DAVID、Metascape、TRRUST、LinkedOmics和Timer。

结果

LUAD组织中CCR1/10的转录水平显著降低,而CCR3/6/7/8的转录水平显著升高,且在这些CC趋化因子受体中,CCR1在LUAD中的表达最高。发现CCR2/4/6/7的表达与LUAD患者的病理分期之间存在显著相关性。CCR2/3/4/5/6/10的表达水平与LUAD患者的总生存期存在显著关联,CCR3/4转录水平高的LUAD患者首次进展生存期较差。此外,在三个独立队列中探讨了CC趋化因子受体特征在LUAD中的预后价值,高危组与低危组相比总生存期较差,高危组的LUAD病例无进展生存期也低于低危组。对于CC趋化因子受体DNA甲基化的预后价值,我们发现CCR2的1个CpG、CCR3的2个CpG、CCR4的1个CpG、CCR6的3个CpG、CCR7的3个CpG、CCR8的1个CpG和CCR9的3个CpG与LUAD患者的预后显著相关。然而,DNA甲基化特征分析显示高危组与低危组之间无统计学显著关联。对于潜在机制,对LUAD中CC趋化因子受体进行了邻近基因网络、相互作用分析、功能富集分析,还鉴定了LUAD中CC趋化因子受体的转录因子靶点、激酶靶点和miRNA靶点。我们还发现CC趋化因子受体表达与免疫细胞浸润之间存在显著相关性,还评估了这些趋化因子受体不同体细胞拷贝数改变的LUAD中的肿瘤浸润水平。此外,Cox比例风险模型显示CCR1/2/10、B细胞、CD4_T细胞与LUAD患者的临床结局显著相关。

结论

CC趋化因子受体可能作为LUAD的免疫治疗靶点和预后生物标志物。

https://cdn.ncbi.nlm.nih.gov/pmc/blobs/1458/7872903/ac8fa29e09d8/JIR-14-267-g0001.jpg

文献AI研究员

20分钟写一篇综述,助力文献阅读效率提升50倍。

立即体验

用中文搜PubMed

大模型驱动的PubMed中文搜索引擎

马上搜索

文档翻译

学术文献翻译模型,支持多种主流文档格式。

立即体验