• 文献检索
  • 文档翻译
  • 深度研究
  • 学术资讯
  • Suppr Zotero 插件Zotero 插件
  • 邀请有礼
  • 套餐&价格
  • 历史记录
应用&插件
Suppr Zotero 插件Zotero 插件浏览器插件Mac 客户端Windows 客户端微信小程序
定价
高级版会员购买积分包购买API积分包
服务
文献检索文档翻译深度研究API 文档MCP 服务
关于我们
关于 Suppr公司介绍联系我们用户协议隐私条款
关注我们

Suppr 超能文献

核心技术专利:CN118964589B侵权必究
粤ICP备2023148730 号-1Suppr @ 2026

文献检索

告别复杂PubMed语法,用中文像聊天一样搜索,搜遍4000万医学文献。AI智能推荐,让科研检索更轻松。

立即免费搜索

文件翻译

保留排版,准确专业,支持PDF/Word/PPT等文件格式,支持 12+语言互译。

免费翻译文档

深度研究

AI帮你快速写综述,25分钟生成高质量综述,智能提取关键信息,辅助科研写作。

立即免费体验

透析患者中硫酸吲哚酚和对甲酚硫酸与靶心血管蛋白的关系。

The relationship of indoxyl sulfate and p-cresyl sulfate with target cardiovascular proteins in hemodialysis patients.

机构信息

Graduate Institute of Clinical Medicine, College of Medicines, Kaohsiung Medical University, Kaohsiung, Taiwan.

Faculty of Medicine, College of Medicine, Kaohsiung Medical University, Kaohsiung, Taiwan.

出版信息

Sci Rep. 2021 Feb 15;11(1):3786. doi: 10.1038/s41598-021-83383-x.

DOI:10.1038/s41598-021-83383-x
PMID:33589722
原文链接:https://pmc.ncbi.nlm.nih.gov/articles/PMC7884394/
Abstract

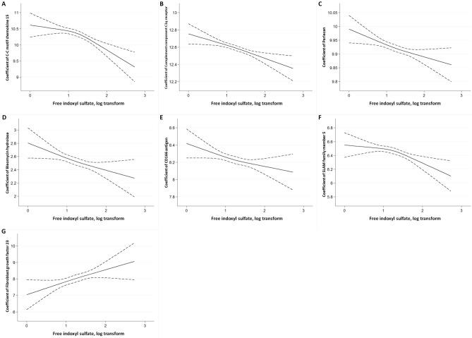
Protein-bound uremic toxins (Indoxyl sulfate [IS] and p-cresyl sulfate [PCS]) are both associated with cardiovascular (CV) and all-cause mortality in subjects with chronic kidney disease (CKD). Possible mechanisms have not been elucidated. In hemodialysis patients, we investigated the relationship between the free form of IS and PCS and 181 CV-related proteins. First, IS or PCS concentrations were checked, and high levels were associated with an increased risk of acute coronary syndrome (ACS) in 333 stable HD patients. CV proteins were further quantified by a proximity extension assay. We examined associations between the free form protein-bound uremic toxins and the quantified proteins with correction for multiple testing in the discovery process. In the second step, the independent association was evaluated by multivariable-adjusted models. We rank the CV proteins related to protein-bound uremic toxins by bootstrapped confidence intervals and ascending p-value. Six proteins (signaling lymphocytic activation molecule family member 5, complement component C1q receptor, C-C motif chemokine 15 [CCL15], bleomycin hydrolase, perlecan, and cluster of differentiation 166 antigen) were negatively associated with IS. Fibroblast growth factor 23 [FGF23] was the only CV protein positively associated with IS. Three proteins (complement component C1q receptor, CCL15, and interleukin-1 receptor-like 2) were negatively associated with PCS. Similar findings were obtained after adjusting for classical CV risk factors. However, only higher levels of FGF23 was related to increased risk of ACS. In conclusion, IS and PCS were associated with several CV-related proteins involved in endothelial barrier function, complement system, cell adhesion, phosphate homeostasis, and inflammation. Multiplex proteomics seems to be a promising way to discover novel pathophysiology of the uremic toxin.

摘要

蛋白结合型尿毒症毒素(硫酸吲哚酚[IS]和对甲酚硫酸盐[PCS])与慢性肾脏病(CKD)患者的心血管(CV)和全因死亡率均相关。但可能的机制尚未阐明。在血液透析患者中,我们研究了 IS 和 PCS 游离形式与 181 种与 CV 相关的蛋白之间的关系。首先,检查了 IS 或 PCS 浓度,在 333 例稳定 HD 患者中,高水平 IS 或 PCS 与急性冠状动脉综合征(ACS)风险增加相关。通过邻近延伸测定进一步定量 CV 蛋白。我们在发现过程中通过多重检验校正,检查了游离型蛋白结合型尿毒症毒素与定量蛋白之间的关联。在第二步中,通过多变量调整模型评估了独立关联。我们通过 bootstrap 置信区间和升序 p 值对与蛋白结合型尿毒症毒素相关的 CV 蛋白进行排名。有 6 种蛋白(信号淋巴细胞激活分子家族成员 5、补体成分 C1q 受体、C-C 基序趋化因子 15[CCL15]、博来霉素水解酶、硫酸乙酰肝素和分化簇 166 抗原)与 IS 呈负相关。成纤维细胞生长因子 23[FGF23]是唯一与 IS 呈正相关的 CV 蛋白。有 3 种蛋白(补体成分 C1q 受体、CCL15 和白细胞介素 1 受体样 2)与 PCS 呈负相关。在调整了经典 CV 危险因素后,也得到了相似的发现。但是,只有更高水平的 FGF23 与 ACS 风险增加相关。总之,IS 和 PCS 与几种与 CV 相关的蛋白相关,这些蛋白涉及内皮屏障功能、补体系统、细胞黏附、磷酸盐稳态和炎症。多重蛋白质组学似乎是发现尿毒症毒素新病理生理学的一种很有前途的方法。

https://cdn.ncbi.nlm.nih.gov/pmc/blobs/bc22/7884394/e01414216108/41598_2021_83383_Fig5_HTML.jpg
https://cdn.ncbi.nlm.nih.gov/pmc/blobs/bc22/7884394/7bb695e35624/41598_2021_83383_Fig1_HTML.jpg
https://cdn.ncbi.nlm.nih.gov/pmc/blobs/bc22/7884394/a720fc299418/41598_2021_83383_Fig2_HTML.jpg
https://cdn.ncbi.nlm.nih.gov/pmc/blobs/bc22/7884394/abd5a6ccd371/41598_2021_83383_Fig3_HTML.jpg
https://cdn.ncbi.nlm.nih.gov/pmc/blobs/bc22/7884394/1c3b65c6e800/41598_2021_83383_Fig4_HTML.jpg
https://cdn.ncbi.nlm.nih.gov/pmc/blobs/bc22/7884394/e01414216108/41598_2021_83383_Fig5_HTML.jpg
https://cdn.ncbi.nlm.nih.gov/pmc/blobs/bc22/7884394/7bb695e35624/41598_2021_83383_Fig1_HTML.jpg
https://cdn.ncbi.nlm.nih.gov/pmc/blobs/bc22/7884394/a720fc299418/41598_2021_83383_Fig2_HTML.jpg
https://cdn.ncbi.nlm.nih.gov/pmc/blobs/bc22/7884394/abd5a6ccd371/41598_2021_83383_Fig3_HTML.jpg
https://cdn.ncbi.nlm.nih.gov/pmc/blobs/bc22/7884394/1c3b65c6e800/41598_2021_83383_Fig4_HTML.jpg
https://cdn.ncbi.nlm.nih.gov/pmc/blobs/bc22/7884394/e01414216108/41598_2021_83383_Fig5_HTML.jpg

相似文献

1
The relationship of indoxyl sulfate and p-cresyl sulfate with target cardiovascular proteins in hemodialysis patients.透析患者中硫酸吲哚酚和对甲酚硫酸与靶心血管蛋白的关系。
Sci Rep. 2021 Feb 15;11(1):3786. doi: 10.1038/s41598-021-83383-x.
2
Removal of Protein-Bound Uremic Toxins during Hemodialysis Using a Binding Competitor.使用结合竞争剂去除血液透析中的蛋白结合型尿毒症毒素。
Clin J Am Soc Nephrol. 2019 Mar 7;14(3):394-402. doi: 10.2215/CJN.05240418. Epub 2019 Feb 12.
3
Indoxyl sulfate, not p-cresyl sulfate, is associated with cognitive impairment in early-stage chronic kidney disease.硫酸吲哚酚而非硫酸对甲酚与早期慢性肾病的认知障碍相关。
Neurotoxicology. 2016 Mar;53:148-152. doi: 10.1016/j.neuro.2016.01.006. Epub 2016 Jan 18.
4
Free p-cresyl sulfate shows the highest association with cardiovascular outcome in chronic kidney disease.游离对甲酚硫酸盐与慢性肾脏病患者心血管结局的相关性最高。
Nephrol Dial Transplant. 2021 May 27;36(6):998-1005. doi: 10.1093/ndt/gfab004.
5
Improved dialysis removal of protein-bound uremic toxins by salvianolic acids.丹酚酸改善蛋白结合型尿毒症毒素的透析清除。
Phytomedicine. 2019 Apr;57:166-173. doi: 10.1016/j.phymed.2018.12.018. Epub 2018 Dec 16.
6
Meta-Analysis of the Associations of p-Cresyl Sulfate (PCS) and Indoxyl Sulfate (IS) with Cardiovascular Events and All-Cause Mortality in Patients with Chronic Renal Failure.对慢性肾衰竭患者中对甲酚硫酸盐(PCS)和硫酸吲哚酚(IS)与心血管事件及全因死亡率之间关联的荟萃分析。
PLoS One. 2015 Jul 14;10(7):e0132589. doi: 10.1371/journal.pone.0132589. eCollection 2015.
7
The specific impact of uremic toxins upon cognitive domains: a review.尿毒症毒素对认知领域的具体影响:综述
J Bras Nefrol. 2019 Jan-Mar;41(1):103-111. doi: 10.1590/2175-8239-JBN-2018-0033. Epub 2018 Aug 9.
8
Protein-bound uremic toxins: new culprits of cardiovascular events in chronic kidney disease patients.蛋白结合型尿毒症毒素:慢性肾脏病患者心血管事件的新罪魁祸首。
Toxins (Basel). 2014 Feb 20;6(2):665-78. doi: 10.3390/toxins6020665.
9
The Effect of Sevelamer on Serum Levels of Gut-Derived Uremic Toxins: Results from In Vitro Experiments and A Multicenter, Double-Blind, Placebo-Controlled, Randomized Clinical Trial.盐酸司维拉姆对肠道来源尿毒症毒素血清水平的影响:来自体外实验和多中心、双盲、安慰剂对照、随机临床试验的结果。
Toxins (Basel). 2019 May 17;11(5):279. doi: 10.3390/toxins11050279.
10
Protein/Fiber Index Modulates Uremic Toxin Concentrations in Hemodialysis Patients.蛋白/纤维指数可调节血液透析患者的尿毒症毒素浓度。
Toxins (Basel). 2022 Aug 27;14(9):589. doi: 10.3390/toxins14090589.

引用本文的文献

1
The mechanism of Guanxin Qiwei dropping pills target to improve atherosclerosis.冠心七味滴丸改善动脉粥样硬化的作用机制。
Front Pharmacol. 2025 Jul 1;16:1633862. doi: 10.3389/fphar.2025.1633862. eCollection 2025.
2
Serum -Cresyl Sulfate Levels Correlate with Peripheral Arterial Disease in Hypertensive Patients.血清对甲酚硫酸盐水平与高血压患者外周动脉疾病相关。
Diagnostics (Basel). 2025 Apr 25;15(9):1097. doi: 10.3390/diagnostics15091097.
3
Associations Between Metals and Nonmetals in Drinking Water, Cardiovascular Events, and Diet.

本文引用的文献

1
Protein-bound uremic toxins are associated with cognitive function among patients undergoing maintenance hemodialysis.蛋白结合型尿毒症毒素与维持性血液透析患者的认知功能有关。
Sci Rep. 2019 Dec 31;9(1):20388. doi: 10.1038/s41598-019-57004-7.
2
Exploring the Benefit of 2-Methylbutyric Acid in Patients Undergoing Hemodialysis Using a Cardiovascular Proteomics Approach.采用心血管蛋白质组学方法探讨 2-甲基丁酸在血液透析患者中的获益。
Nutrients. 2019 Dec 12;11(12):3033. doi: 10.3390/nu11123033.
3
Meta-Analysis of the Association between Fibroblast Growth Factor 23 and Mortality and Cardiovascular Events in Hemodialysis Patients.
饮用水中的金属和非金属与心血管事件及饮食之间的关联
JACC Adv. 2025 Apr;4(4):101669. doi: 10.1016/j.jacadv.2025.101669. Epub 2025 Mar 20.
4
Costunolide Inhibits Chronic Kidney Disease Development by Attenuating IKKβ/NF-κB Pathway.**标题**:Costunolide 通过抑制 IKKβ/NF-κB 通路抑制慢性肾脏病的发展。
Drug Des Devel Ther. 2024 Jul 2;18:2693-2712. doi: 10.2147/DDDT.S466092. eCollection 2024.
5
Cardiomyopathy in chronic kidney disease: clinical features, biomarkers and the contribution of murine models in understanding pathophysiology.慢性肾脏病中的心肌病:临床特征、生物标志物及小鼠模型在理解病理生理学中的作用
Clin Kidney J. 2023 Apr 18;16(11):1786-1803. doi: 10.1093/ckj/sfad085. eCollection 2023 Nov.
6
From cardiorenal syndromes to cardionephrology: a reflection by nephrologists on renocardiac syndromes.从心肾综合征到心肾学:肾病学家对肾心综合征的思考
Clin Kidney J. 2022 Apr 30;16(1):19-29. doi: 10.1093/ckj/sfac113. eCollection 2023 Jan.
7
Microbiome in Chronic Kidney Disease.慢性肾脏病中的微生物组
Life (Basel). 2022 Sep 28;12(10):1513. doi: 10.3390/life12101513.
8
Dual Role of Indoles Derived From Intestinal Microbiota on Human Health.肠道微生物衍生吲哚对人类健康的双重作用。
Front Immunol. 2022 Jun 17;13:903526. doi: 10.3389/fimmu.2022.903526. eCollection 2022.
9
Efficacy of probiotics on the modulation of gut microbiota in the treatment of diabetic nephropathy.益生菌对肠道微生物群的调节在糖尿病肾病治疗中的疗效。
World J Diabetes. 2022 Mar 15;13(3):150-160. doi: 10.4239/wjd.v13.i3.150.
10
Recent trends in therapeutic application of engineered blood purification materials for kidney disease.用于肾病的工程化血液净化材料的治疗应用的最新趋势。
Biomater Res. 2022 Feb 4;26(1):5. doi: 10.1186/s40824-022-00250-0.
成纤维细胞生长因子 23 与血液透析患者死亡率和心血管事件关系的荟萃分析
Blood Purif. 2019;47 Suppl 1(Suppl 1):24-30. doi: 10.1159/000496220. Epub 2019 Jan 30.
4
Uremic Toxin Indoxyl Sulfate Promotes Proinflammatory Macrophage Activation Via the Interplay of OATP2B1 and Dll4-Notch Signaling.尿毒症毒素吲哚硫酸酯通过 OATP2B1 和 Dll4-Notch 信号的相互作用促进促炎型巨噬细胞的激活。
Circulation. 2019 Jan 2;139(1):78-96. doi: 10.1161/CIRCULATIONAHA.118.034588.
5
The temporal pattern of immune and inflammatory proteins prior to a recurrent coronary event in post-acute coronary syndrome patients.急性冠脉综合征患者复发前的免疫和炎症蛋白的时间模式。
Biomarkers. 2019 Mar;24(2):199-205. doi: 10.1080/1354750X.2018.1539768. Epub 2018 Dec 4.
6
Cardiovascular disease in dialysis patients.透析患者的心血管疾病。
Nephrol Dial Transplant. 2018 Oct 1;33(suppl_3):iii28-iii34. doi: 10.1093/ndt/gfy174.
7
Uremic Toxin Clearance and Cardiovascular Toxicities.尿毒症毒素清除与心血管毒性。
Toxins (Basel). 2018 Jun 2;10(6):226. doi: 10.3390/toxins10060226.
8
FGF23 Actions on Target Tissues-With and Without Klotho.成纤维细胞生长因子23对靶组织的作用——有和没有α-klotho的情况。
Front Endocrinol (Lausanne). 2018 May 2;9:189. doi: 10.3389/fendo.2018.00189. eCollection 2018.
9
Knockout of the interleukin-36 receptor protects against renal ischemia-reperfusion injury by reduction of proinflammatory cytokines.白细胞介素-36 受体敲除通过减少促炎细胞因子来保护肾脏免受缺血再灌注损伤。
Kidney Int. 2018 Mar;93(3):599-614. doi: 10.1016/j.kint.2017.09.017. Epub 2017 Dec 11.
10
Indoxyl sulfate induces platelet hyperactivity and contributes to chronic kidney disease-associated thrombosis in mice.硫酸吲哚酚诱导血小板活性增高,并导致小鼠慢性肾脏病相关性血栓形成。
Blood. 2017 May 11;129(19):2667-2679. doi: 10.1182/blood-2016-10-744060. Epub 2017 Mar 6.