Suppr超能文献

基于无创放射组学的方法评估女童特发性中枢性性早熟。

Noninvasive radiomics-based method for evaluating idiopathic central precocious puberty in girls.

机构信息

Department of Radiology, Zhejiang Provincial People's Hospital, People's Hospital of Hangzhou Medical College, Hangzhou, China.

Department of Pediatrics, Zhejiang Provincial People's Hospital, People's Hospital of Hangzhou Medical College, Hangzhou, China.

出版信息

J Int Med Res. 2021 Feb;49(2):300060521991023. doi: 10.1177/0300060521991023.

Abstract

OBJECTIVE

Traditional approaches that involve measuring the height and volume of the pituitary by magnetic resonance imaging (MRI) are unreliable. We investigated the use of a more accurate method using texture analysis to evaluate idiopathic central precocious puberty (ICPP) by MRI.

METHODS

In total, 352 texture features of the pituitary were extracted from 12 healthy girls and 18 girls with ICPP. A LASSO regression model and linear regression model were used to create the prediction model. Pearson's correlation analysis and receiver operating characteristic curves were used to evaluate the predictive performance.

RESULTS

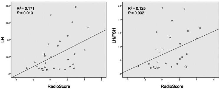
The radiomics score had a significant linear relationship with the luteinizing hormone concentration and the luteinizing hormone/follicle-stimulating hormone ratio. The radiomics score showed better predictive performance than traditional pituitary measurements. The area under the curve of the radiomics score, pituitary height, and variable combinations was 0.759 (95% confidence interval [CI], 0.583-0.936), 0.681 (95% CI, 0.483-0.878), and 0.829 (95% CI, 0.681-0.976), respectively.

CONCLUSION

Combination of the radiomics score with pituitary height measurements allows for better evaluation of the pituitary during diagnostic imaging, indicating satisfactory potential for efficacy assessments.

摘要

目的

传统的通过磁共振成像(MRI)测量垂体高度和体积的方法不可靠。我们通过 MRI 利用纹理分析来研究更准确的方法评估特发性中枢性性早熟(ICPP)。

方法

共从 12 名健康女孩和 18 名患有 ICPP 的女孩中提取了 352 个垂体纹理特征。使用 LASSO 回归模型和线性回归模型创建预测模型。使用 Pearson 相关分析和受试者工作特征曲线评估预测性能。

结果

放射组学评分与黄体生成素浓度和黄体生成素/卵泡刺激素比值呈显著线性关系。放射组学评分的预测性能优于传统的垂体测量。放射组学评分、垂体高度和变量组合的曲线下面积分别为 0.759(95%置信区间[CI],0.583-0.936)、0.681(95%CI,0.483-0.878)和 0.829(95%CI,0.681-0.976)。

结论

放射组学评分与垂体高度测量相结合可以更好地评估诊断成像过程中的垂体,表明其在疗效评估方面具有良好的潜力。

https://cdn.ncbi.nlm.nih.gov/pmc/blobs/4d5c/7897833/659c0fd5ba04/10.1177_0300060521991023-fig1.jpg

文献AI研究员

20分钟写一篇综述,助力文献阅读效率提升50倍。

立即体验

用中文搜PubMed

大模型驱动的PubMed中文搜索引擎

马上搜索

文档翻译

学术文献翻译模型,支持多种主流文档格式。

立即体验