Suppr超能文献

拨开迷雾:COVID-19 大流行头 8 个月中成功在线消息重播的预测因素。

Cutting Through the Noise: Predictors of Successful Online Message Retransmission in the First 8 Months of the COVID-19 Pandemic.

机构信息

Scott Leo Renshaw, MA, and Sabrina Mai are PhD Students, Department of Sociology, and Carter T. Butts, PhD, is a Professor in the Departments of Sociology, Statistics, Computer Science, and Electrical Engineering and Computers; all at the University of California Irvine, Irvine, CA. Elisabeth Dubois, MBA, is a PhD Student and Jeannette Sutton, PhD, is an Associate Professor, College of Emergency Preparedness, Homeland Security, and Cyber Security, University of Albany, SUNY, Albany, NY.

出版信息

Health Secur. 2021 Jan-Feb;19(1):31-43. doi: 10.1089/hs.2020.0200.

Abstract

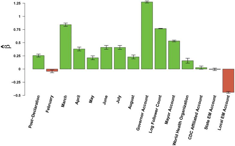
In this paper, we investigate how message construction, style, content, and the textual content of embedded images impacted message retransmission over the course of the first 8 months of the coronavirus disease 2019 (COVID-19) pandemic in the United States. We analyzed a census of public communications (n = 372,466) from 704 public health agencies, state and local emergency management agencies, and elected officials posted on Twitter between January 1 and August 31, 2020, measuring message retransmission via the number of retweets (ie, a message passed on by others), an important indicator of engagement and reach. To assess content, we extended a lexicon developed from the early months of the pandemic to identify key concepts within messages, employing it to analyze both the textual content of messages themselves as well as text included within embedded images (n = 233,877), which was extracted via optical character recognition. Finally, we modelled the message retransmission process using a negative binomial regression, which allowed us to quantify the extent to which particular message features amplify or suppress retransmission, net of controls related to timing and properties of the sending account. In addition to identifying other predictors of retransmission, we show that the impact of images is strongly driven by content, with textual information in messages and embedded images operating in similar ways. We offer potential recommendations for crafting and deploying social media messages that can "cut through the noise" of an infodemic.

摘要

在这项研究中,我们调查了在 2019 年冠状病毒病(COVID-19)大流行的前 8 个月期间,信息构建、风格、内容以及嵌入式图像的文本内容如何影响信息的再次传播。我们分析了美国 704 个公共卫生机构、州和地方紧急事务管理机构以及民选官员在 2020 年 1 月 1 日至 8 月 31 日期间在 Twitter 上发布的公共通讯普查(n=372466),通过转发数(即他人转发的信息)来衡量信息的再次传播,这是衡量参与度和覆盖面的一个重要指标。为了评估内容,我们扩展了从大流行早期开发的词汇表,以确定信息中的关键概念,并将其应用于分析信息本身的文本内容以及嵌入式图像中的文本(n=233877),这是通过光学字符识别提取的。最后,我们使用负二项式回归来模拟信息再传播过程,这使我们能够量化特定信息特征在控制了发送账户的时间和属性后放大或抑制再传播的程度。除了确定信息再传播的其他预测因素外,我们还表明,图像的影响主要由内容驱动,信息和嵌入式图像中的文本信息以类似的方式发挥作用。我们为制作和部署社交媒体信息提供了潜在的建议,这些信息可以“在信息泛滥中脱颖而出”。

https://cdn.ncbi.nlm.nih.gov/pmc/blobs/47e7/9195492/ed4efdb24d7e/hs.2020.0200_figure1.jpg

文献检索

告别复杂PubMed语法,用中文像聊天一样搜索,搜遍4000万医学文献。AI智能推荐,让科研检索更轻松。

立即免费搜索

文件翻译

保留排版,准确专业,支持PDF/Word/PPT等文件格式,支持 12+语言互译。

免费翻译文档

深度研究

AI帮你快速写综述,25分钟生成高质量综述,智能提取关键信息,辅助科研写作。

立即免费体验