Suppr超能文献

五岁以下因重症肺炎住院的孟加拉国儿童补充维生素D:一项随机安慰剂对照试验。

Vitamin D supplementation among Bangladeshi children under-five years of age hospitalised for severe pneumonia: A randomised placebo controlled trial.

作者信息

Chowdhury Fahmida, Shahid Abu Sadat Mohammad Sayeem Bin, Tabassum Mosharrat, Parvin Irin, Ghosh Probir Kumar, Hossain Mohammad Iqbal, Alam Nur Haque, Faruque A S G, Huq Sayeeda, Shahrin Lubaba, Homaira Nusrat, Hassan Zakiul, Akhtar Zubair, Mah-E-Muneer S, Fuchs George J, Ahmed Tahmeed, Chisti Mohammod Jobayer

机构信息

International Centre for Diarrhoeal Disease Research, Bangladesh (icddr,b), Dhaka, Bangladesh.

Faculty of Medicine, Discipline of Paediatrics, School of Women's and Children's Health, UNSW Sydney, Sydney, New South Wales, Australia.

出版信息

PLoS One. 2021 Feb 19;16(2):e0246460. doi: 10.1371/journal.pone.0246460. eCollection 2021.

Abstract

INTRODUCTION

Vitamin D is important for its immunomodulatory role and there is an independent association between vitamin D deficiency and pneumonia. We assessed the effect of vitamin D supplementation on the outcome in children hospitalized for severe pneumonia.

METHODS

This was a randomised, double blinded, placebo-controlled clinical trial in children aged >2-59 months with severe pneumonia attending Dhaka Hospital, icddr,b. Children received age-specific megadose of vitamin D3 (20,000IU: <6 months, 50,000 IU: 6-12 months, 100,000 IU:13-59 months) or placebo on first day and 10,000 IU as maintenance dose for next 4 days or until discharge (if discharged earlier) along with standard therapy. This trial is registered at ClinicalTrials.gov, number NCT02185196.

FINDINGS

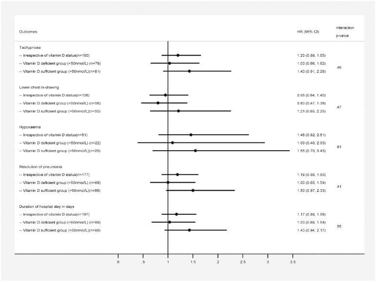
We enrolled 100 children in placebo group and 97 in vitamin D group. On admission, 50 (52%) and 49 (49%) of children in vitamin D and placebo groups, respectively were vitamin D deficient. Among children with a sufficient serum vitamin D level on admission, a lower trend for duration of resolution of severe pneumonia in hours [72(IQR:44-96)vs. 88(IQR:48-132);p = 0.07] and duration of hospital stay in days [4(IQR:3-5)vs.5(IQR:4-7);P = 0.09] was observed in vitamin D group compared to placebo. No beneficial effect was observed in vitamin D deficient group or irrespective of vitamin D status.

CONCLUSION

Age-specific mega dose of vitamin D followed by a maintenance dose shown to have no statistical difference between the two intervention groups, however there was a trend of reduction of time to recovery from pneumonia and overall duration of hospital stay in under-five children with a sufficient serum vitamin D level on hospital admission.

摘要

引言

维生素D因其免疫调节作用而十分重要,维生素D缺乏与肺炎之间存在独立关联。我们评估了补充维生素D对因重症肺炎住院儿童治疗结局的影响。

方法

这是一项针对达卡医院(icddr,b)中年龄大于2至59个月的重症肺炎儿童进行的随机、双盲、安慰剂对照临床试验。儿童在第一天接受特定年龄的大剂量维生素D3(20,000IU:小于6个月,50,000IU:6至12个月,100,000IU:13至59个月)或安慰剂,并在接下来的4天或直至出院(若提前出院)接受10,000IU作为维持剂量,同时接受标准治疗。该试验已在ClinicalTrials.gov注册,编号为NCT02185196。

研究结果

我们将100名儿童纳入安慰剂组,97名儿童纳入维生素D组。入院时,维生素D组和安慰剂组分别有50名(52%)和49名(49%)儿童维生素D缺乏。在入院时血清维生素D水平充足的儿童中,与安慰剂组相比,维生素D组重症肺炎缓解时长(小时)[72(四分位间距:44 - 96)对88(四分位间距:48 - 132);p = 0.07]和住院天数[4(四分位间距:3 - 5)对5(四分位间距:4 - 7);P = 0.09]有降低趋势。在维生素D缺乏组或无论维生素D状态如何均未观察到有益效果。

结论

特定年龄的大剂量维生素D随后给予维持剂量,两组干预之间无统计学差异,然而,入院时血清维生素D水平充足的五岁以下儿童,肺炎恢复时间和总体住院时长有缩短趋势。

https://cdn.ncbi.nlm.nih.gov/pmc/blobs/dc1b/7894897/49422ada92f5/pone.0246460.g001.jpg

文献AI研究员

20分钟写一篇综述,助力文献阅读效率提升50倍。

立即体验

用中文搜PubMed

大模型驱动的PubMed中文搜索引擎

马上搜索

文档翻译

学术文献翻译模型,支持多种主流文档格式。

立即体验