Suppr超能文献

重新审视失眠患者的夜间心率和心率变异性:基于多导睡眠图对自我报告睡眠良好和不佳的年轻受试者的比较。

Revisiting nocturnal heart rate and heart rate variability in insomnia: A polysomnography-based comparison of young self-reported good and poor sleepers.

作者信息

Cosgrave Jan, Phillips Jessica, Haines Ross, Foster Russell G, Steinsaltz David, Wulff Katharina

机构信息

Sleep and Circadian Neuroscience Institute, NDCN, The Sir William Dunn School of Pathology, University of Oxford, Oxford, UK.

Department of Clinical, Educational and Health Psychology, University College London, London, UK.

出版信息

J Sleep Res. 2021 Aug;30(4):e13278. doi: 10.1111/jsr.13278. Epub 2021 Feb 23.

Abstract

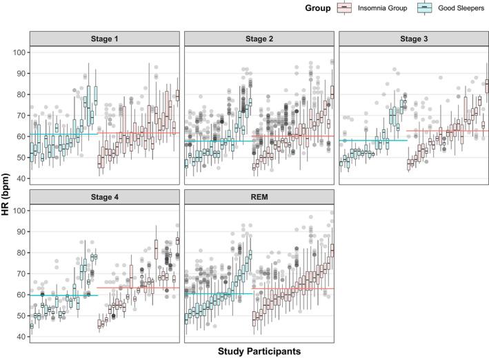
Primary insomnia is often considered a disorder of 24-hr hyperarousal. Numerous attempts have been made to investigate nocturnal heart rate (HR) and its variability (HRV) as potential pathophysiological hallmarks of altered arousal levels in insomnia, with mixed results. We have aimed to overcome some of the pitfalls of previous studies by using a young, medication-free, age- and gender-matched population consisting of 43 students aged 18-30 years half with a subthreshold insomnia complaint. We employed at-home ambulatory polysomnography and compared this attenuated insomnia group to a good sleeping group. The poor sleepers had significantly higher wake after sleep onset, arousal count, mean HR in all sleep stages (with the exception of Stage 1) and lower sleep efficiency. Consistent with previous research, we also found a significant group-by-sleep stage interaction in the prediction of nocturnal HR, highlighting the insomnia group to have a lower wake-sleep HR reduction compared to good sleepers. When restricting our analyses to insomnia with objectively determined short sleep duration, we found significantly lower standard deviation of RR intervals (SDNN; a measure of HRV) compared to good sleepers. Taken together, this lends credence to the hyperarousal model of insomnia and may at least partially explain the increased prevalence of cardiovascular morbidity and mortality observed in patients with insomnia.

摘要

原发性失眠通常被认为是一种24小时过度觉醒的障碍。人们已经进行了大量尝试,将夜间心率(HR)及其变异性(HRV)作为失眠时觉醒水平改变的潜在病理生理标志进行研究,但结果不一。我们旨在通过使用一个年龄在18至30岁之间、未服用药物、年龄和性别匹配的年轻人群来克服以往研究中的一些缺陷,该人群由43名学生组成,其中一半有亚阈值失眠主诉。我们采用了家庭动态多导睡眠图,并将这个轻度失眠组与一个良好睡眠组进行比较。睡眠不佳者在睡眠开始后的觉醒时间、觉醒次数、所有睡眠阶段(除第1阶段外)的平均心率显著更高,睡眠效率更低。与先前的研究一致,我们还发现在夜间心率预测方面存在显著的组×睡眠阶段交互作用,突出显示失眠组与良好睡眠者相比,觉醒-睡眠心率降低幅度更小。当我们将分析限制在客观确定的短睡眠时间的失眠患者时,我们发现与良好睡眠者相比,RR间期标准差(SDNN;HRV的一种测量指标)显著更低。综上所述,这为失眠的过度觉醒模型提供了可信度,并且可能至少部分解释了失眠患者中心血管疾病发病率和死亡率增加的现象。

https://cdn.ncbi.nlm.nih.gov/pmc/blobs/d130/8577225/d849321a2675/JSR-30-e13278-g005.jpg

文献AI研究员

20分钟写一篇综述,助力文献阅读效率提升50倍。

立即体验

用中文搜PubMed

大模型驱动的PubMed中文搜索引擎

马上搜索

文档翻译

学术文献翻译模型,支持多种主流文档格式。

立即体验